S.I. No. 640/2007 - Merchant Shipping (Safety of Fishing Vessels) (15-24 Metres) Regulations 2007
ARRANGEMENT OF REGULATIONS | ||||||||||||||||||||||||||||||||||||||||||||||||||||||||||||||||||||
PART 1 | ||||||||||||||||||||||||||||||||||||||||||||||||||||||||||||||||||||
GENERAL | ||||||||||||||||||||||||||||||||||||||||||||||||||||||||||||||||||||
1. Citation and commencement | ||||||||||||||||||||||||||||||||||||||||||||||||||||||||||||||||||||
2. Application | ||||||||||||||||||||||||||||||||||||||||||||||||||||||||||||||||||||
3. Definitions | ||||||||||||||||||||||||||||||||||||||||||||||||||||||||||||||||||||
4. Exemptions and equivalents | ||||||||||||||||||||||||||||||||||||||||||||||||||||||||||||||||||||
5. Maintenance and upkeep | ||||||||||||||||||||||||||||||||||||||||||||||||||||||||||||||||||||
6. Repairs, alterations and modifications | ||||||||||||||||||||||||||||||||||||||||||||||||||||||||||||||||||||
7. Surveys | ||||||||||||||||||||||||||||||||||||||||||||||||||||||||||||||||||||
8. Surveyor's report and declaration of survey | ||||||||||||||||||||||||||||||||||||||||||||||||||||||||||||||||||||
9. Fishing Vessel Safety Certificates and exemption certificates | ||||||||||||||||||||||||||||||||||||||||||||||||||||||||||||||||||||
10. Duration of Fishing Vessel Safety Certificate | ||||||||||||||||||||||||||||||||||||||||||||||||||||||||||||||||||||
11. Extension of Fishing Vessel Safety Certificate | ||||||||||||||||||||||||||||||||||||||||||||||||||||||||||||||||||||
12. Cancellation of certificates and Cesser | ||||||||||||||||||||||||||||||||||||||||||||||||||||||||||||||||||||
PART 2 | ||||||||||||||||||||||||||||||||||||||||||||||||||||||||||||||||||||
CONSTRUCTION, WATERTIGHT INTEGRITY AND EQUIPMENT | ||||||||||||||||||||||||||||||||||||||||||||||||||||||||||||||||||||
13. Construction | ||||||||||||||||||||||||||||||||||||||||||||||||||||||||||||||||||||
14. Watertight doors | ||||||||||||||||||||||||||||||||||||||||||||||||||||||||||||||||||||
15. Hull integrity | ||||||||||||||||||||||||||||||||||||||||||||||||||||||||||||||||||||
16. Weathertight doors | ||||||||||||||||||||||||||||||||||||||||||||||||||||||||||||||||||||
17. Hatchways closed by wood covers | ||||||||||||||||||||||||||||||||||||||||||||||||||||||||||||||||||||
18. Hatchways closed by covers other than wood | ||||||||||||||||||||||||||||||||||||||||||||||||||||||||||||||||||||
19. Machinery space openings | ||||||||||||||||||||||||||||||||||||||||||||||||||||||||||||||||||||
20. Other deck openings | ||||||||||||||||||||||||||||||||||||||||||||||||||||||||||||||||||||
21. Ventilators | ||||||||||||||||||||||||||||||||||||||||||||||||||||||||||||||||||||
22. Air pipes | ||||||||||||||||||||||||||||||||||||||||||||||||||||||||||||||||||||
23. Sounding devices | ||||||||||||||||||||||||||||||||||||||||||||||||||||||||||||||||||||
24. Sidescuttles and windows | ||||||||||||||||||||||||||||||||||||||||||||||||||||||||||||||||||||
25. Inlets and discharges | ||||||||||||||||||||||||||||||||||||||||||||||||||||||||||||||||||||
26. Freeing ports | ||||||||||||||||||||||||||||||||||||||||||||||||||||||||||||||||||||
27. Anchor and mooring equipment | ||||||||||||||||||||||||||||||||||||||||||||||||||||||||||||||||||||
28. Working decks within an enclosed superstructure | ||||||||||||||||||||||||||||||||||||||||||||||||||||||||||||||||||||
29. Tanks for fish in refrigerated (RSW) or chilled (CSW) sea water | ||||||||||||||||||||||||||||||||||||||||||||||||||||||||||||||||||||
PART 3 | ||||||||||||||||||||||||||||||||||||||||||||||||||||||||||||||||||||
STABILITY AND ASSOCIATED SEAWORTHINESS | ||||||||||||||||||||||||||||||||||||||||||||||||||||||||||||||||||||
30. Stability | ||||||||||||||||||||||||||||||||||||||||||||||||||||||||||||||||||||
31. Stability criteria | ||||||||||||||||||||||||||||||||||||||||||||||||||||||||||||||||||||
32. Flooding of fish-holds | ||||||||||||||||||||||||||||||||||||||||||||||||||||||||||||||||||||
33. Particular fishing methods | ||||||||||||||||||||||||||||||||||||||||||||||||||||||||||||||||||||
34. Severe wind and rolling | ||||||||||||||||||||||||||||||||||||||||||||||||||||||||||||||||||||
35. Water on deck | ||||||||||||||||||||||||||||||||||||||||||||||||||||||||||||||||||||
36. Operating conditions | ||||||||||||||||||||||||||||||||||||||||||||||||||||||||||||||||||||
37. Ice accretion | ||||||||||||||||||||||||||||||||||||||||||||||||||||||||||||||||||||
38. Inclining test | ||||||||||||||||||||||||||||||||||||||||||||||||||||||||||||||||||||
39. Stability information | ||||||||||||||||||||||||||||||||||||||||||||||||||||||||||||||||||||
40. Portable fish-hold divisions | ||||||||||||||||||||||||||||||||||||||||||||||||||||||||||||||||||||
41. Freeboard | ||||||||||||||||||||||||||||||||||||||||||||||||||||||||||||||||||||
42. Maximum permissible operating draught | ||||||||||||||||||||||||||||||||||||||||||||||||||||||||||||||||||||
PART 4 | ||||||||||||||||||||||||||||||||||||||||||||||||||||||||||||||||||||
MACHINERY AND ELECTRICAL INSTALLATIONS | ||||||||||||||||||||||||||||||||||||||||||||||||||||||||||||||||||||
43. Definitions | ||||||||||||||||||||||||||||||||||||||||||||||||||||||||||||||||||||
44. General | ||||||||||||||||||||||||||||||||||||||||||||||||||||||||||||||||||||
MACHINERY INSTALLATIONS | ||||||||||||||||||||||||||||||||||||||||||||||||||||||||||||||||||||
45. Propulsion and auxiliary machinery | ||||||||||||||||||||||||||||||||||||||||||||||||||||||||||||||||||||
46. Propeller shafts | ||||||||||||||||||||||||||||||||||||||||||||||||||||||||||||||||||||
47. Gearboxes | ||||||||||||||||||||||||||||||||||||||||||||||||||||||||||||||||||||
48. Remote control of propulsion machinery | ||||||||||||||||||||||||||||||||||||||||||||||||||||||||||||||||||||
49. Communications between wheelhouse and machinery space | ||||||||||||||||||||||||||||||||||||||||||||||||||||||||||||||||||||
50. Means of going astern | ||||||||||||||||||||||||||||||||||||||||||||||||||||||||||||||||||||
51. Propeller and stern gear | ||||||||||||||||||||||||||||||||||||||||||||||||||||||||||||||||||||
52. Controllable pitch propellers | ||||||||||||||||||||||||||||||||||||||||||||||||||||||||||||||||||||
53. Boilers, feed systems and steam piping arrangements | ||||||||||||||||||||||||||||||||||||||||||||||||||||||||||||||||||||
54. Air pressure systems | ||||||||||||||||||||||||||||||||||||||||||||||||||||||||||||||||||||
55. Oil fuel, lubricating oil and other flammable oils — general | ||||||||||||||||||||||||||||||||||||||||||||||||||||||||||||||||||||
56. Arrangements for oil fuel installations | ||||||||||||||||||||||||||||||||||||||||||||||||||||||||||||||||||||
57. Arrangements for lubricating oil, hydraulic oil and other flammable oils | ||||||||||||||||||||||||||||||||||||||||||||||||||||||||||||||||||||
58. Bilge systems | ||||||||||||||||||||||||||||||||||||||||||||||||||||||||||||||||||||
59. Bilge alarms | ||||||||||||||||||||||||||||||||||||||||||||||||||||||||||||||||||||
60. Exhaust systems | ||||||||||||||||||||||||||||||||||||||||||||||||||||||||||||||||||||
61. Steering gear | ||||||||||||||||||||||||||||||||||||||||||||||||||||||||||||||||||||
62. Refrigeration systems for the preservation of the catch | ||||||||||||||||||||||||||||||||||||||||||||||||||||||||||||||||||||
63. Spare gear | ||||||||||||||||||||||||||||||||||||||||||||||||||||||||||||||||||||
ELECTRICAL INSTALLATIONS | ||||||||||||||||||||||||||||||||||||||||||||||||||||||||||||||||||||
64. General | ||||||||||||||||||||||||||||||||||||||||||||||||||||||||||||||||||||
65. Main source of electrical power | ||||||||||||||||||||||||||||||||||||||||||||||||||||||||||||||||||||
66. Emergency source of electrical power | ||||||||||||||||||||||||||||||||||||||||||||||||||||||||||||||||||||
67. Distribution systems | ||||||||||||||||||||||||||||||||||||||||||||||||||||||||||||||||||||
68. Cables. | ||||||||||||||||||||||||||||||||||||||||||||||||||||||||||||||||||||
69. Accumulator (storage) batteries and associated charging equipment | ||||||||||||||||||||||||||||||||||||||||||||||||||||||||||||||||||||
70. Precautions against shock, fire and other hazards of electrical origin | ||||||||||||||||||||||||||||||||||||||||||||||||||||||||||||||||||||
71. Lighting systems | ||||||||||||||||||||||||||||||||||||||||||||||||||||||||||||||||||||
72. Electric motors | ||||||||||||||||||||||||||||||||||||||||||||||||||||||||||||||||||||
73. Lightning conductors | ||||||||||||||||||||||||||||||||||||||||||||||||||||||||||||||||||||
PERIODICALLY UNATTENDED MACHINERY SPACES | ||||||||||||||||||||||||||||||||||||||||||||||||||||||||||||||||||||
74. Fire prevention | ||||||||||||||||||||||||||||||||||||||||||||||||||||||||||||||||||||
75. Protection against flooding | ||||||||||||||||||||||||||||||||||||||||||||||||||||||||||||||||||||
76. Alarm system | ||||||||||||||||||||||||||||||||||||||||||||||||||||||||||||||||||||
77. Special requirements for machinery, boiler and electrical installations | ||||||||||||||||||||||||||||||||||||||||||||||||||||||||||||||||||||
78. Safety system | ||||||||||||||||||||||||||||||||||||||||||||||||||||||||||||||||||||
PART 5 | ||||||||||||||||||||||||||||||||||||||||||||||||||||||||||||||||||||
FIRE PROTECTION, FIRE DETECTION, FIRE EXTINCTION AND FIRE FIGHTING | ||||||||||||||||||||||||||||||||||||||||||||||||||||||||||||||||||||
79. Definitions | ||||||||||||||||||||||||||||||||||||||||||||||||||||||||||||||||||||
80. Fire protection — general | ||||||||||||||||||||||||||||||||||||||||||||||||||||||||||||||||||||
81. Structural fire protection on vessels with hulls constructed of steel or other equivalent material | ||||||||||||||||||||||||||||||||||||||||||||||||||||||||||||||||||||
82. Structural fire protection on vessels with hulls constructed of combustible materials | ||||||||||||||||||||||||||||||||||||||||||||||||||||||||||||||||||||
83. Ventilation systems | ||||||||||||||||||||||||||||||||||||||||||||||||||||||||||||||||||||
84. Space heaters | ||||||||||||||||||||||||||||||||||||||||||||||||||||||||||||||||||||
85. Galley area | ||||||||||||||||||||||||||||||||||||||||||||||||||||||||||||||||||||
86. Means for stopping machinery | ||||||||||||||||||||||||||||||||||||||||||||||||||||||||||||||||||||
87. Oil fuel installations (cooking ranges and heating appliances) | ||||||||||||||||||||||||||||||||||||||||||||||||||||||||||||||||||||
88. Liquefied petroleum gas installations (cooking ranges and heating appliances) | ||||||||||||||||||||||||||||||||||||||||||||||||||||||||||||||||||||
89. Storage of flammable liquids, toxic liquids, toxic gases and compressed gases | ||||||||||||||||||||||||||||||||||||||||||||||||||||||||||||||||||||
90. Means of escape and emergency exits | ||||||||||||||||||||||||||||||||||||||||||||||||||||||||||||||||||||
91. Automatic fire alarm and fire detection systems | ||||||||||||||||||||||||||||||||||||||||||||||||||||||||||||||||||||
92. Fire pumps | ||||||||||||||||||||||||||||||||||||||||||||||||||||||||||||||||||||
93. Fire mains | ||||||||||||||||||||||||||||||||||||||||||||||||||||||||||||||||||||
94. Fire hydrants, fire hoses & nozzles | ||||||||||||||||||||||||||||||||||||||||||||||||||||||||||||||||||||
95. Portable fire extinguishers — general | ||||||||||||||||||||||||||||||||||||||||||||||||||||||||||||||||||||
96. Portable fire extinguishers — vessel requirements | ||||||||||||||||||||||||||||||||||||||||||||||||||||||||||||||||||||
97. Fire-extinguishing installations in machinery spaces | ||||||||||||||||||||||||||||||||||||||||||||||||||||||||||||||||||||
98. Ready availability of fire-extinguishing appliances | ||||||||||||||||||||||||||||||||||||||||||||||||||||||||||||||||||||
99. Cleanliness of machinery spaces | ||||||||||||||||||||||||||||||||||||||||||||||||||||||||||||||||||||
100. Fire Control Plan | ||||||||||||||||||||||||||||||||||||||||||||||||||||||||||||||||||||
101. Equivalence | ||||||||||||||||||||||||||||||||||||||||||||||||||||||||||||||||||||
PART 6 | ||||||||||||||||||||||||||||||||||||||||||||||||||||||||||||||||||||
PROTECTION OF THE CREW | ||||||||||||||||||||||||||||||||||||||||||||||||||||||||||||||||||||
102. General protective measures | ||||||||||||||||||||||||||||||||||||||||||||||||||||||||||||||||||||
103. Deck openings | ||||||||||||||||||||||||||||||||||||||||||||||||||||||||||||||||||||
104. Bulwarks, rails and guards | ||||||||||||||||||||||||||||||||||||||||||||||||||||||||||||||||||||
105. Stairways and ladders. | ||||||||||||||||||||||||||||||||||||||||||||||||||||||||||||||||||||
106. Accommodation ladders and gangways | ||||||||||||||||||||||||||||||||||||||||||||||||||||||||||||||||||||
107. Galleys | ||||||||||||||||||||||||||||||||||||||||||||||||||||||||||||||||||||
108. Lighting in working spaces and areas | ||||||||||||||||||||||||||||||||||||||||||||||||||||||||||||||||||||
109. Ventilation in working and storage spaces | ||||||||||||||||||||||||||||||||||||||||||||||||||||||||||||||||||||
110. Dangerous areas | ||||||||||||||||||||||||||||||||||||||||||||||||||||||||||||||||||||
111. Miscellaneous | ||||||||||||||||||||||||||||||||||||||||||||||||||||||||||||||||||||
PART 7 | ||||||||||||||||||||||||||||||||||||||||||||||||||||||||||||||||||||
LIFE-SAVING APPLIANCES AND ARRANGEMENTS | ||||||||||||||||||||||||||||||||||||||||||||||||||||||||||||||||||||
112. Definitions | ||||||||||||||||||||||||||||||||||||||||||||||||||||||||||||||||||||
113. Evaluation, testing and approval of life-saving appliances and arrangements | ||||||||||||||||||||||||||||||||||||||||||||||||||||||||||||||||||||
114. Number and types of survival craft | ||||||||||||||||||||||||||||||||||||||||||||||||||||||||||||||||||||
115. Availability and stowage of survival craft | ||||||||||||||||||||||||||||||||||||||||||||||||||||||||||||||||||||
116. Embarkation into survival craft | ||||||||||||||||||||||||||||||||||||||||||||||||||||||||||||||||||||
117. Lifejackets | ||||||||||||||||||||||||||||||||||||||||||||||||||||||||||||||||||||
118. Immersion suits | ||||||||||||||||||||||||||||||||||||||||||||||||||||||||||||||||||||
119. Lifebuoys | ||||||||||||||||||||||||||||||||||||||||||||||||||||||||||||||||||||
120. Line throwing appliances | ||||||||||||||||||||||||||||||||||||||||||||||||||||||||||||||||||||
121. Distress signals | ||||||||||||||||||||||||||||||||||||||||||||||||||||||||||||||||||||
122. Radio life-saving appliances | ||||||||||||||||||||||||||||||||||||||||||||||||||||||||||||||||||||
123. Radar transponders | ||||||||||||||||||||||||||||||||||||||||||||||||||||||||||||||||||||
124. Retro-reflective materials on life-saving appliances | ||||||||||||||||||||||||||||||||||||||||||||||||||||||||||||||||||||
125. Marking of lifeboats, rescue boats and liferafts | ||||||||||||||||||||||||||||||||||||||||||||||||||||||||||||||||||||
126. Operational readiness, maintenance and inspections | ||||||||||||||||||||||||||||||||||||||||||||||||||||||||||||||||||||
127. Miscellaneous | ||||||||||||||||||||||||||||||||||||||||||||||||||||||||||||||||||||
PART 8 | ||||||||||||||||||||||||||||||||||||||||||||||||||||||||||||||||||||
EMERGENCY PROCEDURES, MUSTERS AND DRILLS | ||||||||||||||||||||||||||||||||||||||||||||||||||||||||||||||||||||
128. General emergency alarm system, muster list and emergency instructions | ||||||||||||||||||||||||||||||||||||||||||||||||||||||||||||||||||||
129. Abandon ship training and drills | ||||||||||||||||||||||||||||||||||||||||||||||||||||||||||||||||||||
130. Training in emergency procedures | ||||||||||||||||||||||||||||||||||||||||||||||||||||||||||||||||||||
131. Inspections | ||||||||||||||||||||||||||||||||||||||||||||||||||||||||||||||||||||
PART 9 | ||||||||||||||||||||||||||||||||||||||||||||||||||||||||||||||||||||
RADIOCOMMUNICATIONS | ||||||||||||||||||||||||||||||||||||||||||||||||||||||||||||||||||||
132. Definitions | ||||||||||||||||||||||||||||||||||||||||||||||||||||||||||||||||||||
133. Exclusions from Part 9 | ||||||||||||||||||||||||||||||||||||||||||||||||||||||||||||||||||||
134. Equivalents and exemptions. | ||||||||||||||||||||||||||||||||||||||||||||||||||||||||||||||||||||
135. Functional requirements. | ||||||||||||||||||||||||||||||||||||||||||||||||||||||||||||||||||||
136. Installation, location and control of radio equipment | ||||||||||||||||||||||||||||||||||||||||||||||||||||||||||||||||||||
137. Radio equipment to be provided for all sea areas | ||||||||||||||||||||||||||||||||||||||||||||||||||||||||||||||||||||
138. Additional radio equipment to be provided for sea areas A1 and A2 | ||||||||||||||||||||||||||||||||||||||||||||||||||||||||||||||||||||
139. Additional radio equipment to be provided for sea areas A1, A2 and A3 | ||||||||||||||||||||||||||||||||||||||||||||||||||||||||||||||||||||
140. Radio watches | ||||||||||||||||||||||||||||||||||||||||||||||||||||||||||||||||||||
141. Sources of energy | ||||||||||||||||||||||||||||||||||||||||||||||||||||||||||||||||||||
142. Performance standards | ||||||||||||||||||||||||||||||||||||||||||||||||||||||||||||||||||||
143. Serviceability and maintenance requirements | ||||||||||||||||||||||||||||||||||||||||||||||||||||||||||||||||||||
144. Radio personnel | ||||||||||||||||||||||||||||||||||||||||||||||||||||||||||||||||||||
145. Radio records | ||||||||||||||||||||||||||||||||||||||||||||||||||||||||||||||||||||
PART 10 | ||||||||||||||||||||||||||||||||||||||||||||||||||||||||||||||||||||
SHIPBORNE NAVIGATIONAL EQUIPMENT AND ARRANGEMENTS | ||||||||||||||||||||||||||||||||||||||||||||||||||||||||||||||||||||
146. Shipborne navigational equipment | ||||||||||||||||||||||||||||||||||||||||||||||||||||||||||||||||||||
147. Nautical instruments and publications | ||||||||||||||||||||||||||||||||||||||||||||||||||||||||||||||||||||
148. Signalling equipment | ||||||||||||||||||||||||||||||||||||||||||||||||||||||||||||||||||||
149. Navigating bridge visibility | ||||||||||||||||||||||||||||||||||||||||||||||||||||||||||||||||||||
PART 11 | ||||||||||||||||||||||||||||||||||||||||||||||||||||||||||||||||||||
CREW ACCOMMODATION | ||||||||||||||||||||||||||||||||||||||||||||||||||||||||||||||||||||
150. General | ||||||||||||||||||||||||||||||||||||||||||||||||||||||||||||||||||||
151. Lighting, heating and ventilation | ||||||||||||||||||||||||||||||||||||||||||||||||||||||||||||||||||||
152. Sleeping rooms | ||||||||||||||||||||||||||||||||||||||||||||||||||||||||||||||||||||
153. Mess rooms | ||||||||||||||||||||||||||||||||||||||||||||||||||||||||||||||||||||
154. Sanitary facilities | ||||||||||||||||||||||||||||||||||||||||||||||||||||||||||||||||||||
155. Potable water facilities | ||||||||||||||||||||||||||||||||||||||||||||||||||||||||||||||||||||
156. Provision stores | ||||||||||||||||||||||||||||||||||||||||||||||||||||||||||||||||||||
157. Cooking facilities | ||||||||||||||||||||||||||||||||||||||||||||||||||||||||||||||||||||
SCHEDULE 1 | ||||||||||||||||||||||||||||||||||||||||||||||||||||||||||||||||||||
CERTIFICATES AND RECORD OF EQUIPMENT FISHING VESSEL SAFETY CERTIFICATEFISHING VESSEL EXEMPTION CERTIFICATERECORD OF EQUIPMENT | ||||||||||||||||||||||||||||||||||||||||||||||||||||||||||||||||||||
SCHEDULE 2 | ||||||||||||||||||||||||||||||||||||||||||||||||||||||||||||||||||||
RECOMMENDED PRACTICE FOR ANCHOR AND MOORING EQUIPMENT | ||||||||||||||||||||||||||||||||||||||||||||||||||||||||||||||||||||
SCHEDULE 3 | ||||||||||||||||||||||||||||||||||||||||||||||||||||||||||||||||||||
INFORMATION AS TO STABILITY OF FISHING VESSELS | ||||||||||||||||||||||||||||||||||||||||||||||||||||||||||||||||||||
SCHEDULE 4 | ||||||||||||||||||||||||||||||||||||||||||||||||||||||||||||||||||||
AMMONIA REFRIGERATION SYSTEMS IN MANNED SPACES | ||||||||||||||||||||||||||||||||||||||||||||||||||||||||||||||||||||
SCHEDULE 5 | ||||||||||||||||||||||||||||||||||||||||||||||||||||||||||||||||||||
RADIO EQUIPMENT TESTS AND RESERVE POWER CHECKS | ||||||||||||||||||||||||||||||||||||||||||||||||||||||||||||||||||||
SCHEDULE 6 | ||||||||||||||||||||||||||||||||||||||||||||||||||||||||||||||||||||
RADIO LOG | ||||||||||||||||||||||||||||||||||||||||||||||||||||||||||||||||||||
SCHEDULE 7 | ||||||||||||||||||||||||||||||||||||||||||||||||||||||||||||||||||||
PUBLICATIONS, DIRECTIONS AND INFORMATION | ||||||||||||||||||||||||||||||||||||||||||||||||||||||||||||||||||||
MERCHANT SHIPPING (SAFETY OF FISHING VESSELS) (15-24 METRES) REGULATIONS 2007 | ||||||||||||||||||||||||||||||||||||||||||||||||||||||||||||||||||||
Notice of the making of this Statutory Instrument was published in | ||||||||||||||||||||||||||||||||||||||||||||||||||||||||||||||||||||
“Iris Oifigiúil” of 21st September, 2007. | ||||||||||||||||||||||||||||||||||||||||||||||||||||||||||||||||||||
I, NOEL DEMPSEY, Minister for Transport, in exercise of the powers conferred on me by section 19 (inserted by section 47 of the Maritime Safety Act 2005 (No. 11 of 2005)) of the Merchant Shipping Act 1992 (No. 2 of 1992) and the Maritime Transport, Safety and Security (Transfer of Departmental Administration and Ministerial Functions) Order 2005 ( S.I. No. 842 of 2005 ), hereby make the following regulations: | ||||||||||||||||||||||||||||||||||||||||||||||||||||||||||||||||||||
PART 1 | ||||||||||||||||||||||||||||||||||||||||||||||||||||||||||||||||||||
GENERAL | ||||||||||||||||||||||||||||||||||||||||||||||||||||||||||||||||||||
Citation and commencement. | ||||||||||||||||||||||||||||||||||||||||||||||||||||||||||||||||||||
1. (1) These Regulations may be cited as the Merchant Shipping (Safety of Fishing Vessels) (15-24 Metres) Regulations 2007. | ||||||||||||||||||||||||||||||||||||||||||||||||||||||||||||||||||||
(2) These Regulations come into operation— | ||||||||||||||||||||||||||||||||||||||||||||||||||||||||||||||||||||
(a) on 1 October 2007, for new vessels, | ||||||||||||||||||||||||||||||||||||||||||||||||||||||||||||||||||||
(b) on 1 October 2008, for existing vessels the keel of which was laid or which was at a similar stage of construction on or after 1 October 1997, | ||||||||||||||||||||||||||||||||||||||||||||||||||||||||||||||||||||
(c) on 1 October 2009, for existing vessels the keel of which was laid or which was at a similar stage of construction on or after 1 October 1987, and | ||||||||||||||||||||||||||||||||||||||||||||||||||||||||||||||||||||
(d) on 1 October 2010, for existing vessels the keel of which was laid or which was at a similar stage of construction before 1 October 1987. | ||||||||||||||||||||||||||||||||||||||||||||||||||||||||||||||||||||
Application. | ||||||||||||||||||||||||||||||||||||||||||||||||||||||||||||||||||||
2. These Regulations apply to every mechanically propelled fishing vessel of 15 metres in length overall (L oa ) and over but less than 24 metres in length (L), registered in the State. | ||||||||||||||||||||||||||||||||||||||||||||||||||||||||||||||||||||
Definitions. | ||||||||||||||||||||||||||||||||||||||||||||||||||||||||||||||||||||
3. In these Regulations— | ||||||||||||||||||||||||||||||||||||||||||||||||||||||||||||||||||||
“amidships” means the mid-length of L; | ||||||||||||||||||||||||||||||||||||||||||||||||||||||||||||||||||||
“approved” means approved by the Minister, or approved in accordance with the standards as set out in the European Communities (Marine Equipment) Regulations 2003 ( S.I. No. 38 of 2003 ); | ||||||||||||||||||||||||||||||||||||||||||||||||||||||||||||||||||||
“authorised officer” means— | ||||||||||||||||||||||||||||||||||||||||||||||||||||||||||||||||||||
(a) a surveyor of ships under section 724 of the Merchant Shipping Act 1894 or a recognised organisation; or | ||||||||||||||||||||||||||||||||||||||||||||||||||||||||||||||||||||
(b) a person, appointed under Regulation 7(11); | ||||||||||||||||||||||||||||||||||||||||||||||||||||||||||||||||||||
“baseline” means the horizontal line intersecting at amidships the keel line; | ||||||||||||||||||||||||||||||||||||||||||||||||||||||||||||||||||||
“breadth (B)” means the maximum breadth of the vessel, measured amidships to the moulded line of the frame in a vessel with a metal shell and to the outer surface of the hull in a vessel with a shell of any other material; | ||||||||||||||||||||||||||||||||||||||||||||||||||||||||||||||||||||
“collision bulkhead” means a watertight bulkhead up to the working deck in the forepart of the vessel, which meets the following conditions— | ||||||||||||||||||||||||||||||||||||||||||||||||||||||||||||||||||||
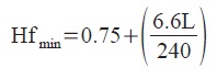
(a) the bulkhead shall be located at a distance from the forward perpendicular not less than 0.05L+0.8m and not more than 0.05L+1.35m, except as may be allowed by the Minister, | ||||||||||||||||||||||||||||||||||||||||||||||||||||||||||||||||||||
(b) where any part of the underwater body extends forward of the forward perpendicular, for example a bulbous bow, the distance stipulated in paragraph (a) of this definition shall be measured from a point at mid-length of the extension forward of the forward perpendicular or from a point 0.015(L) forward of the forward perpendicular, whichever is less, and | ||||||||||||||||||||||||||||||||||||||||||||||||||||||||||||||||||||
(c) the bulkhead may have steps or recesses provided they are within the limits specified in paragraph (a); | ||||||||||||||||||||||||||||||||||||||||||||||||||||||||||||||||||||
“crew” means the skipper and all persons employed or engaged in any capacity on board a vessel on the business of that vessel; | ||||||||||||||||||||||||||||||||||||||||||||||||||||||||||||||||||||
“decked vessel” means a vessel having a fixed structural deck covering the entire hull above the deepest operating waterline. Where open wells or cockpits are fitted in this deck the vessel is considered a decked vessel if flooding of the well or cockpit will not endanger the vessel; | ||||||||||||||||||||||||||||||||||||||||||||||||||||||||||||||||||||
“deck erection” means any decked structure on the working deck; | ||||||||||||||||||||||||||||||||||||||||||||||||||||||||||||||||||||
“deepest operating waterline” means the waterline related to the maximum permissible operating draft; | ||||||||||||||||||||||||||||||||||||||||||||||||||||||||||||||||||||
“depth (D)” is the moulded depth amidships; | ||||||||||||||||||||||||||||||||||||||||||||||||||||||||||||||||||||
“enclosed superstructure” means a superstructure with— | ||||||||||||||||||||||||||||||||||||||||||||||||||||||||||||||||||||
(a) enclosing bulkheads of efficient construction, | ||||||||||||||||||||||||||||||||||||||||||||||||||||||||||||||||||||
(b) access openings, if any, in those bulkheads fitted with permanently attached weathertight doors of a strength equivalent to the un-pierced structure which can be operated from each side, and | ||||||||||||||||||||||||||||||||||||||||||||||||||||||||||||||||||||
(c) other openings in sides or ends of the superstructure fitted with efficient weathertight means of closing. | ||||||||||||||||||||||||||||||||||||||||||||||||||||||||||||||||||||
A raised quarter-deck is deemed to be an enclosed superstructure. | ||||||||||||||||||||||||||||||||||||||||||||||||||||||||||||||||||||
A bridge or poop shall not be regarded as enclosed unless access is provided for the crew to reach machinery and other working spaces inside those superstructures by alternative means which are available at all times when bulkhead openings are closed; | ||||||||||||||||||||||||||||||||||||||||||||||||||||||||||||||||||||
“existing vessel” means a fishing vessel which is not a new vessel; | ||||||||||||||||||||||||||||||||||||||||||||||||||||||||||||||||||||
“fishing vessel” means a vessel designed, equipped or used commercially for catching or taking fish or other living resources of the sea (including the sea bed) or freshwater; | ||||||||||||||||||||||||||||||||||||||||||||||||||||||||||||||||||||
“Fishing Vessel Exemption Certificate” means a certificate issued under Regulation 9(3); | ||||||||||||||||||||||||||||||||||||||||||||||||||||||||||||||||||||
“Fishing Vessel Safety Certificate” means a certificate granted under Regulation 9(1); | ||||||||||||||||||||||||||||||||||||||||||||||||||||||||||||||||||||
“freeboard (f)” means the minimum freeboard and is the distance from the underside of the working deck at the side to a waterline, measured perpendicularly to the waterline, plus the minimum thickness of decking. When the working deck is stepped, the lowest line of the deck and the continuation of that line parallel to the upper part of the deck are to be taken as the working deck; | ||||||||||||||||||||||||||||||||||||||||||||||||||||||||||||||||||||
“height of a superstructure or other erection” means the least vertical distance measured at side from the top of the deck beams of a superstructure or an erection to the top of the working deck beams; | ||||||||||||||||||||||||||||||||||||||||||||||||||||||||||||||||||||
“IMO” means International Maritime Organization; | ||||||||||||||||||||||||||||||||||||||||||||||||||||||||||||||||||||
“keel line” means the line parallel to the slope of keel passing amidships through— | ||||||||||||||||||||||||||||||||||||||||||||||||||||||||||||||||||||
(a) the top of the keel or line of intersection of the inside of shell plating with the keel where a bar keel extends above that line of a vessel with a metal shell, | ||||||||||||||||||||||||||||||||||||||||||||||||||||||||||||||||||||
(b) the rabbet lower line of the keel of a vessel with a shell of wood or a composite material, or | ||||||||||||||||||||||||||||||||||||||||||||||||||||||||||||||||||||
(c) the intersection of a fair extension of the outside of the shell contour at the bottom with the centreline of a vessel with a shell of material other than wood and metal; | ||||||||||||||||||||||||||||||||||||||||||||||||||||||||||||||||||||
“length (L)” means 96 per cent of the total length on a waterline at 85 per cent of the least depth, or the length from the foreside of the stem to the axis of the rudder stock on that waterline, if that length is greater. In vessels designed with rake of keel the waterline on which this length is measured shall be parallel to the designed waterline; | ||||||||||||||||||||||||||||||||||||||||||||||||||||||||||||||||||||
“length overall (Loa)” means the length measured on a straight line from the fore part of the stem at top to the aftermost side of the transom or stern contour; | ||||||||||||||||||||||||||||||||||||||||||||||||||||||||||||||||||||
“Marine Survey Office” means Marine Survey Office of the Department of Transport; | ||||||||||||||||||||||||||||||||||||||||||||||||||||||||||||||||||||
“moulded depth” means— | ||||||||||||||||||||||||||||||||||||||||||||||||||||||||||||||||||||
(a) the depth measured from the keel line to the top of the working deck beam at side, | ||||||||||||||||||||||||||||||||||||||||||||||||||||||||||||||||||||
(b) in vessels having rounded gunwales, the moulded depth measured to the point of intersection of the moulded lines of the deck and side shell plating, the lines extending as though the gunwale were of angular design, and | ||||||||||||||||||||||||||||||||||||||||||||||||||||||||||||||||||||
(c) where the working deck is stepped and the raised part of the deck extends over the point at which the least depth is to be determined, the least depth measured to a line of reference extending from the lower part of the deck along a line parallel with the raised part; | ||||||||||||||||||||||||||||||||||||||||||||||||||||||||||||||||||||
“new vessel” means a vessel the keel of which is laid or which is at a similar stage of construction on or after 1 October 2007; | ||||||||||||||||||||||||||||||||||||||||||||||||||||||||||||||||||||
“a similar stage of construction” means the stage at which— | ||||||||||||||||||||||||||||||||||||||||||||||||||||||||||||||||||||
(a) construction identifiable with a specific vessel begins, or | ||||||||||||||||||||||||||||||||||||||||||||||||||||||||||||||||||||
(b) assembly of that vessel has commenced comprising at least 50 tonnes or 1 per cent of the estimated mass of all structural material, whichever is the lesser; | ||||||||||||||||||||||||||||||||||||||||||||||||||||||||||||||||||||
“perpendiculars” means the forward and after perpendiculars. Forward and after perpendiculars shall be taken at the forward and after ends of the length (L). The forward perpendicular shall be coincident with the foreside of the stem on the waterline on which the length is measured; | ||||||||||||||||||||||||||||||||||||||||||||||||||||||||||||||||||||
“Protocol” means the Torremolinos International Convention for the Safety of Fishing Vessels 1977, as modified by the Torremolinos Protocol of 1993; | ||||||||||||||||||||||||||||||||||||||||||||||||||||||||||||||||||||
“recognised organisation” means an organisation or other private body carrying out safety assessment work on behalf of the Minister and recognised in conformity with the European Communities (Ship Inspection and Survey Organisations) Regulations 2003 ( S.I. No. 301 of 2003 ); | ||||||||||||||||||||||||||||||||||||||||||||||||||||||||||||||||||||
“skipper” means a crew member who commands a vessel or has responsibility for it; | ||||||||||||||||||||||||||||||||||||||||||||||||||||||||||||||||||||
“SOLAS” means the annex to the International Convention for the Safety of Life at Sea, 1974, which was adopted by the International Conference on Safety of Life at Sea on 1 November 1974 and entered into force on the 25 May 1980; | ||||||||||||||||||||||||||||||||||||||||||||||||||||||||||||||||||||
“steel or other equivalent material” means steel or any material which, by itself or due to insulation provided, has structural and integrity properties equivalent to steel at the end of the applicable fire exposure to the standard fire test (e.g. aluminium alloy with appropriate insulation); | ||||||||||||||||||||||||||||||||||||||||||||||||||||||||||||||||||||
“superstructure” means the decked structure on the working deck extending from side to side of the vessel or with the side plating not being inboard of the shell plating more than 0.04B; | ||||||||||||||||||||||||||||||||||||||||||||||||||||||||||||||||||||
“superstructure deck” means that complete or partial deck forming the top of a superstructure, deckhouse or other erection situated at a height of not less than 1.8m above the working deck. Where this height is less than 1.8m, the top of such deck erections shall be treated in the same way as the working deck; | ||||||||||||||||||||||||||||||||||||||||||||||||||||||||||||||||||||
“watertight” means capable of preventing the passage of water through the structure in any direction under a head of water for which the surrounding structure is designed; | ||||||||||||||||||||||||||||||||||||||||||||||||||||||||||||||||||||
“weathertight” means that in any sea conditions water will not penetrate into the vessel; | ||||||||||||||||||||||||||||||||||||||||||||||||||||||||||||||||||||
“working deck” means the lowest complete deck above the deepest operating waterline from which fishing is undertaken. In vessels fitted with two or more complete decks, a lower deck may be accepted as a working deck provided that that deck is situated above the deepest operating waterline. | ||||||||||||||||||||||||||||||||||||||||||||||||||||||||||||||||||||
Exemptions and equivalents. | ||||||||||||||||||||||||||||||||||||||||||||||||||||||||||||||||||||
4. (1) Where these Regulations require that a particular fitting, material, appliance or apparatus, or type thereof, shall be fitted or carried in a fishing vessel, or that any particular provision shall be made, the Minister may allow any other fitting, material, appliance or apparatus, or type thereof to be fitted, or any other provision to be made in that vessel, if he or she is satisfied that that other fitting, material, appliance or apparatus, or type thereof, or provision, is at least as effective as that required by these Regulations. | ||||||||||||||||||||||||||||||||||||||||||||||||||||||||||||||||||||
(2) The Minister may, on such conditions as he or she thinks fit, exempt any fishing vessel constructed before the commencement of these Regulations from any of the requirements of these Regulations, if he or she is satisfied that the requirement is either impracticable or unreasonable in the case of such vessel. | ||||||||||||||||||||||||||||||||||||||||||||||||||||||||||||||||||||
Maintenance and upkeep. | ||||||||||||||||||||||||||||||||||||||||||||||||||||||||||||||||||||
5. The hull, machinery, equipment and radio installations as well as crew accommodation of every new vessel shall be constructed and installed so as to be capable of being regularly maintained to ensure that they are at all times, in all respects, satisfactory for the vessel’s intended service. | ||||||||||||||||||||||||||||||||||||||||||||||||||||||||||||||||||||
Repairs, alterations and modifications. | ||||||||||||||||||||||||||||||||||||||||||||||||||||||||||||||||||||
6. (1) A vessel, which undergoes repairs, alterations, modifications and outfitting related to it, shall continue to comply with the requirements previously applicable to that vessel. | ||||||||||||||||||||||||||||||||||||||||||||||||||||||||||||||||||||
(2) Repairs, alterations and modifications of a major character and outfitting related to a vessel shall meet the requirements for a new vessel only to the extent of such repairs, alterations and modifications and in so far as they are reasonable and practicable. | ||||||||||||||||||||||||||||||||||||||||||||||||||||||||||||||||||||
Surveys. | ||||||||||||||||||||||||||||||||||||||||||||||||||||||||||||||||||||
7. (1) Every vessel shall be subject to the following surveys— | ||||||||||||||||||||||||||||||||||||||||||||||||||||||||||||||||||||
(a) an initial survey before the vessel is put into service or before a Fishing Vessel Safety Certificate is issued for the first time, which shall— | ||||||||||||||||||||||||||||||||||||||||||||||||||||||||||||||||||||
(i) include a complete survey of its structure, stability, machinery, fittings, arrangements and material, including the outside of the vessel’s hull and the inside and outside of the boilers and equipment in so far as the vessel is covered by these Regulations, | ||||||||||||||||||||||||||||||||||||||||||||||||||||||||||||||||||||
(ii) be such as to ensure that the arrangements, materials, and scantlings of the structure, boilers, and other pressure vessels and their appurtenances, main and auxiliary machinery, electrical installations, radio installations including those used in life-saving appliances, fire protection, fire safety systems and appliances, life-saving appliances and arrangements, ship borne navigation equipment, nautical publications and other equipment fully comply with the requirements of these Regulations, | ||||||||||||||||||||||||||||||||||||||||||||||||||||||||||||||||||||
(iii) be such as to ensure that the workmanship of all parts of the vessel and its equipment is in all respects satisfactory and that the vessel is provided with the lights, means of making sound signals and distress signals, required by these Regulations and the International Regulations for Preventing Collisions at Sea currently in force, and | ||||||||||||||||||||||||||||||||||||||||||||||||||||||||||||||||||||
(iv) be surveyed, where pilot transfer arrangements are carried, to ensure that they are in a safe working condition and comply with the requirements of SOLAS, and | ||||||||||||||||||||||||||||||||||||||||||||||||||||||||||||||||||||
(b) periodical surveys at the following intervals— | ||||||||||||||||||||||||||||||||||||||||||||||||||||||||||||||||||||
(i) 4 years with regard to the structure, including the outside of the vessel’s hull, and machinery of the vessel referred to in Parts 2, 3, 4, 5 and 6. As provided for in Regulation 11 the period may be extended for one year subject to the vessel being surveyed internally or externally as far as it is reasonable and practicable, | ||||||||||||||||||||||||||||||||||||||||||||||||||||||||||||||||||||
(ii) 2 years with regard to the equipment of the vessel referred to in Parts 2, 3, 4, 5, 6, 7 and 10, and | ||||||||||||||||||||||||||||||||||||||||||||||||||||||||||||||||||||
(iii) 2 years with regard to the radio installations, including those used in life-saving appliances, of the vessel referred to in Parts 7, 9 and 10. | ||||||||||||||||||||||||||||||||||||||||||||||||||||||||||||||||||||
(2) Periodical surveys shall ensure that the appropriate items referred to in paragraph (1)(a) fully comply with the applicable requirements of these Regulations, that the equipment is in good working order and that the stability information is readily available on board. | ||||||||||||||||||||||||||||||||||||||||||||||||||||||||||||||||||||
(3) In addition to the periodical survey required in paragraph (1)(b)(i), intermediate surveys with regard to the structure and machinery of the vessel at intervals of 2 years shall be carried out. The survey shall ensure that alterations, which would adversely affect the safety of the vessel or the crew, have not been made. | ||||||||||||||||||||||||||||||||||||||||||||||||||||||||||||||||||||
(4) The owner and skipper of a vessel, the subject of a survey under paragraph (1), shall ensure that the survey is carried out of the vessel. | ||||||||||||||||||||||||||||||||||||||||||||||||||||||||||||||||||||
(5) Application for a survey of a vessel under paragraph (1) shall be made to the Marine Survey Office of the Department by or on behalf of the owner of the vessel. | ||||||||||||||||||||||||||||||||||||||||||||||||||||||||||||||||||||
(6) A survey of a vessel shall be carried out by an authorised officer. | ||||||||||||||||||||||||||||||||||||||||||||||||||||||||||||||||||||
(7) An authorised officer— | ||||||||||||||||||||||||||||||||||||||||||||||||||||||||||||||||||||
(a) shall survey a vessel, after such plans, drawings, specifications, documents and other information, as the authorised officer may require, have been provided by the owner of the vessel, | ||||||||||||||||||||||||||||||||||||||||||||||||||||||||||||||||||||
(b) in order to ascertain whether a vessel complies with the requirements of these Regulations as apply to it, may require the vessel and any of it’s machinery, fittings and equipment to be submitted to such tests as he or she considers necessary, and | ||||||||||||||||||||||||||||||||||||||||||||||||||||||||||||||||||||
(c) if satisfied, after a periodical survey or intermediate survey, that the vessel complies with the relevant requirements of these Regulations, shall endorse a record of the survey in the space provided on a Fishing Vessel Safety Certificate and shall certify that the vessel was found to comply with the relevant requirements of these Regulations. | ||||||||||||||||||||||||||||||||||||||||||||||||||||||||||||||||||||
(8) In the cases of vessels classed with a recognised organisation, a surveyor appointed by that recognised organisation may survey the vessel in order to ascertain whether the vessel complies with such requirements of Parts 2 and 4 to it and for that purpose the surveyor may require the vessel and any of its machinery, fittings and equipment to be submitted to such tests as he or she considers necessary. | ||||||||||||||||||||||||||||||||||||||||||||||||||||||||||||||||||||
(9) (a) An authorised officer may for the purpose of a survey under this Regulation— | ||||||||||||||||||||||||||||||||||||||||||||||||||||||||||||||||||||
(i) board a vessel, | ||||||||||||||||||||||||||||||||||||||||||||||||||||||||||||||||||||
(ii) inspect and examine the vessel, | ||||||||||||||||||||||||||||||||||||||||||||||||||||||||||||||||||||
(iii) inspect and take copies of, or extracts from, records or documents pertaining to the vessel or its owner found on the vessel, | ||||||||||||||||||||||||||||||||||||||||||||||||||||||||||||||||||||
(iv) request any member of the crew of the vessel to furnish him or her with such information and to produce to him or her such records and documents in his or her possession or within his or her procurement, as he or she may reasonably require for the purpose of such functions, and | ||||||||||||||||||||||||||||||||||||||||||||||||||||||||||||||||||||
(v) detain the vessel at the place where it is found or direct that it be taken to the nearest convenient port if, in the opinion of the authorised officer, the vessel is in contravention of these Regulations and that the vessel is unfit to proceed on any voyage or excursion because of the danger to human life, or the marine environment, that the voyage or excursion would entail. | ||||||||||||||||||||||||||||||||||||||||||||||||||||||||||||||||||||
(b) When an authorised officer determines that the condition of the vessel or its equipment does not correspond substantially with the particulars of the Fishing Vessel Safety or Exemption Certificate relating to the vessel or is such that the vessel is not fit to proceed to sea without danger to the vessel, or persons on board, such authorised officer shall immediately direct that corrective action is taken and shall in due course notify the Minister. | ||||||||||||||||||||||||||||||||||||||||||||||||||||||||||||||||||||
(c) Where corrective action is not taken or not taken to the satisfaction of an authorised officer the relevant Fishing Vessel Safety Certificate shall be withdrawn and the Minister shall be notified immediately, and, if the vessel is in the port of another State, the appropriate authorities of the port State shall also be notified immediately. | ||||||||||||||||||||||||||||||||||||||||||||||||||||||||||||||||||||
(10) (a) The condition of the vessel and its equipment shall be maintained to conform with these Regulations to ensure that the vessel in all respects will remain fit to proceed to sea without danger to the vessel or persons on board. | ||||||||||||||||||||||||||||||||||||||||||||||||||||||||||||||||||||
(b) After any survey of the vessel under this Regulation has been completed, no change shall be made to the structural arrangements, machinery, equipment and other items covered by the survey, without the approval of the Minister. | ||||||||||||||||||||||||||||||||||||||||||||||||||||||||||||||||||||
(c) Whenever an accident occurs to a vessel or a defect is discovered, either of which affects the safety of the vessel or the efficiency or completeness of its life-saving appliances or other equipment- | ||||||||||||||||||||||||||||||||||||||||||||||||||||||||||||||||||||
(i) the skipper or owner of the vessel shall report at the earliest opportunity to the Marine Survey Office, | ||||||||||||||||||||||||||||||||||||||||||||||||||||||||||||||||||||
(ii) which office shall decide whether a survey, as required by this Regulation, is necessary, and | ||||||||||||||||||||||||||||||||||||||||||||||||||||||||||||||||||||
(iii) if the vessel is in a port of another State, the skipper or owner shall also report immediately to the appropriate authorities of the port State. | ||||||||||||||||||||||||||||||||||||||||||||||||||||||||||||||||||||
(11) The Minister may appoint in writing a person or a member of a class of persons to be an authorised officer for the purposes of these Regulations. | ||||||||||||||||||||||||||||||||||||||||||||||||||||||||||||||||||||
Surveyor’s report and declaration of survey. | ||||||||||||||||||||||||||||||||||||||||||||||||||||||||||||||||||||
8. (1) On completion of a survey under Regulation 7 for the grant or renewal of a Fishing Vessel Safety Certificate, the authorised officer concerned shall provide the Minister with a declaration of survey. | ||||||||||||||||||||||||||||||||||||||||||||||||||||||||||||||||||||
(2) An authorised officer shall complete and append to the declaration of survey a record of particulars and report in a format specified by the Minister. Such particulars may be given by attaching to the record of a survey a copy of the surveyor’s report and associated plans and documents, if any, and specifying in the record passages in the report in which the relevant particulars are given. | ||||||||||||||||||||||||||||||||||||||||||||||||||||||||||||||||||||
(3) Two copies of the record shall be sent to the owner of the vessel on the initial survey of the vessel which shall be produced for inspection and the addition of the surveyor’s report at subsequent surveys. | ||||||||||||||||||||||||||||||||||||||||||||||||||||||||||||||||||||
Fishing Vessel Safety Certificates and exemption certificates. | ||||||||||||||||||||||||||||||||||||||||||||||||||||||||||||||||||||
9. (1) If the Minister is satisfied that the vessel has been duly surveyed in accordance with these Regulations and— | ||||||||||||||||||||||||||||||||||||||||||||||||||||||||||||||||||||
(a) complies with the applicable requirements of these Regulations, and | ||||||||||||||||||||||||||||||||||||||||||||||||||||||||||||||||||||
(b) is properly provided with the lights, shapes and means of making sound signals required by the International Regulations for Prevention of Collision at Sea, a Fishing Vessel Safety Certificate, in the form set out in Schedule 1, shall be granted to the owner of the vessel. | ||||||||||||||||||||||||||||||||||||||||||||||||||||||||||||||||||||
(2) A Fishing Vessel Safety Certificate shall be subject to such conditions and restrictions, if any, as the Minister may impose, at the time of the grant of the certificate or subsequently, and any such conditions or restrictions shall be specified in the certificate or in another document given or sent to the holder of the certificate by the Minister. | ||||||||||||||||||||||||||||||||||||||||||||||||||||||||||||||||||||
(3) When an exemption is granted in accordance with Regulation 4 a Fishing Vessel Exemption Certificate shall be issued in respect of the vessel in addition to the Fishing Vessel Safety Certificate relating to the vessel. | ||||||||||||||||||||||||||||||||||||||||||||||||||||||||||||||||||||
(4) Whenever a certificate under this Regulation is in force in relation to a vessel, the certificate or a copy of it shall be displayed in the vessel in a position in which it is visible and legible to persons on board. | ||||||||||||||||||||||||||||||||||||||||||||||||||||||||||||||||||||
(5) A Fishing Vessel Safety Certificate and any extension to it or a Fishing Vessel Exemption Certificate shall be issued or endorsed by an authorised officer. | ||||||||||||||||||||||||||||||||||||||||||||||||||||||||||||||||||||
(6) A Fishing Vessel Safety Certificate shall include a record of equipment in the vessel, in the form set out in Schedule 1, attached to the certificate. | ||||||||||||||||||||||||||||||||||||||||||||||||||||||||||||||||||||
(7) A certificate under this Regulation may be issued by an authorised officer. | ||||||||||||||||||||||||||||||||||||||||||||||||||||||||||||||||||||
Duration of Fishing Vessel Safety Certificate. | ||||||||||||||||||||||||||||||||||||||||||||||||||||||||||||||||||||
10. (1) Except as otherwise provided in Regulation 11, a Fishing Vessel Safety Certificate shall be in force for 48 months— | ||||||||||||||||||||||||||||||||||||||||||||||||||||||||||||||||||||
(a) from the date of completion of the survey of the vessel to which the certificate relates or, | ||||||||||||||||||||||||||||||||||||||||||||||||||||||||||||||||||||
(b) in the case of a fishing vessel other than a new fishing vessel, from the last examination of the full or underwater fittings in dry dock or from the completion of the radio survey whichever is sooner, or such shorter period as may be specified in the certificate. | ||||||||||||||||||||||||||||||||||||||||||||||||||||||||||||||||||||
(2) A Fishing Vessel Exemption Certificate shall not be valid for longer than the period of the validity of the certificate. | ||||||||||||||||||||||||||||||||||||||||||||||||||||||||||||||||||||
Extension of Fishing Vessel Safety Certificate. | ||||||||||||||||||||||||||||||||||||||||||||||||||||||||||||||||||||
11. (1) A Fishing Vessel Safety Certificate shall not be extended for more than one year subject to the periodical surveys as required in Regulation 7, except as provided for in paragraphs (2) and (3). | ||||||||||||||||||||||||||||||||||||||||||||||||||||||||||||||||||||
(2) If at the time when the validity of its Fishing Vessel Safety Certificate expires or ceases, a vessel is not in a port at which it can be surveyed, the validity of the certificate may be extended for a period not exceeding 2 months, but such extension shall be granted only for the purpose of allowing the vessel to complete its voyage to the port in which it is to be surveyed, and then only in cases where it appears proper and reasonable to do so. | ||||||||||||||||||||||||||||||||||||||||||||||||||||||||||||||||||||
(3) A vessel to which such extension is granted shall not, on its arrival in the port in which it is to be surveyed, be entitled by virtue of such extension to leave the port without having obtained a new Fishing Vessel Safety Certificate. | ||||||||||||||||||||||||||||||||||||||||||||||||||||||||||||||||||||
(4) A Fishing Vessel Safety Certificate, which has not been extended under paragraph (1), may be extended for a period of grace up to one month from the date of expiry stated on it. | ||||||||||||||||||||||||||||||||||||||||||||||||||||||||||||||||||||
(5) No extension under this Regulation has effect for the purposes of these Regulations unless particulars of the date to which the period of validity is extended, together with particulars of the place at and the date on which such extension was given, are endorsed on the current certificate. | ||||||||||||||||||||||||||||||||||||||||||||||||||||||||||||||||||||
(6) The period of validity of any Fishing Vessel Safety Certificate coming into force immediately on the expiry of a certificate extended under this Regulation shall not exceed a period of 4 years, dated to correspond with the original Fishing Vessel Safety Certificate before such an extension. | ||||||||||||||||||||||||||||||||||||||||||||||||||||||||||||||||||||
Cancellation of certificates and cesser. | ||||||||||||||||||||||||||||||||||||||||||||||||||||||||||||||||||||
12. (1) The Minister may cancel a Fishing Vessel Safety Certificate or a Fishing Vessel Exemption Certificate if he or she is satisfied that— | ||||||||||||||||||||||||||||||||||||||||||||||||||||||||||||||||||||
(a) any declaration of survey on which the certificate was founded has been in any particular manner made fraudulently or erroneously, | ||||||||||||||||||||||||||||||||||||||||||||||||||||||||||||||||||||
(b) the certificate has been issued upon false or erroneous information, or | ||||||||||||||||||||||||||||||||||||||||||||||||||||||||||||||||||||
(c) since the making of the declaration, the hull, equipment or machinery has sustained any damage or are otherwise inadequate for their intended service, | ||||||||||||||||||||||||||||||||||||||||||||||||||||||||||||||||||||
(d) the certificate being extended under Regulation 11 is not endorsed in the manner set out in Regulation 11(5), | ||||||||||||||||||||||||||||||||||||||||||||||||||||||||||||||||||||
(e) the vessel has ceased to be entered in the Register of Fishing Boats, or | ||||||||||||||||||||||||||||||||||||||||||||||||||||||||||||||||||||
(f) corrective action has not been taken under Regulation 7(9)(b) or has not been taken to the satisfaction of an authorised officer. | ||||||||||||||||||||||||||||||||||||||||||||||||||||||||||||||||||||
(2) Where the holder of a Fishing Vessel Safety or Exemption Certificate is notified of the cancellation of the certificate, he or she shall surrender the certificate to the Minister. | ||||||||||||||||||||||||||||||||||||||||||||||||||||||||||||||||||||
(3) The following instruments, insofar as they apply to fishing vessels to which these Regulations apply cease to have effect for those vessels in accordance with Regulation 1(2), that is to say: | ||||||||||||||||||||||||||||||||||||||||||||||||||||||||||||||||||||
(a) the Merchant Shipping (Fire Appliances) Rules 1967 ( S.I. No. 101 of 1967 ), | ||||||||||||||||||||||||||||||||||||||||||||||||||||||||||||||||||||
(b) the Merchant Shipping (Life-Saving Appliances) Rules 1967 ( S.I. No. 100 of 1967 ), | ||||||||||||||||||||||||||||||||||||||||||||||||||||||||||||||||||||
(c) the Fishing Vessel (Radio Installations) Regulations 1998 ( S.I. No. 544 of 1998 ), | ||||||||||||||||||||||||||||||||||||||||||||||||||||||||||||||||||||
(d) the Fishing Vessel (Radio Installations Survey) Regulations 1999 ( S.I. No. 40 of 1999 ), | ||||||||||||||||||||||||||||||||||||||||||||||||||||||||||||||||||||
(e) the Safety, Health and Welfare at Work (Fishing Vessels) Regulations 1999 ( S.I. No. 325 of 1999 ), and | ||||||||||||||||||||||||||||||||||||||||||||||||||||||||||||||||||||
(f) the Merchant Shipping (Musters) (Fishing Vessels) Regulations 1993 ( S.I. No. 43 of 1993 ). | ||||||||||||||||||||||||||||||||||||||||||||||||||||||||||||||||||||
PART 2 | ||||||||||||||||||||||||||||||||||||||||||||||||||||||||||||||||||||
CONSTRUCTION, WATERTIGHT INTEGRITY AND EQUIPMENT | ||||||||||||||||||||||||||||||||||||||||||||||||||||||||||||||||||||
Construction. | ||||||||||||||||||||||||||||||||||||||||||||||||||||||||||||||||||||
13. (1) The strength and construction of the hull, superstructures, deck-houses, machinery casings, companionways and any other structures and the vessel’s equipment shall be sufficient to withstand all foreseeable conditions of the intended service and shall be in accordance with the rules of a recognised organisation or, in the case of an existing vessel, to the satisfaction of the Minister. | ||||||||||||||||||||||||||||||||||||||||||||||||||||||||||||||||||||
(2) The hull of vessels intended for operation in ice shall be strengthened in accordance with the anticipated conditions of navigation and area of operation. Wooden vessels, operating from harbours subject to freezing shall have appropriate ice protection sheathing. | ||||||||||||||||||||||||||||||||||||||||||||||||||||||||||||||||||||
(3) Bulkheads, closing devices and closures of openings in these bulkheads, as well as methods for their testing, shall be in accordance with the rules of a Recognised Organisation or other such body acceptable to the Minister. | ||||||||||||||||||||||||||||||||||||||||||||||||||||||||||||||||||||
(4) Vessels constructed of material other than wood shall be fitted with a collision bulkhead and at least with watertight bulkheads bounding the main machinery space. Such bulkheads shall be extended up to the working deck. In vessels constructed of wood such bulkheads, which as far as practicable shall be watertight, shall also be fitted. | ||||||||||||||||||||||||||||||||||||||||||||||||||||||||||||||||||||
(5) The Minister may accept the bulkhead arrangement of an existing vessel provided that such arrangement continues to remain effective in service. | ||||||||||||||||||||||||||||||||||||||||||||||||||||||||||||||||||||
(6) Pipes piercing the collision bulkhead shall be fitted with suitable valves operable from above the working deck and the valve chest shall be secured at the collision bulkhead inside the forepeak. The valves may be fitted on the after side of the collision bulkhead provided that the valves are readily accessible under all service conditions and the space in which they are located is not a cargo space. | ||||||||||||||||||||||||||||||||||||||||||||||||||||||||||||||||||||
(7) No door, manhole, ventilation duct or any other opening shall be fitted in the collision bulkhead below the working deck. | ||||||||||||||||||||||||||||||||||||||||||||||||||||||||||||||||||||
(8) The number of openings in the collision bulkhead above the working deck shall be reduced to the minimum compatible with the design and normal operation of the vessel. Such openings shall be capable of being closed weathertight. | ||||||||||||||||||||||||||||||||||||||||||||||||||||||||||||||||||||
(9) The forepeak shall not be used for carrying fuel oil. | ||||||||||||||||||||||||||||||||||||||||||||||||||||||||||||||||||||
Watertight doors. | ||||||||||||||||||||||||||||||||||||||||||||||||||||||||||||||||||||
14. (1) The number of openings in watertight bulkheads required by Regulation 13(3) shall be the minimum compatible with the general arrangement and operational needs of the vessel. | ||||||||||||||||||||||||||||||||||||||||||||||||||||||||||||||||||||
(2) Openings shall be fitted with watertight closing appliances complying with the rules of a recognised organisation or other such body acceptable to the Minister or, in the case of existing vessels, to the satisfaction of the Minister. Watertight doors shall be of an equivalent strength to the adjacent unpierced structure. | ||||||||||||||||||||||||||||||||||||||||||||||||||||||||||||||||||||
(3) Watertight doors may be of the hinged type, and shall be capable of being operated locally from each side of the door. A notice shall be attached to the door on each side stating that the door shall be kept closed at sea. | ||||||||||||||||||||||||||||||||||||||||||||||||||||||||||||||||||||
(4) Sliding watertight doors shall be capable of being operated when the vessel is listed up to 15° either way. | ||||||||||||||||||||||||||||||||||||||||||||||||||||||||||||||||||||
Hull integrity. | ||||||||||||||||||||||||||||||||||||||||||||||||||||||||||||||||||||
15. (1) External openings shall be capable of being closed so as to prevent water from entering the vessel. | ||||||||||||||||||||||||||||||||||||||||||||||||||||||||||||||||||||
(2) (a) Deck openings, which may be open during fishing operations, shall be arranged near to the vessel’s centreline. | ||||||||||||||||||||||||||||||||||||||||||||||||||||||||||||||||||||
(b) The Minister may approve different arrangements provided that the safety of the vessel will not be impaired. | ||||||||||||||||||||||||||||||||||||||||||||||||||||||||||||||||||||
(3) Fish flaps on stern trawlers shall be power-operated and capable of being controlled from any position which provides an unobstructed view of the operation of the flaps. | ||||||||||||||||||||||||||||||||||||||||||||||||||||||||||||||||||||
Weathertight doors. | ||||||||||||||||||||||||||||||||||||||||||||||||||||||||||||||||||||
16. (1) All access openings in bulkheads of enclosed superstructures and other outer structures, through which water could enter and endanger the vessel, shall be fitted with doors permanently attached to the bulkhead, framed and stiffened so that the whole structure is of equivalent strength to the unpierced structure, and weathertight when closed. | ||||||||||||||||||||||||||||||||||||||||||||||||||||||||||||||||||||
(2) The means for securing these doors weathertight shall consist of gaskets and clamping devices or other equivalent means and shall be permanently attached to the bulkhead or to the doors themselves, and shall be so arranged that they can be operated from each side of the bulkhead. | ||||||||||||||||||||||||||||||||||||||||||||||||||||||||||||||||||||
(3) The height above deck of sills in those doorways, in companionways, erections and machinery casings which give direct access to parts of the deck exposed to the weather and sea shall be at least 600mm on the working deck and at least 300mm on the superstructure deck. | ||||||||||||||||||||||||||||||||||||||||||||||||||||||||||||||||||||
(4) Where operating experience has shown justification and, on the approval of the Minister, these heights, except in the doorways giving direct access to machinery spaces, may be reduced to not less than 380mm and 150mm respectively. | ||||||||||||||||||||||||||||||||||||||||||||||||||||||||||||||||||||
Hatchways closed by wood covers. | ||||||||||||||||||||||||||||||||||||||||||||||||||||||||||||||||||||
17. (1) The height above deck of hatchway coamings on exposed parts of the working deck shall be: | ||||||||||||||||||||||||||||||||||||||||||||||||||||||||||||||||||||
| ||||||||||||||||||||||||||||||||||||||||||||||||||||||||||||||||||||
The height above deck of hatchway coamings on exposed parts of the superstructure deck shall be at least 300mm. | ||||||||||||||||||||||||||||||||||||||||||||||||||||||||||||||||||||
(2) Where operating experience has shown justification and on the approval of the Minister, the height of hatchway coamings, except those which give direct access to machinery spaces, may be reduced from the height as specified in paragraph (1) or the coamings may be omitted entirely, provided that efficient watertight hatch covers other than wood are fitted. Such hatchways shall be kept as small as practicable and the covers shall be permanently attached by hinges or equivalent means and be capable of being rapidly closed or battened down. | ||||||||||||||||||||||||||||||||||||||||||||||||||||||||||||||||||||
(3) The finished thickness of wood hatchway covers shall include an allowance for abrasion due to rough handling. The finished thickness of these covers shall be at least 4mm for each 100mm of unsupported span subject to a minimum of 40mm and the width of their bearing surfaces shall be at least 65mm. | ||||||||||||||||||||||||||||||||||||||||||||||||||||||||||||||||||||
(4) Where wooden hatchway covers are fitted they shall be capable of being secured weathertight. Arrangements for securing wood hatchway covers weathertight shall be provided. | ||||||||||||||||||||||||||||||||||||||||||||||||||||||||||||||||||||
Hatchways closed by covers other than wood. | ||||||||||||||||||||||||||||||||||||||||||||||||||||||||||||||||||||
18. (1) (a) The height above deck of hatchway coamings shall be as specified in Regulation 17(1). | ||||||||||||||||||||||||||||||||||||||||||||||||||||||||||||||||||||
(b) Where operating experience has shown justification and on the approval of the Minister, the height of these coamings may be reduced, or the coamings omitted entirely, provided that the safety of vessels is not impaired by such omission. In this case, the hatchway openings shall be kept as small as practicable and the covers be permanently attached by hinges or equivalent means and be capable of being rapidly closed and battened down, or by equally effective arrangements. | ||||||||||||||||||||||||||||||||||||||||||||||||||||||||||||||||||||
(2) For the purpose of strength calculations it shall be assumed that hatchway covers are subjected to static loads of 10 kN/m2, or the weight of cargo intended to be carried on them, whichever is the greater. | ||||||||||||||||||||||||||||||||||||||||||||||||||||||||||||||||||||
(3) Where a hatchway is situated on the superstructure deck in a position abaft a point 0.25 of the length from the forward perpendicular, the assumed loads may be reduced to not less than 75 per cent of the requirement of paragraph (2). | ||||||||||||||||||||||||||||||||||||||||||||||||||||||||||||||||||||
(4) Where covers are made of mild steel, the maximum stress calculated according to paragraph (2) multiplied by 4.25 shall not exceed the minimum ultimate strength of the material. Under these loads the deflections shall not be more than 0.0028 times the span. | ||||||||||||||||||||||||||||||||||||||||||||||||||||||||||||||||||||
(5) Covers made of materials other than mild steel shall be at least of equivalent strength to those made of mild steel and their construction shall be of sufficient stiffness to ensure weathertightness under the loads specified in paragraph (2). | ||||||||||||||||||||||||||||||||||||||||||||||||||||||||||||||||||||
(6) Covers shall be fitted with clamping devices and gaskets or other equivalent arrangements sufficient to ensure weathertightness. | ||||||||||||||||||||||||||||||||||||||||||||||||||||||||||||||||||||
Machinery space openings. | ||||||||||||||||||||||||||||||||||||||||||||||||||||||||||||||||||||
19. (1) Machinery space openings shall be framed and enclosed by casings of strength equivalent to the adjacent superstructure. External access openings therein shall be fitted with doors complying with Regulation 16 or with hatch covers other than wood complying with Regulation 18. | ||||||||||||||||||||||||||||||||||||||||||||||||||||||||||||||||||||
(2) Openings other than access openings shall be fitted with covers of equivalent strength to the unpierced structure, permanently attached thereto and capable of being closed weathertight. | ||||||||||||||||||||||||||||||||||||||||||||||||||||||||||||||||||||
(3) Where casings are not fitted the access openings to the machinery space shall be closed in accordance with the provisions of paragraph (1). | ||||||||||||||||||||||||||||||||||||||||||||||||||||||||||||||||||||
Other deck openings. | ||||||||||||||||||||||||||||||||||||||||||||||||||||||||||||||||||||
20. (1) Where it is essential for fishing operations, flush deck scuttles of the screw, bayonet or equivalent type, and manhole covers may be fitted, provided these are capable of being closed watertight and such devices shall be permanently attached to the adjacent structure. Subject to the approval of the Minister, and having regard to the size and disposition of the openings and the design of the closing devices, metal-to-metal closures may be fitted provided that they are effectively watertight. | ||||||||||||||||||||||||||||||||||||||||||||||||||||||||||||||||||||
(2) An efficient deck erection or companionway, fitted with weathertight doors or their equivalent, shall be provided to protect openings, other than hatchways, machinery space openings, manholes and flush scuttles in the working deck. Companionways shall be situated as close as practicable to the vessel’s centreline. | ||||||||||||||||||||||||||||||||||||||||||||||||||||||||||||||||||||
Ventilators. | ||||||||||||||||||||||||||||||||||||||||||||||||||||||||||||||||||||
21. (1) The coamings of ventilators shall be as high as practicable. On the working deck the height above deck of coamings of ventilators other than machinery space ventilators shall be not less than 760mm and on superstructure decks not less than 450mm. When the height of such ventilators may interfere with the working of the vessel their coaming heights may be reduced to the satisfaction of the Minister. | ||||||||||||||||||||||||||||||||||||||||||||||||||||||||||||||||||||
(2) Machinery space ventilators shall be led as high as is reasonable and practicable and preferably be fitted well inboard; the angle of initial down flooding to the machinery spaces shall not be less than 40°. | ||||||||||||||||||||||||||||||||||||||||||||||||||||||||||||||||||||
(3) (a) Coamings of ventilators shall be of equivalent strength to the adjacent structure and capable of being closed weathertight by devices permanently attached to the ventilator or adjacent structure. Where the coaming of any ventilator exceeds 900mm in height it shall be specially supported. Ventilators shall be arranged as close to the vessel’s centreline as possible and, where practicable, shall extend through the top of a deck erection or companionway. | ||||||||||||||||||||||||||||||||||||||||||||||||||||||||||||||||||||
(b) Closing appliances need not be fitted to ventilators the coamings of which extend more than 3.4 metres above the working deck or more than 1.7 metres above a deckhouse top or superstructure deck. If it is unlikely that water will enter the vessel through machinery space ventilators, closing appliances to such ventilators may be omitted, subject to the approval of the Minister. Fire flaps shall be fitted to such coamings in accordance with Regulation 82. | ||||||||||||||||||||||||||||||||||||||||||||||||||||||||||||||||||||
Air pipes. | ||||||||||||||||||||||||||||||||||||||||||||||||||||||||||||||||||||
22. (1) Where air pipes to tanks and void spaces below deck extend above the working or superstructure decks, the exposed parts of the pipes shall be of strength equivalent to the adjacent structures and fitted with appropriate protection and, as far as is practicable, located close to the vessel’s centreline and protected from damage by fishing or lifting gear. Openings of pipes shall be provided with means of closing, permanently attached to the pipe or adjacent structure, except that where they are protected against water trapped on deck, these means of closing may, subject to the approval of the Minister, be omitted. | ||||||||||||||||||||||||||||||||||||||||||||||||||||||||||||||||||||
(2) The height of air pipes above deck to the point where water may have access below shall be at least 760mm on the working deck and at least 450mm on the superstructure deck. To avoid interference with the fishing operations the Minister may accept a reduction of the height of an air pipe. | ||||||||||||||||||||||||||||||||||||||||||||||||||||||||||||||||||||
Sounding devices. | ||||||||||||||||||||||||||||||||||||||||||||||||||||||||||||||||||||
23. (1) Sounding devices shall be fitted to- | ||||||||||||||||||||||||||||||||||||||||||||||||||||||||||||||||||||
(a) the bilges of those compartments which are not readily accessible at all times during the voyage, and | ||||||||||||||||||||||||||||||||||||||||||||||||||||||||||||||||||||
(b) all tanks and cofferdams. | ||||||||||||||||||||||||||||||||||||||||||||||||||||||||||||||||||||
(2) Where sounding pipes are fitted— | ||||||||||||||||||||||||||||||||||||||||||||||||||||||||||||||||||||
(a) their upper ends shall be extended to a readily accessible position and, where practicable, above the working deck, | ||||||||||||||||||||||||||||||||||||||||||||||||||||||||||||||||||||
(b) their openings shall be provided with permanently attached means of closing, and | ||||||||||||||||||||||||||||||||||||||||||||||||||||||||||||||||||||
(c) shall be fitted with automatic self-closing devices in sounding pipes which are not extended above the working deck. | ||||||||||||||||||||||||||||||||||||||||||||||||||||||||||||||||||||
(3) Sounding arrangements on fuel service tanks shall be such that in the event of the tanks being overfilled, spillage through the means of sounding cannot occur. | ||||||||||||||||||||||||||||||||||||||||||||||||||||||||||||||||||||
(4) Fuel tank sounding pipe openings shall not be located in crew accommodation. | ||||||||||||||||||||||||||||||||||||||||||||||||||||||||||||||||||||
Sidescuttles and windows. | ||||||||||||||||||||||||||||||||||||||||||||||||||||||||||||||||||||
24. (1) Sidescuttles to spaces below the working deck and to enclosed spaces on the working deck shall be fitted with hinged deadlights capable of being closed watertight. | ||||||||||||||||||||||||||||||||||||||||||||||||||||||||||||||||||||
(2) No sidescuttle shall be fitted in such a position that its sill is less than 500mm above the deepest operating waterline. | ||||||||||||||||||||||||||||||||||||||||||||||||||||||||||||||||||||
(3) Sidescuttles fitted less than 1000mm above the deepest operating waterline shall be of the fixed type. | ||||||||||||||||||||||||||||||||||||||||||||||||||||||||||||||||||||
(4) Windows, sidescuttles and skylights, together with their frames, glasses and deadlights, shall be of an approved construction. Those prone to be damaged by fishing gear shall be suitably protected. | ||||||||||||||||||||||||||||||||||||||||||||||||||||||||||||||||||||
(5) (a) Skylights leading to spaces below the working deck shall be of substantial construction and capable of being closed and secured weathertight, and with provision for adequate means of closing in the event of damage to the inserts. | ||||||||||||||||||||||||||||||||||||||||||||||||||||||||||||||||||||
(b) Skylights leading to machinery spaces shall be avoided as far as practicable. | ||||||||||||||||||||||||||||||||||||||||||||||||||||||||||||||||||||
(6) (a) Toughened safety glass or suitably permanently transparent material of equivalent strength shall be fitted in all wheelhouse windows exposed to the weather. | ||||||||||||||||||||||||||||||||||||||||||||||||||||||||||||||||||||
(b) The means of securing windows and the width of the bearing surfaces shall be adequate, having regard to the window material used. | ||||||||||||||||||||||||||||||||||||||||||||||||||||||||||||||||||||
(c) Openings leading to spaces below deck from a wheelhouse whose windows are not provided with the protection required by paragraph (7) shall be fitted with a weathertight closing appliance. | ||||||||||||||||||||||||||||||||||||||||||||||||||||||||||||||||||||
(7) Deadlights or a suitable number of storm shutters shall be provided where there is no other method of preventing water from entering the hull through a broken window or sidescuttle. | ||||||||||||||||||||||||||||||||||||||||||||||||||||||||||||||||||||
(8) If the safety of the vessel is not impaired, sidescuttles and windows without deadlights in side or aft bulkheads of deck erections located on or above the working deck may be accepted, subject to the approval of the Minister. | ||||||||||||||||||||||||||||||||||||||||||||||||||||||||||||||||||||
(9) The number of openings in the sides of the vessel below the working deck shall be the minimum compatible with the design and proper working of the vessel and such openings shall be provided with closing arrangements of adequate strength to ensure watertightness and the structural integrity of the surrounding structure. | ||||||||||||||||||||||||||||||||||||||||||||||||||||||||||||||||||||
Inlets and discharges. | ||||||||||||||||||||||||||||||||||||||||||||||||||||||||||||||||||||
25. (1) (a) Discharges led through the shell either from spaces below the working deck or from within enclosed superstructures or deckhouses on the working deck fitted with doors complying with the requirements of Regulation 16 shall be fitted with means for preventing water from passing inboard. | ||||||||||||||||||||||||||||||||||||||||||||||||||||||||||||||||||||
(b) Each separate discharge shall have an automatic non-return valve with a positive means of closing it from a readily accessible position. | ||||||||||||||||||||||||||||||||||||||||||||||||||||||||||||||||||||
(c) Subject to the approval of the Minister, a non-return valve may be omitted if it is considered that the entry of water into the vessel through the opening is not likely to lead to dangerous flooding and that the thickness of the pipe is sufficient. | ||||||||||||||||||||||||||||||||||||||||||||||||||||||||||||||||||||
(d) The means for operating the valve with a positive means of closing shall be provided with an indicator, showing whether the valve is open or closed. | ||||||||||||||||||||||||||||||||||||||||||||||||||||||||||||||||||||
(2) (a) In machinery spaces main and auxiliary sea inlets and discharges essential for the operation of machinery may be controlled locally. | ||||||||||||||||||||||||||||||||||||||||||||||||||||||||||||||||||||
(b) Controls shall be readily accessible and shall be provided with indicators showing whether the valves are open or closed. | ||||||||||||||||||||||||||||||||||||||||||||||||||||||||||||||||||||
(c) In unmanned machinery spaces suitable warning devices shall be installed to indicate leakage of water into the space or leakage from any other system. | ||||||||||||||||||||||||||||||||||||||||||||||||||||||||||||||||||||
(3) Fittings attached to the shell and all valves required by this Regulation shall be of steel, bronze or other approved ductile material. All pipes between the shell and the valves shall be of steel, except that in spaces other than machinery spaces of vessels constructed of material other than steel, the Minister may approve the use of other materials. | ||||||||||||||||||||||||||||||||||||||||||||||||||||||||||||||||||||
Freeing ports. | ||||||||||||||||||||||||||||||||||||||||||||||||||||||||||||||||||||
26. (1) Where bulwarks on weather parts of the working deck form wells, the minimum freeing port area (A) in m2, on each side of the vessel for each well on the working deck shall be determined in relation to the length (l) and height of bulwark in this well as follows: | ||||||||||||||||||||||||||||||||||||||||||||||||||||||||||||||||||||
A = K x l | ||||||||||||||||||||||||||||||||||||||||||||||||||||||||||||||||||||
where: K = 0.07 for vessels of 24 metres in length | ||||||||||||||||||||||||||||||||||||||||||||||||||||||||||||||||||||
K = 0.04375 for vessels of 15 metres in length; | ||||||||||||||||||||||||||||||||||||||||||||||||||||||||||||||||||||
for intermediate lengths the value of K shall be obtained by linear interpolation. | ||||||||||||||||||||||||||||||||||||||||||||||||||||||||||||||||||||
(l need not be taken as greater than 70% of the length of a vessel.) | ||||||||||||||||||||||||||||||||||||||||||||||||||||||||||||||||||||
Where the bulwark is— | ||||||||||||||||||||||||||||||||||||||||||||||||||||||||||||||||||||
(a) more than 1.2 metres in average height the required area shall be increased by 0.004m2 per metre of length of well for each 100mm difference in height, or | ||||||||||||||||||||||||||||||||||||||||||||||||||||||||||||||||||||
(b) is less than 900mm in average height, the required area may be decreased by 0.004m2 per metre of length of well for each 100mm difference in height. | ||||||||||||||||||||||||||||||||||||||||||||||||||||||||||||||||||||
(2) The freeing port area calculated according to paragraph (1) shall be increased where it is considered that the vessel’s sheer is not sufficient to ensure rapid and effective freeing of the deck of water. | ||||||||||||||||||||||||||||||||||||||||||||||||||||||||||||||||||||
(3) Subject to the approval of the Minister, the minimum freeing port area for each well on the superstructure deck shall be not less than one half the area (A) given in paragraph (1) except that where the superstructure deck forms a working deck for fishing operations the minimum area each side shall be not less than 75 per cent of the area (A). | ||||||||||||||||||||||||||||||||||||||||||||||||||||||||||||||||||||
(4) Freeing ports shall be so arranged along the length of bulwarks as to provide the most rapid and effective freeing of the deck from water. Lower edges of freeing ports shall be as near the deck as practicable. | ||||||||||||||||||||||||||||||||||||||||||||||||||||||||||||||||||||
(5) (a) Poundboards and means for stowage and working the fishing gear shall be arranged so that the effectiveness of the freeing ports will not be impaired or water trapped on deck and prevented from easily reaching the freeing ports. | ||||||||||||||||||||||||||||||||||||||||||||||||||||||||||||||||||||
(b) Poundboards shall be so constructed that they can be locked in position when in use and will not hamper the discharge of shipped water. | ||||||||||||||||||||||||||||||||||||||||||||||||||||||||||||||||||||
(6) (a) Freeing ports over 300mm in depth shall be fitted with bars spaced not more than 230mm nor less than 150mm apart or provided with other suitable protective arrangements. | ||||||||||||||||||||||||||||||||||||||||||||||||||||||||||||||||||||
(b) Freeing port covers, if fitted, shall be of approved construction. | ||||||||||||||||||||||||||||||||||||||||||||||||||||||||||||||||||||
(c) If devices are considered necessary for locking freeing port covers during fishing operations they shall be approved and easily operable from a readily accessible position. | ||||||||||||||||||||||||||||||||||||||||||||||||||||||||||||||||||||
(7) In vessels intended to operate in areas subject to icing, covers and protective arrangements from freeing ports shall be capable of being easily removed to restrict ice accumulation. The size of opening and means provided for removal of these protective arrangements shall be approved. | ||||||||||||||||||||||||||||||||||||||||||||||||||||||||||||||||||||
(8) (a) Where wells or cockpits are fitted in the working deck or superstructure deck with their bottoms above the deepest operating waterline, efficient non-return means of drainage overboard shall be provided. | ||||||||||||||||||||||||||||||||||||||||||||||||||||||||||||||||||||
(b) Where bottoms of such wells or cockpits are below the deepest operating waterline, drainage to the bilges shall be provided. | ||||||||||||||||||||||||||||||||||||||||||||||||||||||||||||||||||||
Anchor and mooring equipment. | ||||||||||||||||||||||||||||||||||||||||||||||||||||||||||||||||||||
27. (1) (a) Each vessel shall be provided with anchor equipment designed for quick and safe operation which shall consist of an anchor, anchor chains or wire ropes, stoppers and a windlass or other arrangements for dropping and hoisting the anchor and for holding the vessel at anchor in all foreseeable service conditions. | ||||||||||||||||||||||||||||||||||||||||||||||||||||||||||||||||||||
(b) Each vessel shall also be provided with adequate mooring equipment for safe mooring in all operating conditions. | ||||||||||||||||||||||||||||||||||||||||||||||||||||||||||||||||||||
(c) The hull of the vessel shall be suitably strengthened in way of hawse pipes, chain stoppers, windlass and other equipment associated with anchoring and mooring. | ||||||||||||||||||||||||||||||||||||||||||||||||||||||||||||||||||||
(2) (a) The anchoring equipment should be in accordance with Schedule 2. | ||||||||||||||||||||||||||||||||||||||||||||||||||||||||||||||||||||
(b) The rules of a recognised organisation or other such body acceptable to the Minister may also be used. | ||||||||||||||||||||||||||||||||||||||||||||||||||||||||||||||||||||
Working decks within an enclosed superstructure. | ||||||||||||||||||||||||||||||||||||||||||||||||||||||||||||||||||||
28. (1) Working decks within an enclosed superstructure shall be fitted with an efficient drainage system having an appropriate drainage capacity to dispose of washing water and fish guts. | ||||||||||||||||||||||||||||||||||||||||||||||||||||||||||||||||||||
(2) All openings necessary for fishing operations shall be provided with means for quick and efficient closure by one person. | ||||||||||||||||||||||||||||||||||||||||||||||||||||||||||||||||||||
(3) (a) Where the catch is brought on to such decks for handling and processing, the catch shall be placed in a pound. | ||||||||||||||||||||||||||||||||||||||||||||||||||||||||||||||||||||
(b) An efficient drainage system shall be fitted. | ||||||||||||||||||||||||||||||||||||||||||||||||||||||||||||||||||||
(c) Adequate protection against inadvertent influx of water to the working deck shall be provided. | ||||||||||||||||||||||||||||||||||||||||||||||||||||||||||||||||||||
(4) On new vessels, at least 2 exits from such decks shall be provided. | ||||||||||||||||||||||||||||||||||||||||||||||||||||||||||||||||||||
(5) The clear headroom in the working space shall at all points be appropriate to the particular purpose of such space. | ||||||||||||||||||||||||||||||||||||||||||||||||||||||||||||||||||||
(6) A fixed ventilation system providing sufficient changes of air per hour shall be provided. | ||||||||||||||||||||||||||||||||||||||||||||||||||||||||||||||||||||
Tanks for fish in refrigerated (RSW) or chilled (CSW) sea water. | ||||||||||||||||||||||||||||||||||||||||||||||||||||||||||||||||||||
29. (1) Where RSW or CSW tanks or similar tank systems are used, such tanks shall be provided with a separate permanently fitted arrangement for the filling and emptying of seawater. | ||||||||||||||||||||||||||||||||||||||||||||||||||||||||||||||||||||
(2) Where RSW or CSW tanks are also used for carrying dry cargo, the tanks shall be arranged with a bilge system and provided with adequate means to avoid ingress of water from the bilge system into the tanks. | ||||||||||||||||||||||||||||||||||||||||||||||||||||||||||||||||||||
PART 3 | ||||||||||||||||||||||||||||||||||||||||||||||||||||||||||||||||||||
STABILITY AND ASSOCIATED SEAWORTHINESS | ||||||||||||||||||||||||||||||||||||||||||||||||||||||||||||||||||||
Stability. | ||||||||||||||||||||||||||||||||||||||||||||||||||||||||||||||||||||
30. (1) Every vessel to which these Regulations apply shall be so designed and constructed that the requirements of this Part will be satisfied in the operating conditions referred to in paragraph 12 of Schedule 3. | ||||||||||||||||||||||||||||||||||||||||||||||||||||||||||||||||||||
(2) The skipper shall take the precautionary measures necessary to maintain the stability of the vessel in accordance with the approved stability information book. | ||||||||||||||||||||||||||||||||||||||||||||||||||||||||||||||||||||
(3) Crew members on watch shall fully observe instructions supplied in the approved stability information book. | ||||||||||||||||||||||||||||||||||||||||||||||||||||||||||||||||||||
Stability criteria. | ||||||||||||||||||||||||||||||||||||||||||||||||||||||||||||||||||||
31. (1) The following minimum stability criteria shall be met unless the Minister is satisfied that operating experience justifies departure from such criteria: | ||||||||||||||||||||||||||||||||||||||||||||||||||||||||||||||||||||
(a) the area under the righting lever curve (GZ curve) shall not be less than— | ||||||||||||||||||||||||||||||||||||||||||||||||||||||||||||||||||||
(i) 0.055 m-rad up to 30° angle of heel, | ||||||||||||||||||||||||||||||||||||||||||||||||||||||||||||||||||||
(ii) 0.090 m-rad up to 40° or the angle of flooding f, if this angle is less than 40°, and | ||||||||||||||||||||||||||||||||||||||||||||||||||||||||||||||||||||
(iii) 0.030 m-rad between the angles of heel of 30° and 40° or between 30° and θf, if this angle is less than 40°, | ||||||||||||||||||||||||||||||||||||||||||||||||||||||||||||||||||||
Where θf is the angle of heel at which openings in the hull, superstructures or deckhouses which cannot rapidly be closed watertight commence to immerse. In applying this criterion, small openings through which progressive flooding cannot take place need not be considered as open; | ||||||||||||||||||||||||||||||||||||||||||||||||||||||||||||||||||||
(b) the righting lever GZ shall be at least 200mm at an angle of heel equal to or greater than 30°; | ||||||||||||||||||||||||||||||||||||||||||||||||||||||||||||||||||||
(c) the maximum righting lever GZmax shall occur at an angle of heel preferably exceeding 30° but not less than 25°; and | ||||||||||||||||||||||||||||||||||||||||||||||||||||||||||||||||||||
(d) the initial metacentric height GM0 shall not be less than 350mm. | ||||||||||||||||||||||||||||||||||||||||||||||||||||||||||||||||||||
(2) Where arrangements other than bilge keels are provided to limit the angles of roll, the stability criteria given in paragraph (1) shall be maintained in all operating conditions. | ||||||||||||||||||||||||||||||||||||||||||||||||||||||||||||||||||||
(3) (a) Where ballast is provided to ensure compliance with paragraph (1) it shall be permanent, solid and fixed securely in the vessel. | ||||||||||||||||||||||||||||||||||||||||||||||||||||||||||||||||||||
(b) Details shall be included in the stability book. | ||||||||||||||||||||||||||||||||||||||||||||||||||||||||||||||||||||
(c) Permanent ballast shall not be removed or relocated without the approval of the Minister. | ||||||||||||||||||||||||||||||||||||||||||||||||||||||||||||||||||||
Flooding of fish-holds. | ||||||||||||||||||||||||||||||||||||||||||||||||||||||||||||||||||||
32. The angle of heel at which progressive flooding of fish-holds could occur through hatches which remain open during fishing operations and which cannot rapidly be closed shall be at least 20° unless the stability criteria of Regulation 31(1) can be satisfied with the respective fish-holds partially or completely flooded. | ||||||||||||||||||||||||||||||||||||||||||||||||||||||||||||||||||||
Particular fishing methods. | ||||||||||||||||||||||||||||||||||||||||||||||||||||||||||||||||||||
33. (1) Vessels engaged in particular fishing methods where additional external forces are imposed on the vessel during fishing operations, shall meet the stability criteria of Regulation 31(1) increased, if necessary, to the satisfaction of the Minister. | ||||||||||||||||||||||||||||||||||||||||||||||||||||||||||||||||||||
(2) For vessels engaged on single or twin boom fishing the values of dynamic stability, the righting lever and metacentric height given in of Regulation 31(1) (a), (b) and (d) shall be increased by 20 per cent. | ||||||||||||||||||||||||||||||||||||||||||||||||||||||||||||||||||||
Severe wind and rolling. | ||||||||||||||||||||||||||||||||||||||||||||||||||||||||||||||||||||
34. For vessels intended for operation in areas where exceptionally adverse weather conditions may be experienced, special attention shall be given to the capability to withstand the capsizing effects of breaking waves. | ||||||||||||||||||||||||||||||||||||||||||||||||||||||||||||||||||||
Water on deck. | ||||||||||||||||||||||||||||||||||||||||||||||||||||||||||||||||||||
35. Vessels shall be able to withstand the effect of water on deck, taking account of the seasonal weather conditions, the sea states in which the vessel will operate, the type of vessel and its mode of operation. | ||||||||||||||||||||||||||||||||||||||||||||||||||||||||||||||||||||
Operating conditions. | ||||||||||||||||||||||||||||||||||||||||||||||||||||||||||||||||||||
36. (1) The number and type of operating conditions to be considered shall be to the satisfaction of the Minister and shall include those listed in paragraph 12 of Schedule 3, as appropriate. | ||||||||||||||||||||||||||||||||||||||||||||||||||||||||||||||||||||
(2) (a) In addition to the specific operating conditions at paragraph (1) the Minister shall also be satisfied that the minimum stability criteria given in Regulation 31 are met under all other actual operating conditions including those which produce the lowest values of the stability parameters contained in these criteria. | ||||||||||||||||||||||||||||||||||||||||||||||||||||||||||||||||||||
(b) The Minister shall also be satisfied that those special conditions associated with a change in the vessel’s mode or areas of operation which affect the stability considerations of this part are taken into account. | ||||||||||||||||||||||||||||||||||||||||||||||||||||||||||||||||||||
(3) With regard to the conditions referred to in paragraph (1) the calculations shall include the following: | ||||||||||||||||||||||||||||||||||||||||||||||||||||||||||||||||||||
(a) allowance for the weight of the wet fishing nets and tackle, etc. on deck; | ||||||||||||||||||||||||||||||||||||||||||||||||||||||||||||||||||||
(b) allowance for ice accretion, if anticipated, in accordance with Regulation 37; | ||||||||||||||||||||||||||||||||||||||||||||||||||||||||||||||||||||
(c) homogeneous distribution of the catch, unless this is inconsistent with practice; | ||||||||||||||||||||||||||||||||||||||||||||||||||||||||||||||||||||
(d) catch on deck, if anticipated, in operating conditions referred to in paragraph (1); | ||||||||||||||||||||||||||||||||||||||||||||||||||||||||||||||||||||
(e) water ballast if carried either in tanks which are especially provided for this purpose or in other tanks also equipped for carrying water ballast; and | ||||||||||||||||||||||||||||||||||||||||||||||||||||||||||||||||||||
(f) allowance for the free surface effect of liquids and, if applicable, catch carried. | ||||||||||||||||||||||||||||||||||||||||||||||||||||||||||||||||||||
Ice accretion. | ||||||||||||||||||||||||||||||||||||||||||||||||||||||||||||||||||||
37. (1) For vessels operating in areas where ice accretion is likely to occur the icing allowance given in paragraph 17 of Schedule 3 shall be made in the stability calculations. | ||||||||||||||||||||||||||||||||||||||||||||||||||||||||||||||||||||
(2) The height of the centre of gravity of ice accretion shall be calculated according to the position of corresponding parts of the decks and gangways and other continuous surfaces on which ice can accumulate. | ||||||||||||||||||||||||||||||||||||||||||||||||||||||||||||||||||||
(3) Vessels intended for operation in areas where ice accretion is known to occur shall be: | ||||||||||||||||||||||||||||||||||||||||||||||||||||||||||||||||||||
(a) designed to minimise the accretion of ice, and | ||||||||||||||||||||||||||||||||||||||||||||||||||||||||||||||||||||
(b) equipped with means for removing ice. | ||||||||||||||||||||||||||||||||||||||||||||||||||||||||||||||||||||
Inclining test. | ||||||||||||||||||||||||||||||||||||||||||||||||||||||||||||||||||||
38. (1) Every vessel shall undergo an inclining test upon its completion or before the first issue of the Fishing Vessel Safety Certificate and the actual displacement and position of the centre of gravity shall be determined for the light ship condition. | ||||||||||||||||||||||||||||||||||||||||||||||||||||||||||||||||||||
(2) Where alterations are made to a vessel affecting its light ship condition and the position of the centre of gravity, the vessel shall, if the Minister considers this necessary, be re-inclined and the stability information revised. | ||||||||||||||||||||||||||||||||||||||||||||||||||||||||||||||||||||
(3) (a) Every vessel shall have a lightweight survey carried out within every period of 10 years, commencing on the date of first issue of a Fishing Vessel Safety Certificate, to verify any changes in lightship displacement and longitudinal centre of gravity subsequent to a previous inclining or lightweight survey. | ||||||||||||||||||||||||||||||||||||||||||||||||||||||||||||||||||||
(b) The ship shall be re-inclined whenever, in comparison with the ship’s approved stability information derived from the previous inclining experiment, a deviation from the lightship displacement exceeding 2% or a deviation of the longitudinal centre of gravity exceeding 1% of the ship’s length is found or anticipated. | ||||||||||||||||||||||||||||||||||||||||||||||||||||||||||||||||||||
Stability information. | ||||||||||||||||||||||||||||||||||||||||||||||||||||||||||||||||||||
39. (1) (a) All vessels shall be provided with approved stability information, to the satisfaction of the Minister, for the conditions of service for which the vessel is intended. | ||||||||||||||||||||||||||||||||||||||||||||||||||||||||||||||||||||
(b) The approved stability information shall contain the information and particulars that are detailed in Schedule 3. | ||||||||||||||||||||||||||||||||||||||||||||||||||||||||||||||||||||
(c) Such information shall include specific, easily understood instructions to the skipper warning him of those operating conditions which could adversely affect either the stability or the trim of the vessel. | ||||||||||||||||||||||||||||||||||||||||||||||||||||||||||||||||||||
(2) The stability information, referred to at paragraph (1) shall be kept on board, readily accessible at all times and inspected at the periodical surveys of the vessel to ensure that it has been approved for the actual operating conditions. | ||||||||||||||||||||||||||||||||||||||||||||||||||||||||||||||||||||
(3) Where alterations are made to a vessel affecting its stability, revised stability calculations shall be undertaken to the satisfaction of the Minister. If the Minister requires that the stability information be revised, the new information shall be supplied to the skipper and the superseded information removed. | ||||||||||||||||||||||||||||||||||||||||||||||||||||||||||||||||||||
(4) (a) Scales indicating the vessel’s draught shall be permanently marked on both sides of the stem and stern. | ||||||||||||||||||||||||||||||||||||||||||||||||||||||||||||||||||||
(b) These scales shall be measured perpendicularly from a datum line which will lie along, or be a projection of, the lower extremity of the keel or other appendage. | ||||||||||||||||||||||||||||||||||||||||||||||||||||||||||||||||||||
(c) Arabic numbers, 0.10 metres in the vertical plane, shall be marked on the scale at 0.2 metre intervals, the lower edge of each number indicating the draught in metres. | ||||||||||||||||||||||||||||||||||||||||||||||||||||||||||||||||||||
(d) Draughts corresponding to one metre intervals shall have the letter ‘M’ added immediately following the numeral. | ||||||||||||||||||||||||||||||||||||||||||||||||||||||||||||||||||||
(e) The skipper shall be provided with information defining the position of the datum line and instructions regarding the use of observed draughts. | ||||||||||||||||||||||||||||||||||||||||||||||||||||||||||||||||||||
(5) A statement shall be given by or on behalf of the owner of the vessel that the statements and diagrams supplied with respect to the operating conditions set out in Regulation 36 are based on the worst foreseeable service conditions in respect of the weights and disposition of fish carried in the hold or on deck, ice in the hold, fuel, water and other consumables. | ||||||||||||||||||||||||||||||||||||||||||||||||||||||||||||||||||||
Portable fish-hold divisions. | ||||||||||||||||||||||||||||||||||||||||||||||||||||||||||||||||||||
40. (1) The catch shall be properly secured against shifting to ensure against dangerous trim or heel of the vessel. | ||||||||||||||||||||||||||||||||||||||||||||||||||||||||||||||||||||
(2) The scantlings of portable fish-hold divisions, if fitted, shall be to the satisfaction of the Minister. | ||||||||||||||||||||||||||||||||||||||||||||||||||||||||||||||||||||
Freeboard. | ||||||||||||||||||||||||||||||||||||||||||||||||||||||||||||||||||||
41. (1) Every vessel shall be so designed, constructed and operated as to ensure that in all foreseeable operating conditions the freeboard will be adequate to provide— | ||||||||||||||||||||||||||||||||||||||||||||||||||||||||||||||||||||
(a) compliance with the stability criteria set out in this section, | ||||||||||||||||||||||||||||||||||||||||||||||||||||||||||||||||||||
(b) appropriate safety for the crew working on deck, and | ||||||||||||||||||||||||||||||||||||||||||||||||||||||||||||||||||||
(c) appropriate safety to the vessel from the entry of water into enclosed spaces having regard to the closing appliances fitted. | ||||||||||||||||||||||||||||||||||||||||||||||||||||||||||||||||||||
(2) Notwithstanding the requirements of paragraph (1), all existing fishing vessels shall have a freeboard of at least 300mm at any point along the working deck. | ||||||||||||||||||||||||||||||||||||||||||||||||||||||||||||||||||||
(3) (a) The minimum freeboard at any point along the working deck of a new fishing vessel shall be not less than: | ||||||||||||||||||||||||||||||||||||||||||||||||||||||||||||||||||||
| ||||||||||||||||||||||||||||||||||||||||||||||||||||||||||||||||||||
| ||||||||||||||||||||||||||||||||||||||||||||||||||||||||||||||||||||
(b) Where a new vessel is fitted with bulwarks of at least 1 metre high, extending at least 0.15L abaft the forward perpendicular, the minimum bow height of the working deck above the deepest operational waterline at the forward perpendicular shall be not less than: | ||||||||||||||||||||||||||||||||||||||||||||||||||||||||||||||||||||
| ||||||||||||||||||||||||||||||||||||||||||||||||||||||||||||||||||||
| ||||||||||||||||||||||||||||||||||||||||||||||||||||||||||||||||||||
(c) Where the bulwark height in a new vessel is less than 1 metre, the minimum bow height shall be increased accordingly. | ||||||||||||||||||||||||||||||||||||||||||||||||||||||||||||||||||||
(d) Hfmin may, in cases where a weathertight forecastle is fitted to a new vessel that extends at least 0.07LBP abaft the forward perpendicular, be measured to the top of the forecastle deck plating. | ||||||||||||||||||||||||||||||||||||||||||||||||||||||||||||||||||||
(e) The minimum freeboard aft in a new vessel (measured at the after perpendicular) shall not be less than: | ||||||||||||||||||||||||||||||||||||||||||||||||||||||||||||||||||||
| ||||||||||||||||||||||||||||||||||||||||||||||||||||||||||||||||||||
(f) For vessels with shelters that do not meet the minimum freeboard requirement, then such shelters shall be of weathertight construction up to the next deck level (i.e. with weathertight doors and hatches, no permanent openings or freeing ports but with suitable drainage being provided). | ||||||||||||||||||||||||||||||||||||||||||||||||||||||||||||||||||||
(g) In addition, for new vessels with particular modes of operation, in which the application of the above minimum freeboard criteria is considered to be unrealistic, then the arrangements may be specially considered provided that the minimum freeboard is not less than that required to comply with the stability criteria or 300mm, whichever is greater. | ||||||||||||||||||||||||||||||||||||||||||||||||||||||||||||||||||||
(h) In the circumstances outlined at subparagraph (g) the coaming heights of doors, hatches, ventilators and air pipes shall be raised above the Regulation minimum by an amount equivalent to the freeboard deficiency. | ||||||||||||||||||||||||||||||||||||||||||||||||||||||||||||||||||||
Maximum permissible operating draught. | ||||||||||||||||||||||||||||||||||||||||||||||||||||||||||||||||||||
42. (1) A maximum permissible operating draught shall be such that, in the associated operating condition, the stability and freeboard criteria of this Part and the requirements of Parts 2 and 6, as appropriate, are satisfied. | ||||||||||||||||||||||||||||||||||||||||||||||||||||||||||||||||||||
(2) (a) The maximum permissible operating draught shall be marked on each side of the vessel. | ||||||||||||||||||||||||||||||||||||||||||||||||||||||||||||||||||||
(b) The location of the maximum permissible operating draught shall be indicated in the approved stability information book. | ||||||||||||||||||||||||||||||||||||||||||||||||||||||||||||||||||||
PART 4 | ||||||||||||||||||||||||||||||||||||||||||||||||||||||||||||||||||||
MACHINERY AND ELECTRICAL INSTALLATIONS | ||||||||||||||||||||||||||||||||||||||||||||||||||||||||||||||||||||
Definitions. | ||||||||||||||||||||||||||||||||||||||||||||||||||||||||||||||||||||
43. In this Part— | ||||||||||||||||||||||||||||||||||||||||||||||||||||||||||||||||||||
“auxiliary means of activating the rudder” means the equipment which is provided for effecting movement of the rudder for the purpose of steering the vessel in the event of failure of the main steering gear; | ||||||||||||||||||||||||||||||||||||||||||||||||||||||||||||||||||||
“certificated person” means a person duly qualified and being the lawful holder of a Certificate of Competency, or a Certificate of Equivalent Competency, valid for service as an Engineer Officer on Irish Fishing Vessels; | ||||||||||||||||||||||||||||||||||||||||||||||||||||||||||||||||||||
“dead ship condition” means the condition under which the main propulsion plant, boilers and auxiliaries are not in operation due to the absence of power; | ||||||||||||||||||||||||||||||||||||||||||||||||||||||||||||||||||||
“fuel oil unit” means the equipment used for the preparation of fuel oil for delivery to an oil-fired boiler, or equipment used for the preparation for delivery of heated oil to an internal combustion engine and includes any oil pressure pumps, filters and heaters dealing with oil at a pressure greater than 0.18N/mm2; | ||||||||||||||||||||||||||||||||||||||||||||||||||||||||||||||||||||
“IEC 60092 —Electrical Installations in Ships” means the International Electrical Commission, International Standard IEC 60092 (formerly IEC 92), Electrical Installations in Ships, as may be amended from time to time; | ||||||||||||||||||||||||||||||||||||||||||||||||||||||||||||||||||||
“independent power pump” means a pump operated by power otherwise than from the vessel’s main engines; | ||||||||||||||||||||||||||||||||||||||||||||||||||||||||||||||||||||
“normal operational and habitable conditions” means conditions under which the vessel as a whole, its machinery services, means of main and auxiliary propulsion, steering gear and associated equipment, aids to safe navigation and to limit the risks of fire and flooding, internal and external means of communicating and signalling, means of escape and winches for rescue boats, are in proper working order and the minimum comfortable conditions of habitability are satisfactory; | ||||||||||||||||||||||||||||||||||||||||||||||||||||||||||||||||||||
“machinery control room” means a room from which the propelling machinery and boilers serving the needs of propulsion may be controlled; | ||||||||||||||||||||||||||||||||||||||||||||||||||||||||||||||||||||
“machinery space” in relation to vessels of between 15 metres and 24 metres in length, means the main engine room; | ||||||||||||||||||||||||||||||||||||||||||||||||||||||||||||||||||||
“main circulating pump” means the pump which circulates the main engine sea water coolant in motor driven vessels or the pump installed for circulating water through the main condenser in steam driven vessels; | ||||||||||||||||||||||||||||||||||||||||||||||||||||||||||||||||||||
“main steering gear” means the machinery, the steering gear power units, if any, and ancillary equipment and the means of applying torque to the rudder stock (e.g. tiller or quadrant) necessary for effecting movement of the rudder for the purpose of steering the vessel under normal service conditions; | ||||||||||||||||||||||||||||||||||||||||||||||||||||||||||||||||||||
“main switchboard” means a switchboard directly supplied by the main source of electrical power and intended to distribute electrical energy; | ||||||||||||||||||||||||||||||||||||||||||||||||||||||||||||||||||||
“maximum service speed” means the greatest speed which the vessel is designed to maintain at sea at her deepest seagoing draught; | ||||||||||||||||||||||||||||||||||||||||||||||||||||||||||||||||||||
“navigable speed” means the minimum ahead speed at which the vessel can be effectively steered; | ||||||||||||||||||||||||||||||||||||||||||||||||||||||||||||||||||||
“oil-fired boiler” means any boiler wholly or partly fired by liquid fuel not being a domestic boiler of less than 75 kilowatts; | ||||||||||||||||||||||||||||||||||||||||||||||||||||||||||||||||||||
“periodically unattended machinery spaces” means those spaces containing main propulsion and associated machinery and all sources of main electrical supply which are not at all times manned under all operating conditions, including manoeuvring; | ||||||||||||||||||||||||||||||||||||||||||||||||||||||||||||||||||||
“settling tank” means an oil storage tank in which oil fuel is heated in the course of its preparation for combustion in boilers and machinery and which has a heating surface of not less than 0.18 square metres per tonne of oil capacity; | ||||||||||||||||||||||||||||||||||||||||||||||||||||||||||||||||||||
“standard recognised by the Minister” means those standards which are in compliance with the rules of a recognised organisation; | ||||||||||||||||||||||||||||||||||||||||||||||||||||||||||||||||||||
“steering gear power unit” means— | ||||||||||||||||||||||||||||||||||||||||||||||||||||||||||||||||||||
(a) in the case of electric steering gear, the electric motor and its associated electrical equipment; | ||||||||||||||||||||||||||||||||||||||||||||||||||||||||||||||||||||
(b) in the case of electro-hydraulic steering gear, the electric motor, its associated electrical equipment and connected pump; | ||||||||||||||||||||||||||||||||||||||||||||||||||||||||||||||||||||
(c) in the case of other hydraulic steering gear, the driving engine and connected pump; | ||||||||||||||||||||||||||||||||||||||||||||||||||||||||||||||||||||
“suitable”, in relation to material, means suitable for the purpose for which it is intended; | ||||||||||||||||||||||||||||||||||||||||||||||||||||||||||||||||||||
“type approved” or “of an approved type”, in relation to marine equipment or fittings, means of a type approved by the Minister and constructed in accordance with the standards for such equipment prescribed in accordance with European Communities (Marine Equipment) Regulations 2003 ( S.I. No. 38 of 2003 ), and, for approvals not included in an act of an institution of the European Communities, in accordance with standards recognised by the International Maritime Organisation, and in relation to electrical equipment means of a type constructed in accordance with the current regulatory requirements of the International Electrical Commission (I.E.C). | ||||||||||||||||||||||||||||||||||||||||||||||||||||||||||||||||||||
General. | ||||||||||||||||||||||||||||||||||||||||||||||||||||||||||||||||||||
44. (1) (a) Machinery and electrical installations shall— | ||||||||||||||||||||||||||||||||||||||||||||||||||||||||||||||||||||
(i) be designed, constructed and installed in accordance with good engineering practice, applying, where applicable, the rules of a recognised organisation or other equivalent standards, as appropriate, | ||||||||||||||||||||||||||||||||||||||||||||||||||||||||||||||||||||
(ii) be so installed, protected and maintained so as not to constitute a danger to persons and the vessel, and | ||||||||||||||||||||||||||||||||||||||||||||||||||||||||||||||||||||
(iii) to be designed to pay special attention to moving parts and hot surfaces. | ||||||||||||||||||||||||||||||||||||||||||||||||||||||||||||||||||||
(b) Lifting gear, winches, fish handling and processing equipment shall be so installed, protected and maintained so as not to constitute a danger to persons and the vessel. | ||||||||||||||||||||||||||||||||||||||||||||||||||||||||||||||||||||
(2) Machinery spaces shall be so designed as to provide safe and free access to all machinery and its controls as well as to any other parts, which may require servicing. | ||||||||||||||||||||||||||||||||||||||||||||||||||||||||||||||||||||
(3) (a) All controls for operating the machinery and equipment, such as measuring devices, pumping systems and arrangements, valves, cocks, air pipes, inlets, sounders and switches shall be permanently marked with appropriate inscriptions clearly showing their purpose. | ||||||||||||||||||||||||||||||||||||||||||||||||||||||||||||||||||||
(b) All valves shall have indicators showing whether they are open or closed and their operating handles shall be marked so as to indicate the direction of opening and closing. | ||||||||||||||||||||||||||||||||||||||||||||||||||||||||||||||||||||
(4) (a) Means shall be provided to facilitate the cleaning and inspection of every pressure vessel. | ||||||||||||||||||||||||||||||||||||||||||||||||||||||||||||||||||||
(b) Every such pressure vessel and its mountings shall be maintained in a safe and efficient condition. | ||||||||||||||||||||||||||||||||||||||||||||||||||||||||||||||||||||
(5) (a) Main propulsion machinery and all auxiliary machinery essential to the propulsion and the safety of new vessels shall, as fitted, be capable of operating whether the vessel is upright or listed up to 15° either way under static conditions and up to 22.5° either way under dynamic conditions, (i.e. when rolling either way) and simultaneously pitching up to 7.5° by bow or stern. | ||||||||||||||||||||||||||||||||||||||||||||||||||||||||||||||||||||
(b) Deviation from these angles may be permitted, taking into consideration the type, size and service conditions of the vessel. | ||||||||||||||||||||||||||||||||||||||||||||||||||||||||||||||||||||
(c) The Minister may accept the machinery arrangement of an existing vessel provided that such arrangement continues to remain effective in service. | ||||||||||||||||||||||||||||||||||||||||||||||||||||||||||||||||||||
(6) Special consideration shall be given to the design, construction and installation of propulsion machinery systems so that any mode of their vibrations shall not cause undue stresses in such machinery systems in the normal operating ranges. | ||||||||||||||||||||||||||||||||||||||||||||||||||||||||||||||||||||
(7) (a) Exhaust pipes and other hot surfaces shall be properly insulated or otherwise protected to prevent accidents or burns. | ||||||||||||||||||||||||||||||||||||||||||||||||||||||||||||||||||||
(b) Hot surfaces which could cause ignition shall be protected from all possible contacts with combustible materials. | ||||||||||||||||||||||||||||||||||||||||||||||||||||||||||||||||||||
(8) Moving external parts of engines and mechanical and electrical equipment shall be suitably protected to prevent injury to attendant personnel. | ||||||||||||||||||||||||||||||||||||||||||||||||||||||||||||||||||||
(9) Platforms and gratings in machinery spaces, and openings to machinery space bilges shall be provided, where practicable, with adequate handrails or handholds and toe boards. | ||||||||||||||||||||||||||||||||||||||||||||||||||||||||||||||||||||
(10) Walking surfaces including machinery space ladders shall be properly fitted and secured in place and shall have a non-slip surface. | ||||||||||||||||||||||||||||||||||||||||||||||||||||||||||||||||||||
(11) Special consideration shall be given to the ventilation of machinery spaces, particularly in relation to the air supply and extraction requirements of the internal combustion engines installed. | ||||||||||||||||||||||||||||||||||||||||||||||||||||||||||||||||||||
(12) (a) Where water cooled internal combustion engines are installed provision shall be made for an emergency means of supplying cooling water. | ||||||||||||||||||||||||||||||||||||||||||||||||||||||||||||||||||||
(b) Strainers shall be capable of being cleaned without interrupting the flow of cooling water to such an engine. | ||||||||||||||||||||||||||||||||||||||||||||||||||||||||||||||||||||
(c) Where keel coolers are installed provision shall be made to isolate them by fitting valves inside the hull at the inlet and outlet connections. | ||||||||||||||||||||||||||||||||||||||||||||||||||||||||||||||||||||
(d) The Minister may accept the cooling arrangement of an existing vessel provided that such arrangement continues to remain effective in service. | ||||||||||||||||||||||||||||||||||||||||||||||||||||||||||||||||||||
(13) Information on operation and maintenance of machinery, usage of fuel and lubricating oils shall be provided in English and a language understandable by the crew. | ||||||||||||||||||||||||||||||||||||||||||||||||||||||||||||||||||||
(14) Measuring devices shall be so installed as to be readily visible. | ||||||||||||||||||||||||||||||||||||||||||||||||||||||||||||||||||||
MACHINERY INSTALLATIONS | ||||||||||||||||||||||||||||||||||||||||||||||||||||||||||||||||||||
Propulsion and auxiliary machinery. | ||||||||||||||||||||||||||||||||||||||||||||||||||||||||||||||||||||
45. (1) Main and auxiliary machinery essential for the propulsion and safety of the vessel shall be provided with an effective means of control. | ||||||||||||||||||||||||||||||||||||||||||||||||||||||||||||||||||||
(2) (a) The machinery shall be capable of being brought into operation from the dead ship condition without external aid. | ||||||||||||||||||||||||||||||||||||||||||||||||||||||||||||||||||||
(b) The Minister may accept the starting arrangement of an existing vessel provided that such arrangement continues to remain effective in service. | ||||||||||||||||||||||||||||||||||||||||||||||||||||||||||||||||||||
(3) Where risk from over-speeding of machinery exists, provisions shall be made to ensure that the safe speed is not exceeded. | ||||||||||||||||||||||||||||||||||||||||||||||||||||||||||||||||||||
(4) Where main or auxiliary machinery including pressure vessels or any parts thereof may be subject to dangerous overpressure, means shall be provided, where applicable, to protect against such excessive pressure. | ||||||||||||||||||||||||||||||||||||||||||||||||||||||||||||||||||||
(5) On new vessels and for new installations, where main or auxiliary machinery or any parts of such machinery are subject to internal pressure such parts shall, prior to installation, be subjected to a hydraulic test to a pressure suitably in excess of the working pressure having regard to: | ||||||||||||||||||||||||||||||||||||||||||||||||||||||||||||||||||||
(a) the design and the material of which they are constructed, | ||||||||||||||||||||||||||||||||||||||||||||||||||||||||||||||||||||
(b) the purpose for which they are intended to be used, and | ||||||||||||||||||||||||||||||||||||||||||||||||||||||||||||||||||||
(c) the working conditions under which they are intended to be used. | ||||||||||||||||||||||||||||||||||||||||||||||||||||||||||||||||||||
Such parts shall at any time thereafter be capable of withstanding such a test. | ||||||||||||||||||||||||||||||||||||||||||||||||||||||||||||||||||||
(6) Main and auxiliary machinery essential for safety and propulsion of the vessel shall be maintained in a safe and efficient condition. | ||||||||||||||||||||||||||||||||||||||||||||||||||||||||||||||||||||
(7) (a) Main propulsion and auxiliary machinery shall be provided with arrangements in order to protect against— | ||||||||||||||||||||||||||||||||||||||||||||||||||||||||||||||||||||
(i) low lubricating oil pressure, and | ||||||||||||||||||||||||||||||||||||||||||||||||||||||||||||||||||||
(ii) high cooling water temperature. | ||||||||||||||||||||||||||||||||||||||||||||||||||||||||||||||||||||
(b) Such protection shall consist of a suitable audio and visual alarm. | ||||||||||||||||||||||||||||||||||||||||||||||||||||||||||||||||||||
(c) Internal combustion engines with a cylinder diameter greater than 200mm or a crankcase volume of greater than 0.6m3 shall in addition be provided with— | ||||||||||||||||||||||||||||||||||||||||||||||||||||||||||||||||||||
(i) automatic shut down arrangements in the event of a loss of effective lubricating oil pressure, | ||||||||||||||||||||||||||||||||||||||||||||||||||||||||||||||||||||
(ii) automatic shut down arrangements in the event of an excessively high cooling water temperature, and | ||||||||||||||||||||||||||||||||||||||||||||||||||||||||||||||||||||
(iii) crankcase explosion relief valves of an approved type with sufficient relief area. | ||||||||||||||||||||||||||||||||||||||||||||||||||||||||||||||||||||
(d) The Minister may accept the protection arrangements of an existing vessel provided that such arrangements continue to remain effective in service. | ||||||||||||||||||||||||||||||||||||||||||||||||||||||||||||||||||||
(8) (a) Bars used on flywheels to turn machinery over by hand shall be so constructed as to facilitate easy withdrawal from the flywheel recess if the engine shall recoil. | ||||||||||||||||||||||||||||||||||||||||||||||||||||||||||||||||||||
(b) Hand cranks for engines shall be designed to be thrown out instantly when the engine starts. | ||||||||||||||||||||||||||||||||||||||||||||||||||||||||||||||||||||
(c) The Minister may accept the arrangements on an existing vessel provided that such arrangements continue to remain effective in service. | ||||||||||||||||||||||||||||||||||||||||||||||||||||||||||||||||||||
(9) (a) Where a forward power take-off is fitted to an engine for auxiliary drives, the power to be taken off shall not exceed the engine manufacturer’s limits for forward end drives. | ||||||||||||||||||||||||||||||||||||||||||||||||||||||||||||||||||||
(b) The aggregate power requirements for propulsion and auxiliary services shall not exceed the engine Maximum Continuous Rating, unless provision is made, by means of interlocks, to prevent the engine being overloaded. | ||||||||||||||||||||||||||||||||||||||||||||||||||||||||||||||||||||
(10) Where a lay shaft is driven from the power take-off shaft by either a pulley or chain, the shaft shall be fitted with a bearing on both sides of the pulley or chain sprocket. | ||||||||||||||||||||||||||||||||||||||||||||||||||||||||||||||||||||
(11) Hydraulic installations for fishing equipment shall have a means of disengaging the hydraulic pump from the driving engine. | ||||||||||||||||||||||||||||||||||||||||||||||||||||||||||||||||||||
(12) Belt drives shall be arranged with a method of tensioning in order that each belt drive can be adjusted individually. | ||||||||||||||||||||||||||||||||||||||||||||||||||||||||||||||||||||
(13) The main engine instrument panel shall, where applicable, have the following gauges— | ||||||||||||||||||||||||||||||||||||||||||||||||||||||||||||||||||||
(a) engine revolution counter, | ||||||||||||||||||||||||||||||||||||||||||||||||||||||||||||||||||||
(b) engine lubricating oil pressure gauge, | ||||||||||||||||||||||||||||||||||||||||||||||||||||||||||||||||||||
(c) gearbox oil pressure gauge, | ||||||||||||||||||||||||||||||||||||||||||||||||||||||||||||||||||||
(d) engine cooling water temperature gauge, | ||||||||||||||||||||||||||||||||||||||||||||||||||||||||||||||||||||
(e) ammeters for batteries, and | ||||||||||||||||||||||||||||||||||||||||||||||||||||||||||||||||||||
(f) exhaust temperature gauge (on engines of 750 kilowatts and above). | ||||||||||||||||||||||||||||||||||||||||||||||||||||||||||||||||||||
Propeller shafts. | ||||||||||||||||||||||||||||||||||||||||||||||||||||||||||||||||||||
46. (1) Every propeller shaft shall be so designed and constructed that it will withstand the maximum working stresses to which it may be subjected, with a factor of safety which is adequate having regard to— | ||||||||||||||||||||||||||||||||||||||||||||||||||||||||||||||||||||
(a) the material of which it is constructed, | ||||||||||||||||||||||||||||||||||||||||||||||||||||||||||||||||||||
(b) the service for which it is intended, and | ||||||||||||||||||||||||||||||||||||||||||||||||||||||||||||||||||||
(c) the type and size of prime mover or motor by which it is driven and of which it forms a part. | ||||||||||||||||||||||||||||||||||||||||||||||||||||||||||||||||||||
(2) In the case of oil filled propeller shaft bearings and tubes, a means of detecting leakage shall be provided. Such leak detection shall provide audible and visual alarm at the engine control station. | ||||||||||||||||||||||||||||||||||||||||||||||||||||||||||||||||||||
Gearboxes. | ||||||||||||||||||||||||||||||||||||||||||||||||||||||||||||||||||||
47. Where fitted, gearboxes shall be suitable for the intended purpose and installed and maintained in an efficient manner. | ||||||||||||||||||||||||||||||||||||||||||||||||||||||||||||||||||||
Remote control of propulsion machinery. | ||||||||||||||||||||||||||||||||||||||||||||||||||||||||||||||||||||
48. (1) Where remote control of propulsion machinery is provided from the wheelhouse, the following shall apply— | ||||||||||||||||||||||||||||||||||||||||||||||||||||||||||||||||||||
(a) under all operating conditions, including manoeuvring, the speed, direction of thrust and, if applicable, the pitch of the propeller shall be fully controllable from the wheelhouse; | ||||||||||||||||||||||||||||||||||||||||||||||||||||||||||||||||||||
(b) the remote control referred to in subparagraph (a) shall be performed by means of a control device with, where necessary, means of preventing overload of the propulsion machinery; | ||||||||||||||||||||||||||||||||||||||||||||||||||||||||||||||||||||
(c) the main propulsion machinery shall be provided with an emergency stopping device in the wheelhouse, independent of the wheelhouse control system referred to in subparagraph (a); | ||||||||||||||||||||||||||||||||||||||||||||||||||||||||||||||||||||
(d) remote control of the propulsion machinery shall be possible only from one station at a time; at any control station interlocked control units may be permitted. There shall be at each station an indicator showing which station is in control of the propulsion machinery. The transfer of control between the wheelhouse and machinery spaces shall be possible only in the machinery space or control room; | ||||||||||||||||||||||||||||||||||||||||||||||||||||||||||||||||||||
(e) indicators shall be fitted in the wheelhouse for— | ||||||||||||||||||||||||||||||||||||||||||||||||||||||||||||||||||||
(i) propeller speed and direction in the case of fixed propellers, | ||||||||||||||||||||||||||||||||||||||||||||||||||||||||||||||||||||
(ii) propeller speed and pitch position in the case of controllable pitch propellers, and | ||||||||||||||||||||||||||||||||||||||||||||||||||||||||||||||||||||
(iii) advance alarm before automatic shut-off; | ||||||||||||||||||||||||||||||||||||||||||||||||||||||||||||||||||||
(f) it shall be possible to control the propulsion machinery locally even in the case of failure in any part of the remote control system; | ||||||||||||||||||||||||||||||||||||||||||||||||||||||||||||||||||||
(g) the design of the remote control system shall be such that if it fails an alarm will be given and the pre-set speed and direction of thrust will be maintained until local control is in operation. For those classes of vessel for which this is considered impracticable, the Minister may accept other arrangements that are at least equivalent; | ||||||||||||||||||||||||||||||||||||||||||||||||||||||||||||||||||||
(h) special arrangements shall be provided to ensure that automatic starting shall not exhaust the starting possibilities. If applicable, an alarm shall be provided to indicate low starting air pressure and shall be set at a level, which will permit main engine starting operations. | ||||||||||||||||||||||||||||||||||||||||||||||||||||||||||||||||||||
(2) Where the main propulsion and associated machinery including sources of main electrical supply are provided with various degrees of automatic or remote control and are under continuous manned supervision from a machinery control room, the control room shall be so designed, equipped and installed that the machinery operation will be as safe and effective as if it were under direct supervision. | ||||||||||||||||||||||||||||||||||||||||||||||||||||||||||||||||||||
(3) Automatic starting, operational and control systems shall include means for manually overriding the automatic means, even in the case of failure of any part of the automatic and remote control system. | ||||||||||||||||||||||||||||||||||||||||||||||||||||||||||||||||||||
Communications between wheelhouse and machinery space. | ||||||||||||||||||||||||||||||||||||||||||||||||||||||||||||||||||||
49. Every vessel, which is not fitted with remote control of propulsion machinery in accordance with Regulation 48, shall be provided with a means of communicating orders from the wheelhouse to the machinery space. | ||||||||||||||||||||||||||||||||||||||||||||||||||||||||||||||||||||
Means of going astern. | ||||||||||||||||||||||||||||||||||||||||||||||||||||||||||||||||||||
50. (1) Vessels shall have sufficient power for going astern to secure proper control of the vessel in all normal circumstances. | ||||||||||||||||||||||||||||||||||||||||||||||||||||||||||||||||||||
(2) The ability of the machinery to reverse the direction of thrust of the propeller in sufficient time and so bring the vessel to rest within a reasonable distance from maximum ahead service speed shall be demonstrated at sea to an authorised officer. | ||||||||||||||||||||||||||||||||||||||||||||||||||||||||||||||||||||
Propeller and stern gear. | ||||||||||||||||||||||||||||||||||||||||||||||||||||||||||||||||||||
51. (1) As appropriate to the vessel, the design and installation of the propeller and stern gear (including shaft brackets, propeller securing, bearings, stern-tube and thrust block) and supporting structures shall be fit for the intended service of the vessel. | ||||||||||||||||||||||||||||||||||||||||||||||||||||||||||||||||||||
(2) Design, construction and fitting standards shall be to a standard recognised by the Minister. | ||||||||||||||||||||||||||||||||||||||||||||||||||||||||||||||||||||
Controllable pitch propellers. | ||||||||||||||||||||||||||||||||||||||||||||||||||||||||||||||||||||
52. Where any vessel is equipped with a controllable pitch propeller, the propeller and its control gear shall be adequate having regard to the intended service of the vessel. | ||||||||||||||||||||||||||||||||||||||||||||||||||||||||||||||||||||
Boilers, feed systems and steam piping arrangements. | ||||||||||||||||||||||||||||||||||||||||||||||||||||||||||||||||||||
53. (1) Every steam boiler and every unfired steam generator shall be provided with not less than 2 safety valves of adequate capacity, except that only one safety valve may be fitted if, having regard to the output or any other features of the steam boiler or unfired steam generator, adequate protection against overpressure is thereby provided. | ||||||||||||||||||||||||||||||||||||||||||||||||||||||||||||||||||||
(2) Every oil fired boiler which is intended to operate without manual supervision shall have safety arrangements which shut off the fuel supply and give an alarm in the case of low water level, air supply failure or flame failure. | ||||||||||||||||||||||||||||||||||||||||||||||||||||||||||||||||||||
(3) Steam boiler installations are to strictly conform to the rules of a recognised organisation and to the requirements of the Minister in order to ensure that feed systems, monitoring devices and safety provisions are adequate in all respects to ensure the safety of boilers, steam pressure vessels and steam piping arrangements. | ||||||||||||||||||||||||||||||||||||||||||||||||||||||||||||||||||||
Air pressure systems. | ||||||||||||||||||||||||||||||||||||||||||||||||||||||||||||||||||||
54. (1) Adequate pressure relief arrangements shall be provided to prevent overpressure in any part of any air pressure system, and shall also be provided where water jackets of casings of air compressors and coolers might be subjected to dangerous overpressure due to leakage into them from air pressure parts. | ||||||||||||||||||||||||||||||||||||||||||||||||||||||||||||||||||||
(2) The main starting air arrangements for main propulsion internal combustion engines shall be adequately protected against the effects of backfiring and internal explosion in the starting air pipes. | ||||||||||||||||||||||||||||||||||||||||||||||||||||||||||||||||||||
(3) All discharge pipes from starting air compressors shall lead directly to the starting air receivers and all starting pipes from the air receivers to main or auxiliary engines shall be entirely separate from the compressor discharge pipe system. | ||||||||||||||||||||||||||||||||||||||||||||||||||||||||||||||||||||
(4) (a) Provision should be made to reduce to a minimum the entry of oil into the air pressure systems and to drain these systems. | ||||||||||||||||||||||||||||||||||||||||||||||||||||||||||||||||||||
(b) Means to drain oil and water shall always be fitted to the lowest part of air receivers. | ||||||||||||||||||||||||||||||||||||||||||||||||||||||||||||||||||||
Oil fuel, lubricating oil and other flammable oils — general. | ||||||||||||||||||||||||||||||||||||||||||||||||||||||||||||||||||||
55. (1) Flammable liquids with a flash point of less than 43°C shall not be permitted on board any vessel. | ||||||||||||||||||||||||||||||||||||||||||||||||||||||||||||||||||||
(2) Notwithstanding the requirements of paragraph (1), vessels equipped with an approved rescue boat powered by a petrol outboard engine may carry an appropriate quantity of petrol in an approved container, which shall be securely stowed in the rescue boat. | ||||||||||||||||||||||||||||||||||||||||||||||||||||||||||||||||||||
(3) (a) Pipes used to convey oil shall be made of seamless steel or other suitable material and shall be properly installed. | ||||||||||||||||||||||||||||||||||||||||||||||||||||||||||||||||||||
(b) Plastic piping shall not be used for the fuel supply to machinery or to fuel tanks or for any purpose in the machinery space where its destruction by fire would present a safety hazard. | ||||||||||||||||||||||||||||||||||||||||||||||||||||||||||||||||||||
(c) All oil pipes shall be adequately secured and protected. | ||||||||||||||||||||||||||||||||||||||||||||||||||||||||||||||||||||
(4) (a) On new vessels and for new tank installations, oil tanks shall be constructed of steel or other suitable material and shall be located remote from heated surfaces and shall not be situated above stairways and ladders, boilers, hot surfaces and electrical equipment. | ||||||||||||||||||||||||||||||||||||||||||||||||||||||||||||||||||||
(b) Tanks and piping shall be arranged so as to eliminate leakage in the event of overflow and to minimise in the event of leakage or rupture the possibility that oil will come into contact with hot surfaces or electrical components which may cause ignition of the oil. | ||||||||||||||||||||||||||||||||||||||||||||||||||||||||||||||||||||
(c) The Minister may accept the oil tank arrangements of an existing vessel provided that such arrangements continue to remain effective in service. | ||||||||||||||||||||||||||||||||||||||||||||||||||||||||||||||||||||
(5) (a) Oil tanks, their filling systems, valves and associated piping shall be carefully installed and be maintained so as to prevent the leakage of oil or fumes within the hull. | ||||||||||||||||||||||||||||||||||||||||||||||||||||||||||||||||||||
(b) Drip pans shall be fitted, where necessary, to prevent oils leaking into the bilge. | ||||||||||||||||||||||||||||||||||||||||||||||||||||||||||||||||||||
(6) Oil tank sounding pipe openings shall not be located in crew accommodation. | ||||||||||||||||||||||||||||||||||||||||||||||||||||||||||||||||||||
(7) (a) Wherever oil might escape and come into contact with hot surfaces, suitable guards or screens shall be installed. | ||||||||||||||||||||||||||||||||||||||||||||||||||||||||||||||||||||
(b) The number of joints in piping systems shall be kept to a minimum. | ||||||||||||||||||||||||||||||||||||||||||||||||||||||||||||||||||||
(8) The necessary emergency controls for stopping oil pressure pumps and fans supplying air to machinery spaces and for remote closing of valves on oil tanks, shall be provided outside machinery spaces, preferably on deck. Such controls shall be at positions not likely to be cut off in the event of a fire in the machinery spaces. | ||||||||||||||||||||||||||||||||||||||||||||||||||||||||||||||||||||
(9) Flexible pipes where necessarily fitted in such systems, shall be fit for their intended purpose, be of a minimum practical length and be of an approved fire resistant type. | ||||||||||||||||||||||||||||||||||||||||||||||||||||||||||||||||||||
(10) Fuel oil, lubricating oil and other flammable oils shall not be carried in forepeak tanks. | ||||||||||||||||||||||||||||||||||||||||||||||||||||||||||||||||||||
Arrangements for oil fuel installations. | ||||||||||||||||||||||||||||||||||||||||||||||||||||||||||||||||||||
56. (1) (a) Oil fuel used in boilers or machinery shall have a flash point of not less than 60°C (Closed Cup Test). | ||||||||||||||||||||||||||||||||||||||||||||||||||||||||||||||||||||
(b) Where the emergency source of electrical power is a generator driven by internal combustion type machinery having an independent fuel supply and with efficient starting arrangements, the oil fuel provided for this machinery shall have a flash point of not less than 43°C. | ||||||||||||||||||||||||||||||||||||||||||||||||||||||||||||||||||||
(2) Where fuel of a flashpoint of less than 60°C (Closed Cup Test) is used, it shall be stored in a suitable space, the temperature of which shall not rise to within 10°C of the flashpoint of the fuel. | ||||||||||||||||||||||||||||||||||||||||||||||||||||||||||||||||||||
(3) (a) On new vessels and for new tank installations, as far as practicable, oil fuel tanks shall be part of the vessels structure and shall be located outside of machinery spaces. | ||||||||||||||||||||||||||||||||||||||||||||||||||||||||||||||||||||
(b) Where oil fuel tanks are necessarily located adjacent to or within machinery spaces— | ||||||||||||||||||||||||||||||||||||||||||||||||||||||||||||||||||||
(i) at least one of their vertical sides should be contiguous to the machinery space boundaries, | ||||||||||||||||||||||||||||||||||||||||||||||||||||||||||||||||||||
(ii) shall, where practicable, have a common boundary with the double bottom tanks where fitted, and | ||||||||||||||||||||||||||||||||||||||||||||||||||||||||||||||||||||
(iii) the area of the tank boundary common to the machinery space shall be kept to a minimum. | ||||||||||||||||||||||||||||||||||||||||||||||||||||||||||||||||||||
(c) When such tanks are sited within the boundaries of a machinery space they shall contain oil fuel having a flash point of not less than 60°C. | ||||||||||||||||||||||||||||||||||||||||||||||||||||||||||||||||||||
(d) Oil fuel tanks, which are not built into the vessel’s structure, shall be properly constructed and be provided with save-all or gutters. | ||||||||||||||||||||||||||||||||||||||||||||||||||||||||||||||||||||
(e) The Minister may accept the oil fuel tank arrangements of an existing vessel provided that such arrangements continue to remain effective in service. | ||||||||||||||||||||||||||||||||||||||||||||||||||||||||||||||||||||
(4) Prior to installation, oil fuel tanks shall be subjected to a hydraulic pressure test equivalent to a head of water 300mm in excess of the greatest head to which the tank may be subject when in service. | ||||||||||||||||||||||||||||||||||||||||||||||||||||||||||||||||||||
(5) (a) Safe and efficient means of ascertaining the amount of oil fuel contained in any oil tank shall be provided. | ||||||||||||||||||||||||||||||||||||||||||||||||||||||||||||||||||||
(b) If sounding pipes are installed, their upper ends shall terminate in safe positions and shall be fitted with suitable means of closure. | ||||||||||||||||||||||||||||||||||||||||||||||||||||||||||||||||||||
(c) Gauges made of glass of substantial thickness and protected with a metal case may be used, provided that automatic closing valves are fitted. | ||||||||||||||||||||||||||||||||||||||||||||||||||||||||||||||||||||
(d) Other means of ascertaining the amount of oil fuel contained in any oil fuel tank may be permitted providing their failure or overfilling of the tanks will not permit release of fuel. | ||||||||||||||||||||||||||||||||||||||||||||||||||||||||||||||||||||
(6) (a) Oil fuel tanks shall be provided with vents and filling pipes made of steel or other suitable material and which shall terminate in a safe, open-air position, remote from any ventilation intake. | ||||||||||||||||||||||||||||||||||||||||||||||||||||||||||||||||||||
(b) The net cross sectional area of vents shall be 1.25 times that of the filling pipes. | ||||||||||||||||||||||||||||||||||||||||||||||||||||||||||||||||||||
(c) Vent openings shall be fitted with suitable wire gauze screens or equivalent protective devices. | ||||||||||||||||||||||||||||||||||||||||||||||||||||||||||||||||||||
(7) Oil fuel pipes which, if damaged, would allow oil to escape from a storage, settling, or daily service tank, situated above the double bottom tank, shall be fitted with a valve or cock which shall be— | ||||||||||||||||||||||||||||||||||||||||||||||||||||||||||||||||||||
(a) secured to the tank, and | ||||||||||||||||||||||||||||||||||||||||||||||||||||||||||||||||||||
(b) capable of being closed from a readily accessible position outside the space in which the tank is situated, provided that an inlet pipe may be fitted with a non-return valve secured to the tank. | ||||||||||||||||||||||||||||||||||||||||||||||||||||||||||||||||||||
(8) Where practicable, oil fuel piping shall not be led through accommodation spaces. | ||||||||||||||||||||||||||||||||||||||||||||||||||||||||||||||||||||
(9) Fuel pipes of internal combustion engines shall be of steel or other equivalent material and preferably of a jacketed design. | ||||||||||||||||||||||||||||||||||||||||||||||||||||||||||||||||||||
(10) Oil fuel pipes, joints and fittings shall, before being put into service for the first time, be subjected to a test by hydraulic pressure to twice their maximum working pressure, and at any time thereafter shall be capable of withstanding such a test. | ||||||||||||||||||||||||||||||||||||||||||||||||||||||||||||||||||||
(11) Pumps forming part of the oil fuel system shall be separate from the feed pumps, bilge pumps and ballast pumps and the connection of any such pumps, and shall be provided with an efficient relief valve, which shall be in closed circuit. | ||||||||||||||||||||||||||||||||||||||||||||||||||||||||||||||||||||
(12) Fuel supply lines to main propulsion and essential auxiliary machinery should be provided with duplicate filters, so constructed that either filter may be dismantled for cleaning without disrupting the fuel supply through the filter in use. | ||||||||||||||||||||||||||||||||||||||||||||||||||||||||||||||||||||
(13) (a) Self-closing type drains shall be provided for the removal of water from oil fuel in storage tanks or settling tanks. | ||||||||||||||||||||||||||||||||||||||||||||||||||||||||||||||||||||
(b) Water separators shall be fitted in the fuel supply lines to main and auxiliary machinery and shall be made of steel or equivalent. | ||||||||||||||||||||||||||||||||||||||||||||||||||||||||||||||||||||
Arrangements for lubricating oil, hydraulic oil and other flammable oils. | ||||||||||||||||||||||||||||||||||||||||||||||||||||||||||||||||||||
57. (1) Oil storage tanks shall be provided with vents and filling pipes made of steel or other suitable material and which shall terminate in a safe position. | ||||||||||||||||||||||||||||||||||||||||||||||||||||||||||||||||||||
(2) Oil storage tanks with a capacity of 100 litres or more shall comply with Regulation 56(7). | ||||||||||||||||||||||||||||||||||||||||||||||||||||||||||||||||||||
(3) Where tubular gauge glasses are fitted to any such oil tanks they shall be of substantial construction, adequately protected and fitted with self-closing arrangements on the tank. | ||||||||||||||||||||||||||||||||||||||||||||||||||||||||||||||||||||
(4) Adequate means shall be provided for indicating failure of the lubricating oil system. | ||||||||||||||||||||||||||||||||||||||||||||||||||||||||||||||||||||
(5) Hydraulic power packs and oil reservoirs which are located within the machinery space shall be designed and installed so that— | ||||||||||||||||||||||||||||||||||||||||||||||||||||||||||||||||||||
(a) in the event of a fire in such a space, the pumps can be remotely stopped from a position outside the machinery space; | ||||||||||||||||||||||||||||||||||||||||||||||||||||||||||||||||||||
(b) in the event of failure of any pipe, hose or connection, hydraulic oil will not come into contact with any ignition source; and | ||||||||||||||||||||||||||||||||||||||||||||||||||||||||||||||||||||
(c) where hydraulic oil reservoirs can contain in excess of 250 litres of oil, the pumps are automatically stopped in the event of leakage from a burst pipe. | ||||||||||||||||||||||||||||||||||||||||||||||||||||||||||||||||||||
(6) (a) Main engine lubricating oil filters, capable of being readily dismantled for cleaning or replacement, should be provided. | ||||||||||||||||||||||||||||||||||||||||||||||||||||||||||||||||||||
(b) Sufficient spare filter elements should be carried on board. | ||||||||||||||||||||||||||||||||||||||||||||||||||||||||||||||||||||
Bilge systems. | ||||||||||||||||||||||||||||||||||||||||||||||||||||||||||||||||||||
58. (1) (a) Every vessel shall be provided with efficient means for removal of water entering any compartment (other than a tank permanently used for carriage of liquids that is provided with other efficient means of pumping or drainage), when the vessel is upright or is listed not more than 5 degrees either way provided that— | ||||||||||||||||||||||||||||||||||||||||||||||||||||||||||||||||||||
(i) if the vessel is divided into watertight compartments, the bilge suctions and means of drainage shall be so arranged that any water entering any main watertight compartment can be pumped out through at least one bilge suction situated in such a compartment; and | ||||||||||||||||||||||||||||||||||||||||||||||||||||||||||||||||||||
(ii) if the vessel is not divided into watertight compartments, the means of drainage shall be so arranged that any water entering the vessel can drain to at least one bilge suction. | ||||||||||||||||||||||||||||||||||||||||||||||||||||||||||||||||||||
(b) (i) Valves and controls necessary for the operation of the bilge system shall be located in easily accessible positions; | ||||||||||||||||||||||||||||||||||||||||||||||||||||||||||||||||||||
(ii) suctions shall be provided in the engine room and in the fish hold to the lowest drainage level of the compartment, and | ||||||||||||||||||||||||||||||||||||||||||||||||||||||||||||||||||||
(iii) bilge suctions shall be fitted with suitable strainers. | ||||||||||||||||||||||||||||||||||||||||||||||||||||||||||||||||||||
(2) (a) Bilge pumping systems shall be arranged so as to prevent water passing from the sea or from water ballast spaces into holds or into machinery spaces or from one watertight compartment to another. | ||||||||||||||||||||||||||||||||||||||||||||||||||||||||||||||||||||
(b) The bilge connection to any pump which draws from the sea or from water ballast spaces shall be fitted with either a non-return valve or a cock which cannot be opened simultaneously either to the bilges and to the sea or to the bilges and water ballast spaces. | ||||||||||||||||||||||||||||||||||||||||||||||||||||||||||||||||||||
(c) Valves in bilge distribution boxes shall be of the screw down non-return type. | ||||||||||||||||||||||||||||||||||||||||||||||||||||||||||||||||||||
(3) The Minister may accept the bilge pumping system of an existing vessel provided that such system provides an equivalent level of safety and continues to remain effective in service. | ||||||||||||||||||||||||||||||||||||||||||||||||||||||||||||||||||||
(4) The bilge pumping system is to consist of pumps connected to a bilge main pipe. The inside diameter of the bilge main (Dm) is to be calculated as follows— | ||||||||||||||||||||||||||||||||||||||||||||||||||||||||||||||||||||
| ||||||||||||||||||||||||||||||||||||||||||||||||||||||||||||||||||||
| ||||||||||||||||||||||||||||||||||||||||||||||||||||||||||||||||||||
where— | ||||||||||||||||||||||||||||||||||||||||||||||||||||||||||||||||||||
Dm = bilge main, minimum inside diameter (mm) | ||||||||||||||||||||||||||||||||||||||||||||||||||||||||||||||||||||
L = length of vessel (m) | ||||||||||||||||||||||||||||||||||||||||||||||||||||||||||||||||||||
B = breadth of vessel (m) | ||||||||||||||||||||||||||||||||||||||||||||||||||||||||||||||||||||
D = depth of vessel (m) | ||||||||||||||||||||||||||||||||||||||||||||||||||||||||||||||||||||
Branch suction pipes shall have a minimum internal pipe diameter (Db) as determined below— | ||||||||||||||||||||||||||||||||||||||||||||||||||||||||||||||||||||
| ||||||||||||||||||||||||||||||||||||||||||||||||||||||||||||||||||||
| ||||||||||||||||||||||||||||||||||||||||||||||||||||||||||||||||||||
where— | ||||||||||||||||||||||||||||||||||||||||||||||||||||||||||||||||||||
Db = bilge branch suction, minimum inside diameter (mm) | ||||||||||||||||||||||||||||||||||||||||||||||||||||||||||||||||||||
C = length of compartment served by the suction pipe (m) | ||||||||||||||||||||||||||||||||||||||||||||||||||||||||||||||||||||
B = breadth of vessel (m) | ||||||||||||||||||||||||||||||||||||||||||||||||||||||||||||||||||||
D = depth of vessel (m) | ||||||||||||||||||||||||||||||||||||||||||||||||||||||||||||||||||||
All bilge pipes shall be constructed of steel or other approved material. | ||||||||||||||||||||||||||||||||||||||||||||||||||||||||||||||||||||
(5) Where 2 power operated bilge pumps are required, each pump must be powered by a separate prime mover. | ||||||||||||||||||||||||||||||||||||||||||||||||||||||||||||||||||||
(6) Each required power operated bilge pump is to have a minimum capacity (Q), calculated as follows: | ||||||||||||||||||||||||||||||||||||||||||||||||||||||||||||||||||||
Q = (0.00565) Dm2 m3/hour | ||||||||||||||||||||||||||||||||||||||||||||||||||||||||||||||||||||
(7) The Minister may accept general service pumps of an appropriate type and of a capacity equal to or greater than (Q), as bilge pumps. | ||||||||||||||||||||||||||||||||||||||||||||||||||||||||||||||||||||
(8) (a) Any required hand bilge pump is to be of the double acting diaphragm type with a minimum capacity of 135 litres/minute. | ||||||||||||||||||||||||||||||||||||||||||||||||||||||||||||||||||||
(b) The hand pump is to be operable from an easily accessible position above the load waterline. | ||||||||||||||||||||||||||||||||||||||||||||||||||||||||||||||||||||
(9) All vessels shall be provided with at least 2 bilge pumps of the self priming type and which are arranged so that each pump can take suction from all required bilge suctions. | ||||||||||||||||||||||||||||||||||||||||||||||||||||||||||||||||||||
(10) For— | ||||||||||||||||||||||||||||||||||||||||||||||||||||||||||||||||||||
(a) vessels of 20 metres in length and over, 2 power pumps are required, at least one of which shall be an independent power pump, | ||||||||||||||||||||||||||||||||||||||||||||||||||||||||||||||||||||
(b) vessels of 15 metres in length and over but less than 20 metres in length, 2 power pumps are required. The second required power pump may be replaced by a hydraulic ejector having the capacity required by subparagraph (6) and connected to a suitable high-pressure water pump other than a bilge pump, and | ||||||||||||||||||||||||||||||||||||||||||||||||||||||||||||||||||||
(c) existing vessels of 15 metres in length and over but less than 20 metres in length, the second required pump, where already fitted, may be a hand operated pump provided it continues to remain effective in service. | ||||||||||||||||||||||||||||||||||||||||||||||||||||||||||||||||||||
(11) Adequate drainage or pumping arrangements are to be provided for enclosed fish processing areas where water may accumulate. | ||||||||||||||||||||||||||||||||||||||||||||||||||||||||||||||||||||
Bilge alarms. | ||||||||||||||||||||||||||||||||||||||||||||||||||||||||||||||||||||
59. (1) All vessels shall be fitted with bilge alarm sensors in the machinery space and in the fish hold. The alarms shall provide an audible and visual warning in the wheelhouse. The arrangement of the alarm sensors shall provide for regular testing. | ||||||||||||||||||||||||||||||||||||||||||||||||||||||||||||||||||||
(2) In vessels where the machinery space is not continuously manned by a certificated person, an additional bilge alarm sensor shall be fitted in the machinery space at a higher level relative to the sensor provided in paragraph (1). The additional sensor shall give an audible and visual indication in the wheelhouse, but shall only be able to be cancelled or acknowledged at a position inside the machinery space. | ||||||||||||||||||||||||||||||||||||||||||||||||||||||||||||||||||||
Exhaust systems. | ||||||||||||||||||||||||||||||||||||||||||||||||||||||||||||||||||||
60. (1) Exhaust pipes from engines and from heating and cooking appliances shall be permanently mounted. | ||||||||||||||||||||||||||||||||||||||||||||||||||||||||||||||||||||
(2) All joints shall be gastight, the pipes well secured and supported by hangers or brackets and fitted where necessary with a section of flexible pipe or bellows. | ||||||||||||||||||||||||||||||||||||||||||||||||||||||||||||||||||||
(3) (a) Exhaust pipes and silencers of every internal combustion engine shall be adequately cooled or lagged to protect persons on board the vessel. | ||||||||||||||||||||||||||||||||||||||||||||||||||||||||||||||||||||
(b) Where exhaust pipes pass through a wooden deck or other structures of wood or other combustible material, suitable protection shall be provided to the structure to avoid the risk of fire. | ||||||||||||||||||||||||||||||||||||||||||||||||||||||||||||||||||||
Steering gear. | ||||||||||||||||||||||||||||||||||||||||||||||||||||||||||||||||||||
61. (1) (a) All vessels shall be provided with efficient main steering gear and auxiliary means of steering. | ||||||||||||||||||||||||||||||||||||||||||||||||||||||||||||||||||||
(b) The Minister may accept the steering arrangements of an existing vessel provided that such arrangements continue to remain effective in service. | ||||||||||||||||||||||||||||||||||||||||||||||||||||||||||||||||||||
(2) (a) The main steering gear and the rudder and associated fittings shall be of adequate strength and capable of steering the vessel at maximum ahead service speed and shall be so designed and constructed that they are not damaged at maximum astern speed or by manoeuvring during fishing operations. | ||||||||||||||||||||||||||||||||||||||||||||||||||||||||||||||||||||
(b) The main steering gear shall, with the vessel at its maximum permissible operating draught be capable of turning the rudder from 35° on one side to 30° on the other in 30 seconds when the vessel is at navigable speed and from 20° on one side to 20° on the other in 30 seconds when the vessel is at maximum service speed, with the rudder totally submerged. | ||||||||||||||||||||||||||||||||||||||||||||||||||||||||||||||||||||
(3) The auxiliary means of steering shall be capable of being brought rapidly into action and shall enable the vessel to be steered at a navigable speed. | ||||||||||||||||||||||||||||||||||||||||||||||||||||||||||||||||||||
(4) Where a steering device other than a rudder is fitted, its construction and operation shall be adequate and suitable for its intended purpose and shall comply with the provisions of Regulation 50. | ||||||||||||||||||||||||||||||||||||||||||||||||||||||||||||||||||||
(5) (a) Where the steering device is remotely operated, a rudder angle indicator shall be provided at the steering position. | ||||||||||||||||||||||||||||||||||||||||||||||||||||||||||||||||||||
(b) The rudder angle indicator for power-operated steering gear shall be independent of the steering gear control system. | ||||||||||||||||||||||||||||||||||||||||||||||||||||||||||||||||||||
(6) The auxiliary means of activating the rudder and the main steering gear shall be arranged so that a failure in one will not render the other inoperative. | ||||||||||||||||||||||||||||||||||||||||||||||||||||||||||||||||||||
(7) The auxiliary means of activating the rudder shall consist of one of the following— | ||||||||||||||||||||||||||||||||||||||||||||||||||||||||||||||||||||
(a) An electrical or electro-hydraulic steering gear with a source of power independent from that supplying the main steering gear, | ||||||||||||||||||||||||||||||||||||||||||||||||||||||||||||||||||||
(b) A hand pump powered hydraulic system with direct connection via a hydraulic ram to the tiller arm (this may be a helm-mounted pump within the steering system), or | ||||||||||||||||||||||||||||||||||||||||||||||||||||||||||||||||||||
(c) A portable tiller arm that can be mounted on the top of the rudder stock and which can be controlled where necessary by means such as a block and tackle system. | ||||||||||||||||||||||||||||||||||||||||||||||||||||||||||||||||||||
Refrigeration systems for the preservation of the catch. | ||||||||||||||||||||||||||||||||||||||||||||||||||||||||||||||||||||
62. (1) (a) Refrigeration plants and cold store-rooms, where provided, shall be of a design and construction suitable for the service for which they are intended and be so installed and protected as to reduce to a minimum any danger to the crew. | ||||||||||||||||||||||||||||||||||||||||||||||||||||||||||||||||||||
(b) Refrigeration systems shall be so designed, constructed, tested and installed as to take account of the safety of the system and also the emission of chlorofluorocarbons (CFCs) or any other ozone depleting substances from the refrigerant held in quantities or concentrations which are hazardous to human health or to the environment, and shall be in accordance with the rules of a recognised organisation or other such body acceptable to the Minister. | ||||||||||||||||||||||||||||||||||||||||||||||||||||||||||||||||||||
(c) Refrigerants to be used in refrigeration systems shall be to the satisfaction of the Minister. However, methylchloride or CFCs whose ozone depleting potential is higher than 5 per cent of CFC-11 shall not be used as refrigerants. | ||||||||||||||||||||||||||||||||||||||||||||||||||||||||||||||||||||
(d) If ammonia is to be used as the refrigerant gas, the refrigerating plant shall be in accordance with the requirements of Schedule 4. | ||||||||||||||||||||||||||||||||||||||||||||||||||||||||||||||||||||
(e) To prevent persons being trapped, cold store-rooms and spaces where evaporators are fitted shall be provided with— | ||||||||||||||||||||||||||||||||||||||||||||||||||||||||||||||||||||
(i) at least one door or hatch which is operable from inside the space and means for indicating the location of this exit, in the event of lights in the room being switched off or failing, and | ||||||||||||||||||||||||||||||||||||||||||||||||||||||||||||||||||||
(ii) a “locked in alarm”, which is to be operable from within the space and which gives a signal to a permanently manned control station. | ||||||||||||||||||||||||||||||||||||||||||||||||||||||||||||||||||||
(2) Refrigerating installations shall be adequately protected against vibration, shock, expansion, shrinkage, etc. and shall be provided with an automatic safety control device to prevent a dangerous rise in temperature and pressure. | ||||||||||||||||||||||||||||||||||||||||||||||||||||||||||||||||||||
(3) Refrigeration systems in which toxic or flammable refrigerants are used shall be provided with drainage devices leading to a place where the refrigerant presents no danger to the vessels or to persons on board. | ||||||||||||||||||||||||||||||||||||||||||||||||||||||||||||||||||||
(4) (a) Any space containing refrigerating machinery including condensers and gas tanks utilizing toxic refrigerants shall be separated from any adjacent space by gastight bulkheads and exits from such spaces shall not lead directly into any accommodation spaces. | ||||||||||||||||||||||||||||||||||||||||||||||||||||||||||||||||||||
(b) Any space containing the refrigerating machinery including condensers and gas tanks shall be fitted with a leak detection system having an indicator outside the space adjacent to the entrance and shall be provided with an independent ventilation system and a water spray system. | ||||||||||||||||||||||||||||||||||||||||||||||||||||||||||||||||||||
(5) When such containment is not practicable, due to the size of the vessel, the refrigeration system may be installed in the machinery space provided that— | ||||||||||||||||||||||||||||||||||||||||||||||||||||||||||||||||||||
(a) the quantity of refrigerant used will not cause danger to persons in the machinery space, should all the gas escape, and | ||||||||||||||||||||||||||||||||||||||||||||||||||||||||||||||||||||
(b) an alarm is fitted to give warning of a dangerous concentration of gas should any leakage occur in the compartment. | ||||||||||||||||||||||||||||||||||||||||||||||||||||||||||||||||||||
(6) (a) Where any refrigerant harmful to persons is used in a refrigeration system, at least 2 sets of breathing apparatus shall be provided, one of which shall be placed in a position not likely to become inaccessible in the event of leakage of refrigerant. | ||||||||||||||||||||||||||||||||||||||||||||||||||||||||||||||||||||
(b) Breathing apparatus provided as part of the vessel’s fire-fighting equipment may be considered as meeting all or part of this provision provided its location meets both purposes. | ||||||||||||||||||||||||||||||||||||||||||||||||||||||||||||||||||||
(c) Where self-contained breathing apparatus is used, a spare cylinder shall be provided for each apparatus. | ||||||||||||||||||||||||||||||||||||||||||||||||||||||||||||||||||||
(7) At least one crew member, but preferably 2, shall be trained in the use of breathing apparatus. | ||||||||||||||||||||||||||||||||||||||||||||||||||||||||||||||||||||
(8) Adequate guidance for the safe operation and emergency procedures for the refrigeration system shall be provided by suitable notices displayed on board the vessel. | ||||||||||||||||||||||||||||||||||||||||||||||||||||||||||||||||||||
Spare gear. | ||||||||||||||||||||||||||||||||||||||||||||||||||||||||||||||||||||
63. (1) Adequate spare gear shall be provided for main and auxiliary machinery and electrical equipment and installations of the vessel, having regard to the intended service of the vessel. Spares should include fuel filters, oil filters, temporary means of repairing pipework, main engine cooling water pump spares, bilge pump spares, tool-kit, fuses and light bulbs. | ||||||||||||||||||||||||||||||||||||||||||||||||||||||||||||||||||||
(2) Spare gear shall be securely stowed in an easily accessible space. | ||||||||||||||||||||||||||||||||||||||||||||||||||||||||||||||||||||
ELECTRICAL INSTALLATIONS | ||||||||||||||||||||||||||||||||||||||||||||||||||||||||||||||||||||
General. | ||||||||||||||||||||||||||||||||||||||||||||||||||||||||||||||||||||
64. (1) The design and construction of electrical installations shall be such as to provide: | ||||||||||||||||||||||||||||||||||||||||||||||||||||||||||||||||||||
(a) the services necessary to maintain the vessel in normal operational and habitable conditions without having recourse to an emergency source of power, | ||||||||||||||||||||||||||||||||||||||||||||||||||||||||||||||||||||
(b) the services essential to safety when failure of the main source of electrical power occurs, and | ||||||||||||||||||||||||||||||||||||||||||||||||||||||||||||||||||||
(c) protection of the crew and vessel from electrical hazards. | ||||||||||||||||||||||||||||||||||||||||||||||||||||||||||||||||||||
(2) The Minister may accept the electrical installation of an existing vessel provided that such installation provides an equivalent level of safety and continues to remain effective in service. | ||||||||||||||||||||||||||||||||||||||||||||||||||||||||||||||||||||
Main source of electrical power. | ||||||||||||||||||||||||||||||||||||||||||||||||||||||||||||||||||||
65. (1) Where electrical power constitutes the only means of maintaining auxiliary services essential for the propulsion and the safety of the vessel, a main source of electrical power shall be provided which shall consist of at least 2 generating sets, one of which may be driven by the main engine. The capacity of these generating sets shall be sufficient so as to ensure the functioning of the services essential for propulsion and safety of the vessel in the event of one main generating set being stopped. The Minister may accept other arrangements having equivalent electrical capability. | ||||||||||||||||||||||||||||||||||||||||||||||||||||||||||||||||||||
(2) The required output of any generator or alternator driven by a variable speed engine should be based on the lowest operational speed of the engine. Throughout the entire operating engine speed range, the generator or alternator should operate within its safe speed range. | ||||||||||||||||||||||||||||||||||||||||||||||||||||||||||||||||||||
Emergency source of electrical power. | ||||||||||||||||||||||||||||||||||||||||||||||||||||||||||||||||||||
66. (1) A self-contained emergency source of electrical power, located outside the machinery space and above the main deck, shall be provided. It shall be so arranged as to ensure its functioning in the event of fire in the machinery space, or other causes of failure of the main source of electrical power. | ||||||||||||||||||||||||||||||||||||||||||||||||||||||||||||||||||||
(2) The emergency switchboard should be installed as near as is practicable to the emergency source of power and should be located in accordance with paragraph (1). Where the emergency source of power is a generator, the emergency switchboard should be located in the same place unless the operation of the emergency switchboard would thereby be impaired. | ||||||||||||||||||||||||||||||||||||||||||||||||||||||||||||||||||||
(3) Where the emergency source of electrical power is a generator, it is to be provided with an independent fuel supply and with efficient starting arrangements. Unless a second independent means of starting the emergency generator is provided, the single source of stored energy is to be protected to preclude its complete depletion by any automatic starting system. | ||||||||||||||||||||||||||||||||||||||||||||||||||||||||||||||||||||
(4) Where the emergency source of electrical power is an accumulator battery, it shall be capable of carrying the emergency load without recharging whilst maintaining the voltage of the battery throughout the discharge period within plus or minus 12 per cent of its nominal voltage. In the event of failure of the main source of electrical power, this accumulator battery shall be automatically connected to the emergency switchboard and is to immediately supply at least those services specified in paragraph (6). The emergency switchboard shall be provided with an auxiliary switch allowing the battery to be connected manually, in case of failure of the automatic connection system. | ||||||||||||||||||||||||||||||||||||||||||||||||||||||||||||||||||||
(5) The emergency generator and its prime mover and any emergency accumulator battery is to be so arranged as to ensure that they will function at full rated power when the vessel is upright and when rolling up to an angle of 22.5° either way and simultaneously pitching 10° by bow or stern, or in any combination of angles within those limits. | ||||||||||||||||||||||||||||||||||||||||||||||||||||||||||||||||||||
(6) The emergency source of electrical power shall be capable of operating the following services simultaneously, for a period of at least 3 hours— | ||||||||||||||||||||||||||||||||||||||||||||||||||||||||||||||||||||
(a) the vessel’s emergency lights— | ||||||||||||||||||||||||||||||||||||||||||||||||||||||||||||||||||||
(i) in stairways and exits from all spaces where the crew would normally be expected to be located, | ||||||||||||||||||||||||||||||||||||||||||||||||||||||||||||||||||||
(ii) in the machinery space and spaces containing the emergency source of power, | ||||||||||||||||||||||||||||||||||||||||||||||||||||||||||||||||||||
(iii) in the wheelhouse, and | ||||||||||||||||||||||||||||||||||||||||||||||||||||||||||||||||||||
(iv) at the survival craft stowage and embarkation positions and over the side of the vessel at such positions; | ||||||||||||||||||||||||||||||||||||||||||||||||||||||||||||||||||||
(b) the internal communication equipment, fire detection and emergency alarm systems; | ||||||||||||||||||||||||||||||||||||||||||||||||||||||||||||||||||||
(c) the navigation lights; | ||||||||||||||||||||||||||||||||||||||||||||||||||||||||||||||||||||
(d) the signals equipment and daylight signalling lamp; | ||||||||||||||||||||||||||||||||||||||||||||||||||||||||||||||||||||
(e) the emergency fire pump, if any, and if operated by electrical power. | ||||||||||||||||||||||||||||||||||||||||||||||||||||||||||||||||||||
(7) A separate reserve source of energy, complying with Regulation 145 shall be supplied for the radio communication systems. | ||||||||||||||||||||||||||||||||||||||||||||||||||||||||||||||||||||
Distribution systems. | ||||||||||||||||||||||||||||||||||||||||||||||||||||||||||||||||||||
67. Electrical distribution systems shall comply with the requirements of the “IEC 60092 —Electrical Installations in Ships” or “ISO Standard 13297:2000 Small craft electrical systems — alternating current systems”. | ||||||||||||||||||||||||||||||||||||||||||||||||||||||||||||||||||||
Cables. | ||||||||||||||||||||||||||||||||||||||||||||||||||||||||||||||||||||
68. The design and installation of cables shall comply with the requirements of the “IEC 60092 —Electrical Installations in Ships”. | ||||||||||||||||||||||||||||||||||||||||||||||||||||||||||||||||||||
Accumulator (storage) batteries and associated charging equipment. | ||||||||||||||||||||||||||||||||||||||||||||||||||||||||||||||||||||
69. (1) Batteries, their means of charging, charging voltage and current protection arrangements shall be effective and fit for their intended service. | ||||||||||||||||||||||||||||||||||||||||||||||||||||||||||||||||||||
(2) The output of any dynamo or alternating current generator driven by a variable speed engine shall be based on the lowest operational speed of the engine. Throughout the entire operating engine speed range the dynamo or alternating current generator shall operate within its safe speed range. | ||||||||||||||||||||||||||||||||||||||||||||||||||||||||||||||||||||
(3) (a) Accumulator (storage) batteries shall be housed in boxes, trays or compartments which are constructed so as to provide protection of the batteries from damage and which are ventilated to reduce the accumulation of explosive gas to a minimum. | ||||||||||||||||||||||||||||||||||||||||||||||||||||||||||||||||||||
(b) Where fans are fitted in exhaust ducts from compartments assigned principally to the storage of batteries they shall be intrinsically safe. | ||||||||||||||||||||||||||||||||||||||||||||||||||||||||||||||||||||
(c) Electrical arrangements liable to arc shall not be installed in any compartment used principally for the storage of accumulator batteries. | ||||||||||||||||||||||||||||||||||||||||||||||||||||||||||||||||||||
(d) Lead acid and nickel alkaline batteries shall not be housed in the same space. | ||||||||||||||||||||||||||||||||||||||||||||||||||||||||||||||||||||
(4) An accumulator battery shall not be located in accommodation spaces unless installed in a hermetically sealed container. | ||||||||||||||||||||||||||||||||||||||||||||||||||||||||||||||||||||
(5) Where accumulator batteries are the sole means used for starting the main and auxiliary engines, the following shall apply- | ||||||||||||||||||||||||||||||||||||||||||||||||||||||||||||||||||||
(a) each engine shall be provided with 2 starting battery sets, each of which shall be of sufficient capacity to start the engine not less than 6 times successively, | ||||||||||||||||||||||||||||||||||||||||||||||||||||||||||||||||||||
(b) the engine starting circuits shall include an isolating switch for each battery set, and | ||||||||||||||||||||||||||||||||||||||||||||||||||||||||||||||||||||
(c) the battery charging circuits shall be able to be supplied from the main source of electrical power. | ||||||||||||||||||||||||||||||||||||||||||||||||||||||||||||||||||||
(6) Where the emergency source of electrical power is an accumulator battery, the charging circuits shall comply with paragraph 5(c). | ||||||||||||||||||||||||||||||||||||||||||||||||||||||||||||||||||||
Precautions against shock, fire and other hazards of electrical origin. | ||||||||||||||||||||||||||||||||||||||||||||||||||||||||||||||||||||
70. (1) (a) Exposed conductive parts of electrical machines or equipment which are not intended to be “live”, but which are liable under fault conditions to become “live” shall be earthed (grounded) unless: | ||||||||||||||||||||||||||||||||||||||||||||||||||||||||||||||||||||
(i) they are supplied at a voltage not exceeding 55 volts direct current (dc) or 55 volts, root mean square (RMS) alternating current (ac), between conductors. Autotransformers shall not be used for the purpose of achieving such an ac voltage, | ||||||||||||||||||||||||||||||||||||||||||||||||||||||||||||||||||||
(ii) they are supplied at a voltage not exceeding 250 volts RMS ac, by safety isolating transformers supplying one consuming device only, or | ||||||||||||||||||||||||||||||||||||||||||||||||||||||||||||||||||||
(iii) they are constructed in accordance with the principle of double insulation. | ||||||||||||||||||||||||||||||||||||||||||||||||||||||||||||||||||||
(b) Portable electrical equipment shall operate at a safe voltage, exposed conductive parts of such equipment which are not intended to have a voltage but which may have such under fault conditions, shall be earthed. Where particular risks due to conductivity may exist, additional precautions for portable electric lamps, tools or similar apparatus for use in confined or exceptionally damp spaces may be required. | ||||||||||||||||||||||||||||||||||||||||||||||||||||||||||||||||||||
(2) Main and emergency switchboards shall be so arranged as to give easy access as may be needed to apparatus and equipment, without danger to personnel. The sides and backs and, where necessary, the fronts of switchboards, shall be suitably guarded. Exposed “live’’ parts having voltages to earth exceeding 55 volts RMS ac shall not be installed on the front of such switchboards. There shall be non-conducting mats or gratings at the front and rear, where necessary. | ||||||||||||||||||||||||||||||||||||||||||||||||||||||||||||||||||||
(3) Tanks, machinery or other conductive parts that do not have good electrical continuity with the water surrounding the vessel should have special earthing arrangements to reduce potential risk. | ||||||||||||||||||||||||||||||||||||||||||||||||||||||||||||||||||||
(4) Electrical equipment exposed to the weather shall be protected from dampness and corrosion as well as mechanical damage. | ||||||||||||||||||||||||||||||||||||||||||||||||||||||||||||||||||||
(5) (a) Piping conveying steam or liquid shall not be fitted above or in the vicinity of switchboards or other electrical equipment. | ||||||||||||||||||||||||||||||||||||||||||||||||||||||||||||||||||||
(b) Where such arrangements are unavoidable, provision shall be made to prevent leakage damaging the equipment. | ||||||||||||||||||||||||||||||||||||||||||||||||||||||||||||||||||||
(6) Lighting fittings shall be arranged to prevent temperature rises which could damage the wiring and to prevent surrounding material from becoming excessively hot. | ||||||||||||||||||||||||||||||||||||||||||||||||||||||||||||||||||||
(7) (a) Each separate circuit shall be protected against short circuit and, except in the case of supply to steering gear circuits and motors, also against overload. | ||||||||||||||||||||||||||||||||||||||||||||||||||||||||||||||||||||
(b) The rating or setting of the appropriate overload protective device for each circuit shall be permanently indicated at the location of the protective device. | ||||||||||||||||||||||||||||||||||||||||||||||||||||||||||||||||||||
(8) In spaces where flammable mixtures are liable to collect and in any compartment assigned principally to the containment of an accumulator battery, no electrical equipment shall be installed unless it is: | ||||||||||||||||||||||||||||||||||||||||||||||||||||||||||||||||||||
(a) essential for operational purposes, | ||||||||||||||||||||||||||||||||||||||||||||||||||||||||||||||||||||
(b) of a type which will not ignite the mixture concerned, | ||||||||||||||||||||||||||||||||||||||||||||||||||||||||||||||||||||
(c) appropriate to the space concerned, and | ||||||||||||||||||||||||||||||||||||||||||||||||||||||||||||||||||||
(d) appropriately certified for safe usage in the dusts, vapours or gases likely to be encountered. | ||||||||||||||||||||||||||||||||||||||||||||||||||||||||||||||||||||
(9) Where a potential explosion risk exists in or near any space, all electrical equipment and fittings installed in those spaces shall be either explosion-proof or intrinsically safe. | ||||||||||||||||||||||||||||||||||||||||||||||||||||||||||||||||||||
Lighting systems. | ||||||||||||||||||||||||||||||||||||||||||||||||||||||||||||||||||||
71. (1) Lighting for machinery spaces, control stations and work spaces should be supplied from at least 2 separate final sub-circuits and arranged in such a manner that failure of one final sub-circuit should not leave the space in darkness. | ||||||||||||||||||||||||||||||||||||||||||||||||||||||||||||||||||||
(2) Lighting of normally unattended spaces such as fishrooms and net stores should be controlled from outside the space. | ||||||||||||||||||||||||||||||||||||||||||||||||||||||||||||||||||||
Electric motors. | ||||||||||||||||||||||||||||||||||||||||||||||||||||||||||||||||||||
72. (1) Every electric motor should be provided with a means of starting and stopping so placed that the person controlling the motor can easily operate it. | ||||||||||||||||||||||||||||||||||||||||||||||||||||||||||||||||||||
(2) The circuit supplying the motor should be fitted with short circuit and overload protection. | ||||||||||||||||||||||||||||||||||||||||||||||||||||||||||||||||||||
(3) (a) Where electric motors are fitted to deck machinery, the operating device should automatically return to the stop position when released. | ||||||||||||||||||||||||||||||||||||||||||||||||||||||||||||||||||||
(b) Emergency stops should also be located at the control station. The mechanical component of the deck machinery should be fitted with an appropriate fail-safe braking system. | ||||||||||||||||||||||||||||||||||||||||||||||||||||||||||||||||||||
(4) (a) Electric fans and pumps driven by electric motors for the transfer of fuel oil, fuel oil lift pumps and similar fuel oil pumps, should be fitted with a remote control. | ||||||||||||||||||||||||||||||||||||||||||||||||||||||||||||||||||||
(b) The remote control should be positioned outside the machinery space concerned, for stopping the motors in the event of a fire in the space in which they are located. | ||||||||||||||||||||||||||||||||||||||||||||||||||||||||||||||||||||
Lightning conductors. | ||||||||||||||||||||||||||||||||||||||||||||||||||||||||||||||||||||
73. (1) Lightning conductors should be fitted on wooden masts and should be of continuous copper tape or copper rope having a cross section of not less than 75mm2 and secured to a copper spike of 12mm diameter projecting at least 150mm beyond the top of the mast. | ||||||||||||||||||||||||||||||||||||||||||||||||||||||||||||||||||||
(2) In the case of metal hulls, the lower end of the conductor should be earthed to the hull. | ||||||||||||||||||||||||||||||||||||||||||||||||||||||||||||||||||||
(3) (a) In the case of wood or other non-metallic hulls, the lower end of the conductor shall be attached to an earthing plate of copper or similar material of area not less than 0.25m2 attached to the outside of the hull in an area reserved for this purpose and located below the light water line so that it is immersed under all conditions of heel. | ||||||||||||||||||||||||||||||||||||||||||||||||||||||||||||||||||||
(b) The earthing plate for the lightning conductor shall be additional to and separate from the earthing plate used for the power system earthing or earth bonding systems. | ||||||||||||||||||||||||||||||||||||||||||||||||||||||||||||||||||||
(c) All sharp bends should be avoided and bolted or riveted joints only may be used. | ||||||||||||||||||||||||||||||||||||||||||||||||||||||||||||||||||||
PERIODICALLY UNATTENDED MACHINERY SPACES | ||||||||||||||||||||||||||||||||||||||||||||||||||||||||||||||||||||
Fire prevention. | ||||||||||||||||||||||||||||||||||||||||||||||||||||||||||||||||||||
74. (1) Special consideration shall be given to high pressure fuel oil pipes. Where practicable, leakages from such piping systems shall be collected in a suitable drain tank which shall be provided with a high level alarm. | ||||||||||||||||||||||||||||||||||||||||||||||||||||||||||||||||||||
(2) (a) Where daily service fuel oil tanks are filled automatically or by remote control, means shall be provided to prevent overflow spillages. | ||||||||||||||||||||||||||||||||||||||||||||||||||||||||||||||||||||
(b) Similar consideration shall be given to other equipment which treats flammable liquids automatically, e.g. fuel oil purifiers, which whenever practicable shall be installed in a special space reserved for purifiers and their heaters. | ||||||||||||||||||||||||||||||||||||||||||||||||||||||||||||||||||||
(3) Where fuel oil daily service tanks or settling tanks are fitted with heating arrangements, a high temperature alarm shall be provided if the flashpoint of the fuel oil can be exceeded. | ||||||||||||||||||||||||||||||||||||||||||||||||||||||||||||||||||||
Protection against flooding. | ||||||||||||||||||||||||||||||||||||||||||||||||||||||||||||||||||||
75. (1) (a) Bilges in machinery spaces shall be provided with a high level alarm in such a way that the accumulation of liquids is detected at normal angles of trim and heel. | ||||||||||||||||||||||||||||||||||||||||||||||||||||||||||||||||||||
(b) The detection system shall initiate an audible and visual alarm in the places where continuous watch is maintained. | ||||||||||||||||||||||||||||||||||||||||||||||||||||||||||||||||||||
(2) The controls of any valve serving a sea inlet, a discharge below the waterline or a bilge injection system shall be so sited as to allow adequate time for operation in case of influx of water to the space. | ||||||||||||||||||||||||||||||||||||||||||||||||||||||||||||||||||||
Alarm system. | ||||||||||||||||||||||||||||||||||||||||||||||||||||||||||||||||||||
76. (1) An alarm system shall be provided which shall indicate any fault requiring attention. | ||||||||||||||||||||||||||||||||||||||||||||||||||||||||||||||||||||
(2) (a) The alarm system shall be capable of sounding an audible alarm in the machinery space and shall indicate visually each separate alarm function at a suitable position. | ||||||||||||||||||||||||||||||||||||||||||||||||||||||||||||||||||||
(b) The Minister may, permit the system only to provide each individual alarm function acoustically and optically in the wheelhouse. | ||||||||||||||||||||||||||||||||||||||||||||||||||||||||||||||||||||
(c) Audible and visual alarms shall be activated in the wheelhouse for any situation requiring action by the responsible person on watch or which should be brought to his attention. | ||||||||||||||||||||||||||||||||||||||||||||||||||||||||||||||||||||
(d) The alarm system shall as far as is practicable be designed on the fail-safe principle. | ||||||||||||||||||||||||||||||||||||||||||||||||||||||||||||||||||||
(3) The alarm system shall be— | ||||||||||||||||||||||||||||||||||||||||||||||||||||||||||||||||||||
(a) continuously powered with automatic change-over to a stand-by power supply in case of loss of normal power, and | ||||||||||||||||||||||||||||||||||||||||||||||||||||||||||||||||||||
(b) activated by failure of the normal power supply. | ||||||||||||||||||||||||||||||||||||||||||||||||||||||||||||||||||||
(4) (a) The alarm system shall be able to indicate at the same time more than one fault and the acceptance of any alarm shall not inhibit another alarm. | ||||||||||||||||||||||||||||||||||||||||||||||||||||||||||||||||||||
(b) Acceptance at the position referred to in paragraph 2(a) of any alarm condition shall be indicated at the positions where it was shown. Alarms shall be maintained until they are accepted and the visual indications shall remain until the fault has been corrected. All alarms shall automatically reset when the fault has been rectified. | ||||||||||||||||||||||||||||||||||||||||||||||||||||||||||||||||||||
Special requirements for machinery, boiler and electrical installations. | ||||||||||||||||||||||||||||||||||||||||||||||||||||||||||||||||||||
77. (1) (a) Where required to be duplicated, other auxiliary machinery essential to propulsion shall be fitted with automatic change-over devices allowing transfer to a stand-by machine. | ||||||||||||||||||||||||||||||||||||||||||||||||||||||||||||||||||||
(b) An alarm shall be given on automatic change-over. | ||||||||||||||||||||||||||||||||||||||||||||||||||||||||||||||||||||
(2) Automatic control and alarm systems shall be provided as follows: | ||||||||||||||||||||||||||||||||||||||||||||||||||||||||||||||||||||
(a) the control system shall be such that through the necessary automatic arrangements the services needed for the operation of the main propulsion machinery and its auxiliaries are ensured, | ||||||||||||||||||||||||||||||||||||||||||||||||||||||||||||||||||||
(b) means shall be provided to keep the starting air pressure at the required level where internal combustion engines are used for main propulsion, | ||||||||||||||||||||||||||||||||||||||||||||||||||||||||||||||||||||
(c) an alarm system complying with Regulation 76 shall be provided for all important pressures, temperatures, fluid levels, etc., and | ||||||||||||||||||||||||||||||||||||||||||||||||||||||||||||||||||||
(d) where appropriate an adequate control position shall be arranged with the necessary alarm panels and instrumentation indicating any alarmed fault. | ||||||||||||||||||||||||||||||||||||||||||||||||||||||||||||||||||||
Safety system. | ||||||||||||||||||||||||||||||||||||||||||||||||||||||||||||||||||||
78. (1) A safety system shall be provided so that serious malfunction in machinery or boiler operations, which presents an immediate danger, shall initiate the automatic shut-down of that part of the plant and an alarm shall be given. | ||||||||||||||||||||||||||||||||||||||||||||||||||||||||||||||||||||
(2) Shut-down of the propulsion system shall not be automatically activated except in cases which could lead to serious damage, complete breakdown, or explosion. | ||||||||||||||||||||||||||||||||||||||||||||||||||||||||||||||||||||
(3) Where arrangements for overriding the shut-down of the main propelling machinery are fitted, these shall be such as to preclude inadvertent activation. | ||||||||||||||||||||||||||||||||||||||||||||||||||||||||||||||||||||
(4) Visual means shall be provided to show whether or not it has been activated. | ||||||||||||||||||||||||||||||||||||||||||||||||||||||||||||||||||||
PART 5 | ||||||||||||||||||||||||||||||||||||||||||||||||||||||||||||||||||||
FIRE PROTECTION, FIRE DETECTION, FIRE EXTINCTION AND FIRE FIGHTING | ||||||||||||||||||||||||||||||||||||||||||||||||||||||||||||||||||||
Definitions. | ||||||||||||||||||||||||||||||||||||||||||||||||||||||||||||||||||||
79. In this Part— | ||||||||||||||||||||||||||||||||||||||||||||||||||||||||||||||||||||
“ ‘A’ class division” means a division formed by a bulkhead or deck, which is— | ||||||||||||||||||||||||||||||||||||||||||||||||||||||||||||||||||||
(a) constructed of steel or other equivalent material, | ||||||||||||||||||||||||||||||||||||||||||||||||||||||||||||||||||||
(b) suitably stiffened, | ||||||||||||||||||||||||||||||||||||||||||||||||||||||||||||||||||||
(c) so constructed as to be capable of preventing the passage of smoke and flame to the end of the 60 minute standard fire test, and | ||||||||||||||||||||||||||||||||||||||||||||||||||||||||||||||||||||
(d) so insulated with approved non-combustible materials such that, if the division is exposed to the standard fire test, the average temperature of the unexposed side of the division will rise not more than 139°C above the initial temperature nor will the temperature at any one point, including any joint, rise more than 180°C above the initial temperature within the time listed below: | ||||||||||||||||||||||||||||||||||||||||||||||||||||||||||||||||||||
A - 60 standard............................. 60 minutes | ||||||||||||||||||||||||||||||||||||||||||||||||||||||||||||||||||||
A - 30 standard............................. 30 minutes | ||||||||||||||||||||||||||||||||||||||||||||||||||||||||||||||||||||
A - 15 standard............................. 15 minutes | ||||||||||||||||||||||||||||||||||||||||||||||||||||||||||||||||||||
A - 0 standard............................. 0 minutes | ||||||||||||||||||||||||||||||||||||||||||||||||||||||||||||||||||||
“accommodation spaces” includes public spaces, corridors, lavatories, cabins, offices, crew spaces and isolated pantries containing no cooking appliances; | ||||||||||||||||||||||||||||||||||||||||||||||||||||||||||||||||||||
“ ‘B’ class divisions” means those divisions formed by bulkheads, decks, ceilings or linings which— | ||||||||||||||||||||||||||||||||||||||||||||||||||||||||||||||||||||
(a) are so constructed as to be capable of preventing the passage of flame to the end of the first 30 minutes of the standard fire test, | ||||||||||||||||||||||||||||||||||||||||||||||||||||||||||||||||||||
(b) have an insulation value such that during the standard fire test the average temperature of the unexposed side will not rise more than 139°C above its initial temperature, nor will its temperature at any one point, including any joint, rise more than 225°C above its initial temperature within the time listed below: | ||||||||||||||||||||||||||||||||||||||||||||||||||||||||||||||||||||
B - 15 standard................................ 15 minutes | ||||||||||||||||||||||||||||||||||||||||||||||||||||||||||||||||||||
B - 0 standard................................ 0 minutes | ||||||||||||||||||||||||||||||||||||||||||||||||||||||||||||||||||||
(c) are constructed of approved non-combustible materials and whose supporting members or structures are also constructed of non-combustible materials; | ||||||||||||||||||||||||||||||||||||||||||||||||||||||||||||||||||||
“control stations” means those spaces in which the vessel’s radio or main navigating equipment or the emergency source of power is located, or where the fire recording or fire control equipment is centralised; | ||||||||||||||||||||||||||||||||||||||||||||||||||||||||||||||||||||
“ ‘F’ class divisions” means those divisions formed by bulkheads, decks, ceilings or linings which— | ||||||||||||||||||||||||||||||||||||||||||||||||||||||||||||||||||||
(a) are so constructed as to be capable of preventing the passage of flame to the end of the first 30 minutes of the standard fire test, | ||||||||||||||||||||||||||||||||||||||||||||||||||||||||||||||||||||
(b) have an insulation value such that during the standard fire test the average temperature of the unexposed side will not rise more than 139°C above its initial temperature, nor will its temperature at any one point, including any joint, rise more than 225°C above its initial temperature, up to the end of the first 30 minutes of the standard fire test. | ||||||||||||||||||||||||||||||||||||||||||||||||||||||||||||||||||||
“fire test procedures” means procedures carried out in accordance with the International Code for Application of Fire Test Procedures (FTP Code) as published by the International Maritime Organisation (IMO); | ||||||||||||||||||||||||||||||||||||||||||||||||||||||||||||||||||||
“FTP Code” means the International Code for application of Fire Test Procedures as published by the International Maritime Organisation (IMO); | ||||||||||||||||||||||||||||||||||||||||||||||||||||||||||||||||||||
“FSS Code” means the International Code for Fire Safety Systems as published by the International Maritime Organisation (IMO); | ||||||||||||||||||||||||||||||||||||||||||||||||||||||||||||||||||||
“low flame spread” means that the surface thus described will adequately restrict the spread of flame, this being determined in accordance with the FTP Code; | ||||||||||||||||||||||||||||||||||||||||||||||||||||||||||||||||||||
“machinery space” means the main engine room; | ||||||||||||||||||||||||||||||||||||||||||||||||||||||||||||||||||||
“non-combustible material” means a material which neither burns nor gives off flammable vapours in sufficient quantity for self ignition when heated to a temperature of 750° C, this being determined in accordance with the FTP Code. Any other material is a combustible material; | ||||||||||||||||||||||||||||||||||||||||||||||||||||||||||||||||||||
“oil-fired boiler” means any boiler wholly or partly fired by liquid fuel not being a domestic boiler of less than 75 kilowatts; | ||||||||||||||||||||||||||||||||||||||||||||||||||||||||||||||||||||
“public spaces” means those portions of the accommodation spaces which are used for mess rooms, lounges and similarly permanently enclosed spaces; | ||||||||||||||||||||||||||||||||||||||||||||||||||||||||||||||||||||
“service space” includes galleys, pantries, laundries, storerooms, paint rooms, workshops and trunkways leading to such spaces. | ||||||||||||||||||||||||||||||||||||||||||||||||||||||||||||||||||||
Fire protection — general. | ||||||||||||||||||||||||||||||||||||||||||||||||||||||||||||||||||||
80. (1) Every vessel shall be so constructed and equipped such that there is no substantial fire risk to the vessel or to persons on board the vessel. | ||||||||||||||||||||||||||||||||||||||||||||||||||||||||||||||||||||
(2) (a) The insulating materials used in accommodation spaces, service spaces, control stations and machinery spaces shall be non-combustible. | ||||||||||||||||||||||||||||||||||||||||||||||||||||||||||||||||||||
(b) The surface of any insulation fitted on the internal boundaries of machinery spaces shall be impervious to oil or oil vapours. | ||||||||||||||||||||||||||||||||||||||||||||||||||||||||||||||||||||
(3) Within refrigerated compartments, any combustible insulation shall be protected by close fitting linings. | ||||||||||||||||||||||||||||||||||||||||||||||||||||||||||||||||||||
(4) Exposed surfaces within accommodation spaces, service spaces, control stations, corridor and stairway enclosures and the concealed surfaces behind bulkheads, suspended ceilings, panelling and linings fitted within those spaces shall have low flame spread characteristics. | ||||||||||||||||||||||||||||||||||||||||||||||||||||||||||||||||||||
(5) (a) Support structure (grounds) to linings and ceilings etc. shall be constructed of non-combustible material. | ||||||||||||||||||||||||||||||||||||||||||||||||||||||||||||||||||||
(b) Where it is not practicable to use non-combustible material, the material used shall be treated with a suitable fire retarding treatment. | ||||||||||||||||||||||||||||||||||||||||||||||||||||||||||||||||||||
(6) Air spaces enclosed behind suspended ceilings, panelling or linings in accommodation spaces, service spaces and control stations shall be divided by close fitting draught stops spaced not more than 7 metres apart. | ||||||||||||||||||||||||||||||||||||||||||||||||||||||||||||||||||||
(7) Paints, varnishes and other finishes used on exposed interior surfaces shall not constitute a fire hazard and shall not, in a fire, produce excessive quantities of smoke, toxic gases or vapour, determined in accordance with the FTP Code. | ||||||||||||||||||||||||||||||||||||||||||||||||||||||||||||||||||||
(8) Primary deck coverings within accommodation and service spaces and control stations, shall be of materials which will not readily ignite or give rise to toxic or explosive hazards at elevated temperatures, determined in accordance with the FTP Code. | ||||||||||||||||||||||||||||||||||||||||||||||||||||||||||||||||||||
(9) (a) Curtains, floor coverings and furnishings shall be resistant to flame and ignition. | ||||||||||||||||||||||||||||||||||||||||||||||||||||||||||||||||||||
(b) curtains shall be resistant to flame propagation in accordance with the FTP Code. | ||||||||||||||||||||||||||||||||||||||||||||||||||||||||||||||||||||
(c) all surface floor coverings shall have low flame spread. | ||||||||||||||||||||||||||||||||||||||||||||||||||||||||||||||||||||
(d) the upholstered parts of furniture shall be resistant to ignition and flame propagation, in accordance with the FTP Code. | ||||||||||||||||||||||||||||||||||||||||||||||||||||||||||||||||||||
(10) (a) Pipes conveying oil, combustible liquids or flammable gases shall be constructed from steel or other suitable material. | ||||||||||||||||||||||||||||||||||||||||||||||||||||||||||||||||||||
(b) Jointing materials shall not be rendered ineffective by heat. | ||||||||||||||||||||||||||||||||||||||||||||||||||||||||||||||||||||
(11) Materials, which readily break down under the effect of heat, shall not be used for overboard scuppers, sanitary outlets and other outlets which are close to the waterline, where material failure in the event of fire could bring about the risk of flooding. | ||||||||||||||||||||||||||||||||||||||||||||||||||||||||||||||||||||
(12) The Minister may accept short flexible piping connections on sea water lines where the flexible connections are of a material that is not rendered ineffective by heat. | ||||||||||||||||||||||||||||||||||||||||||||||||||||||||||||||||||||
(13) (a) Plastic piping may be used for services, other than those specified in paragraph (11), provided that appropriate fire testing, in accordance with the requirements of the Fire Test Procedures Code, has been carried out. | ||||||||||||||||||||||||||||||||||||||||||||||||||||||||||||||||||||
(b) The integrity of watertight or fire divisions when penetrated by such pipes shall be maintained. | ||||||||||||||||||||||||||||||||||||||||||||||||||||||||||||||||||||
(14) All waste containers, with the exception of those, which are used in connection with the treatment of fish, shall be made of non-flammable material without openings in the sides or base. | ||||||||||||||||||||||||||||||||||||||||||||||||||||||||||||||||||||
(15) Flammable liquids shall always be carried in suitably sealed containers and stowed in a safe position. | ||||||||||||||||||||||||||||||||||||||||||||||||||||||||||||||||||||
(16) Manually operated fire fighting equipment shall be readily accessible, simple to use and shall be indicated by signs of durable construction and appropriately positioned. | ||||||||||||||||||||||||||||||||||||||||||||||||||||||||||||||||||||
(17) The Minister will accept the fire protection, detection and extinguishing arrangements on existing vessels providing they comply with and are maintained in accordance with previous requirements under the Merchant Shipping (FireAppliance) Rules 1967 ( S.I. No. 100 of 1967 ) and continue to remain efficient in service. | ||||||||||||||||||||||||||||||||||||||||||||||||||||||||||||||||||||
Structural fire protection on vessels with hulls constructed of steel or other equivalent material. | ||||||||||||||||||||||||||||||||||||||||||||||||||||||||||||||||||||
81. (1) The superstructure, structural bulkheads, decks and deckhouses shall be constructed of steel or other equivalent material, having due regard to the risk of fire. | ||||||||||||||||||||||||||||||||||||||||||||||||||||||||||||||||||||
(2) Subject to paragraphs (4) and (8), bulkheads and decks bounding main machinery spaces shall be constructed to “A-0” standard. | ||||||||||||||||||||||||||||||||||||||||||||||||||||||||||||||||||||
(3) (a) Bulkheads and decks, which separate galleys (or combined galley and mess rooms) from accommodation spaces, service spaces or control stations shall be constructed to “A-30” standard. | ||||||||||||||||||||||||||||||||||||||||||||||||||||||||||||||||||||
(b) Alternatively, and subject to paragraph (8), where an appropriate fixed fire extinguishing system is fitted such bulkheads and decks may be constructed to “A-0” standard. | ||||||||||||||||||||||||||||||||||||||||||||||||||||||||||||||||||||
(4) Where fishrooms are fitted with combustible insulation, bulkheads and decks separating such spaces from main machinery spaces or galleys (or combined galley and mess rooms) shall be constructed to “A-30” standard. | ||||||||||||||||||||||||||||||||||||||||||||||||||||||||||||||||||||
(5) Bulkheads of corridors serving accommodation spaces, service spaces and control stations, other than bulkheads required to meet the provisions of paragraphs (2) and (3) shall extend from deck to deck and shall be formed of steel, “B-15” class divisions or equivalent. | ||||||||||||||||||||||||||||||||||||||||||||||||||||||||||||||||||||
(6) (a) Interior stairways serving accommodation spaces, service spaces or control stations shall be constructed of steel. | ||||||||||||||||||||||||||||||||||||||||||||||||||||||||||||||||||||
(b) The enclosures to such stairways shall be of steel, “B-15” class or equivalent and be fitted with a “B-15” class closing arrangement at one end of each stairway. | ||||||||||||||||||||||||||||||||||||||||||||||||||||||||||||||||||||
(7) (a) The number of openings in the bulkheads and decks referred to in paragraphs (2) and (3) shall be the minimum practicable. | ||||||||||||||||||||||||||||||||||||||||||||||||||||||||||||||||||||
(b) Such openings shall be fitted with closing arrangements that provide fire protection equivalent to the surrounding structure. | ||||||||||||||||||||||||||||||||||||||||||||||||||||||||||||||||||||
(c) Any access doors provided in the casing of the main machinery space or galley (or combined galley and mess) shall be of “A-30” standard and be self-closing except when such a door is required to be of weathertight construction. | ||||||||||||||||||||||||||||||||||||||||||||||||||||||||||||||||||||
(8) Where, due to constraints of design or layout, a liferaft or EPIRB is required to be stowed over the galley or machinery space, such stowage areas and associated access routes shall be insulated to “A-30” standard. | ||||||||||||||||||||||||||||||||||||||||||||||||||||||||||||||||||||
(9) Where combustible material is fitted to boundary bulkheads and decks of spaces adjoining galleys (or combined galley/mess rooms) and main machinery spaces, it shall be protected from the effects of heat that may result from a fire in those spaces. | ||||||||||||||||||||||||||||||||||||||||||||||||||||||||||||||||||||
(10) Where pipes, cables, trunks, ducts etc. penetrate bulkheads or decks, that are required to be of “A” or “B” class divisions, arrangements shall be made to ensure that the fire integrity of the division is not impaired. | ||||||||||||||||||||||||||||||||||||||||||||||||||||||||||||||||||||
(11) Where an existing boundary is affected in its entirety during modification or refit to the vessel, that boundary shall, comply with the requirements of these Regulations. | ||||||||||||||||||||||||||||||||||||||||||||||||||||||||||||||||||||
Structural fire protection on vessels with hulls constructed of combustible materials. | ||||||||||||||||||||||||||||||||||||||||||||||||||||||||||||||||||||
82. (1) For vessels primarily constructed of wood and where the superstructure, structural bulkheads and decks over machinery spaces are constructed of steel or other equivalent material, fire protection arrangements shall be fitted as for steel vessels in Regulation 81. | ||||||||||||||||||||||||||||||||||||||||||||||||||||||||||||||||||||
(2) (a) Subject to paragraph (1) in every vessel, the hull of which is constructed of combustible materials, the decks and bulkheads of machinery spaces and galleys (or a combined galley/mess), shall be constructed to meet “F” or “B-15” class standard or equivalent. | ||||||||||||||||||||||||||||||||||||||||||||||||||||||||||||||||||||
(b) In addition, such boundaries shall as far as practicable prevent the passage of smoke. | ||||||||||||||||||||||||||||||||||||||||||||||||||||||||||||||||||||
(3) Decks and bulkheads separating control stations from accommodation spaces, service spaces or main machinery spaces shall be constructed to meet “F” class standard or equivalent. | ||||||||||||||||||||||||||||||||||||||||||||||||||||||||||||||||||||
(4) Bulkheads of corridors serving accommodation spaces, service spaces and control stations shall extend from deck to deck and be formed of “F” or “B-15” class divisions or equivalent. | ||||||||||||||||||||||||||||||||||||||||||||||||||||||||||||||||||||
(5) (a) Interior stairways serving accommodation spaces, service spaces or control stations shall be constructed of steel. | ||||||||||||||||||||||||||||||||||||||||||||||||||||||||||||||||||||
(b) The enclosures to such stairways shall be of “F” class divisions or equivalent and be fitted with an appropriate “F” or “B-15” class closing arrangement at one end of each stairway. | ||||||||||||||||||||||||||||||||||||||||||||||||||||||||||||||||||||
(6) (a) The number of openings in the bulkheads and decks referred to in paragraphs (2) and (3) shall be the minimum practicable. | ||||||||||||||||||||||||||||||||||||||||||||||||||||||||||||||||||||
(b) Such openings shall be fitted with closing arrangements that provide fire protection equivalent to the surrounding structure. | ||||||||||||||||||||||||||||||||||||||||||||||||||||||||||||||||||||
(c) Any access doors provided in the casing of the main propelling machinery space shall be of “F” or “B-15” class and be self-closing except when such a door is required to be of weathertight construction. | ||||||||||||||||||||||||||||||||||||||||||||||||||||||||||||||||||||
(7) Where pipes, cables, trunks, ducts, etc penetrate bulkheads or decks, that are required to be of “F” or “B” class divisions, arrangements shall be made to ensure that the fire integrity of the division is not impaired. | ||||||||||||||||||||||||||||||||||||||||||||||||||||||||||||||||||||
(8) All exposed surfaces of glass reinforced plastic construction within accommodation and service spaces, control stations, main machinery spaces and other machinery spaces of similar fire risk shall have the final lay-up layer of resin having inherent fire retarding properties or be coated with a suitable fire retardant paint or be protected by non-combustible materials. | ||||||||||||||||||||||||||||||||||||||||||||||||||||||||||||||||||||
(9) Where an existing boundary is affected in its entirety during modification or refit to the vessel, that boundary shall, comply with the requirements of these Regulations. | ||||||||||||||||||||||||||||||||||||||||||||||||||||||||||||||||||||
Ventilation systems. | ||||||||||||||||||||||||||||||||||||||||||||||||||||||||||||||||||||
83. (1) (a) Means shall be provided to stop fans and close all main openings to ventilation systems from outside the spaces served. | ||||||||||||||||||||||||||||||||||||||||||||||||||||||||||||||||||||
(b) Means shall also be provided for closing funnel ventilation openings. | ||||||||||||||||||||||||||||||||||||||||||||||||||||||||||||||||||||
(2) (a) Ventilation openings may be provided in and under the doors in corridor bulkheads but excluding any doors to stairway enclosures or the machinery space. | ||||||||||||||||||||||||||||||||||||||||||||||||||||||||||||||||||||
(b) The openings shall only be positioned in the lower half of a door. | ||||||||||||||||||||||||||||||||||||||||||||||||||||||||||||||||||||
(c) Where such an opening is positioned in or under a door, the total net area of the opening shall not exceed 0.05 m2. | ||||||||||||||||||||||||||||||||||||||||||||||||||||||||||||||||||||
(d) If such an opening is cut into a door, it shall be provided with a grating of non-flammable material. | ||||||||||||||||||||||||||||||||||||||||||||||||||||||||||||||||||||
(3) (a) Ventilation ducts to machinery spaces or galleys shall not pass through accommodation, service rooms or control rooms. | ||||||||||||||||||||||||||||||||||||||||||||||||||||||||||||||||||||
(b) Such an arrangement may be permitted provided the ducts are made of steel or equivalent material and arranged so as to maintain the fire protection of the subdivisions. | ||||||||||||||||||||||||||||||||||||||||||||||||||||||||||||||||||||
(4) (a) Ventilation ducts to accommodation, service rooms or control rooms shall not pass through machinery spaces or through galleys. | ||||||||||||||||||||||||||||||||||||||||||||||||||||||||||||||||||||
(b) Such an arrangement may be permitted provided the ducts are made of steel or equivalent material and arranged so as to maintain the fire protection of the subdivisions. | ||||||||||||||||||||||||||||||||||||||||||||||||||||||||||||||||||||
(5) (a) Storerooms, which contain considerable quantities of highly flammable products, shall be provided with ventilation systems, which are separate from other ventilation systems. | ||||||||||||||||||||||||||||||||||||||||||||||||||||||||||||||||||||
(b) Ventilation shall be provided at high and low levels within the space and the external inlets and outlets of such vents shall be positioned in safe areas on open deck away from any source of ignition. | ||||||||||||||||||||||||||||||||||||||||||||||||||||||||||||||||||||
(c) (i) Vent motors and equipment provided within the system shall be intrinsically safe. | ||||||||||||||||||||||||||||||||||||||||||||||||||||||||||||||||||||
(ii) Such ventilation systems shall not exhaust in close proximity to the inlets of other ventilation systems. | ||||||||||||||||||||||||||||||||||||||||||||||||||||||||||||||||||||
(6) Ventilation systems, which serve machinery spaces, shall be independent of systems serving other rooms. | ||||||||||||||||||||||||||||||||||||||||||||||||||||||||||||||||||||
(7) (a) When trunks or ducts pass through a fire rated division then manual fire dampers shall be fitted to prevent the passage of smoke and flame across the division. | ||||||||||||||||||||||||||||||||||||||||||||||||||||||||||||||||||||
(b) The dampers shall be capable of operation from both sides of the bulkhead or deck. | ||||||||||||||||||||||||||||||||||||||||||||||||||||||||||||||||||||
(c) When the cross sectional area of any trunk or duct exceeds 0.02 square metres then the damper shall additionally be of the automatic self closing type. | ||||||||||||||||||||||||||||||||||||||||||||||||||||||||||||||||||||
(8) Fire dampers may be omitted if the ducting is of substantial construction and equivalent arrangements have been provided to the satisfaction of the Minister. | ||||||||||||||||||||||||||||||||||||||||||||||||||||||||||||||||||||
Space heaters. | ||||||||||||||||||||||||||||||||||||||||||||||||||||||||||||||||||||
84. Electric space heaters, where provided, shall be constructed and fitted to reduce the fire risk to a minimum and where such heaters are situated on decks or bulkheads the structure of such decks or bulkheads shall be protected by non-combustible material. Heaters with exposed elements and open flame fuel heaters shall not be provided. | ||||||||||||||||||||||||||||||||||||||||||||||||||||||||||||||||||||
Galley area. | ||||||||||||||||||||||||||||||||||||||||||||||||||||||||||||||||||||
85. (1) Materials that are in the vicinity of any cooking appliance shall be non-combustible, except that combustible materials may be employed when these are faced with stainless steel or a similar non-combustible material. | ||||||||||||||||||||||||||||||||||||||||||||||||||||||||||||||||||||
(2) Wherever practicable, electrically powered cooking equipment shall be provided in preference to open flame types. | ||||||||||||||||||||||||||||||||||||||||||||||||||||||||||||||||||||
(3) Curtains, towel rails, hooks and similar arrangements shall be kept well clear of the cooking area. | ||||||||||||||||||||||||||||||||||||||||||||||||||||||||||||||||||||
(4) Electric stoves and other cooking appliances shall be fitted with an isolation switch outside the galley space. | ||||||||||||||||||||||||||||||||||||||||||||||||||||||||||||||||||||
(5) Deep fat fryers shall— | ||||||||||||||||||||||||||||||||||||||||||||||||||||||||||||||||||||
(a) be fitted with a second safety thermostat which shall be arranged to operate in the event of a failure of the control thermostat and shall only be capable of being re-set manually, | ||||||||||||||||||||||||||||||||||||||||||||||||||||||||||||||||||||
(b) be provided with a suitable lid, which shall be kept in use at all times, | ||||||||||||||||||||||||||||||||||||||||||||||||||||||||||||||||||||
(c) have posted adjacent to them an instruction that deep fat fryers are to be switched off immediately after use, and | ||||||||||||||||||||||||||||||||||||||||||||||||||||||||||||||||||||
(d) be rigidly fixed in place. | ||||||||||||||||||||||||||||||||||||||||||||||||||||||||||||||||||||
Means for stopping machinery. | ||||||||||||||||||||||||||||||||||||||||||||||||||||||||||||||||||||
86. (1) (a) Machinery space ventilation fans, oil fuel transfer pumps, and other similar fuel pumps shall be fitted with remote controls located outside the spaces in which they are situated. | ||||||||||||||||||||||||||||||||||||||||||||||||||||||||||||||||||||
(b) These controls shall be capable of stopping the machinery or pumps in the event of fire. | ||||||||||||||||||||||||||||||||||||||||||||||||||||||||||||||||||||
(2) Remote electric stops for ventilation fans serving accommodation spaces shall be operable from outside the space. | ||||||||||||||||||||||||||||||||||||||||||||||||||||||||||||||||||||
Oil fuel installations (cooking ranges and heating appliances). | ||||||||||||||||||||||||||||||||||||||||||||||||||||||||||||||||||||
87. (1) (a) Where cooking ranges or heating appliances within crew spaces are supplied with fuel from an oil tank, the tank shall be situated outside the space containing the cooking range or heating appliance and the supply of oil to the burners shall be capable of being controlled from outside that space. | ||||||||||||||||||||||||||||||||||||||||||||||||||||||||||||||||||||
(b) Ranges or burners using oil fuel having a flash point of less than 60°C (Closed Cup Test) shall not be fitted. | ||||||||||||||||||||||||||||||||||||||||||||||||||||||||||||||||||||
(c) Means shall be provided to shut off the fuel supply automatically at the cooking range or heating appliance in the event of fire or if the combustion air supply fails. Such means shall require manual resetting in order to restore the fuel supply. | ||||||||||||||||||||||||||||||||||||||||||||||||||||||||||||||||||||
(2) Oil tanks supplying the cooking range or heating appliance shall be provided with an air pipe leading to the open air, and in such a position that there will be no danger of fire or explosion resulting from the emergence of oil vapour from the open end of the pipe. The open end shall be fitted with a detachable wire gauze diaphragm. | ||||||||||||||||||||||||||||||||||||||||||||||||||||||||||||||||||||
(3) Adequate means shall be provided for filling every such tank and for preventing overpressure. | ||||||||||||||||||||||||||||||||||||||||||||||||||||||||||||||||||||
(4) Closed flame diesel heaters shall comply with the manufacturer’s instructions. | ||||||||||||||||||||||||||||||||||||||||||||||||||||||||||||||||||||
Liquefied petroleum gas installations (cooking ranges and heating appliances). | ||||||||||||||||||||||||||||||||||||||||||||||||||||||||||||||||||||
88. Installations using liquefied petroleum gas shall comply with Marine Notice No. 1 of 2002 entitled “Use of liquefied petroleum gas (LPG) installations and systems on merchant vessels, fishing vessels, pleasure craft and other marine craft” and any subsequent amendments. | ||||||||||||||||||||||||||||||||||||||||||||||||||||||||||||||||||||
Storage of flammable liquids, toxic liquids, toxic gases and compressed gases. | ||||||||||||||||||||||||||||||||||||||||||||||||||||||||||||||||||||
89. (1) (a) Cylinders containing flammable, toxic or other dangerous gases, and expended cylinders shall be clearly marked as to their contents and properly stowed and secured on open decks. | ||||||||||||||||||||||||||||||||||||||||||||||||||||||||||||||||||||
(b) All valves, pressure regulators and pipes leading from such cylinders shall be protected against damage. | ||||||||||||||||||||||||||||||||||||||||||||||||||||||||||||||||||||
(c) Such cylinders may be stowed in compartments that meet the requirements set out in paragraph (2). | ||||||||||||||||||||||||||||||||||||||||||||||||||||||||||||||||||||
(2) (a) Cylinders and bottles containing flammable liquids, toxic liquids, toxic gases and liquefied gases, other than liquefied petroleum gas shall be stored in compartments having direct access from open decks. | ||||||||||||||||||||||||||||||||||||||||||||||||||||||||||||||||||||
(b) Such compartments shall have boundary bulkheads constructed from non-combustible materials. Pressure adjusting devices and relief valves, if any, shall exhaust within the compartment. | ||||||||||||||||||||||||||||||||||||||||||||||||||||||||||||||||||||
(c) Where boundary bulkheads of such compartments adjoin other enclosed spaces they shall be gas-tight and be provided with ventilation arrangements that are separate from other ventilation systems. | ||||||||||||||||||||||||||||||||||||||||||||||||||||||||||||||||||||
(d) Ventilation shall be arranged at high and low levels and the inlets and outlets of ventilators shall be positioned in safe areas and fitted with spark arresters. | ||||||||||||||||||||||||||||||||||||||||||||||||||||||||||||||||||||
(3) (a) Electrical wiring and fittings shall not be installed within compartments containing highly flammable liquids or liquefied gases except where necessary for service within the space. | ||||||||||||||||||||||||||||||||||||||||||||||||||||||||||||||||||||
(b) Where such electrical fittings are installed they shall be suitable for use in a flammable atmosphere. | ||||||||||||||||||||||||||||||||||||||||||||||||||||||||||||||||||||
(4) Compartments containing compressed gas cylinders shall not be used for stowage of other combustible products or for tools or objects not belonging to the gas distribution system. | ||||||||||||||||||||||||||||||||||||||||||||||||||||||||||||||||||||
(5) Gas welding and cutting equipment, if carried, shall be stowed in a secure manner on the open deck at a safe distance from any potential source of fire and shall have the capability of being readily jettisoned overboard if necessary. | ||||||||||||||||||||||||||||||||||||||||||||||||||||||||||||||||||||
(6) Any compartment that contains a gas consuming appliance or any compartment into which flammable gas may leak or accumulate, shall be provided with a hydrocarbon gas detector and alarm. | ||||||||||||||||||||||||||||||||||||||||||||||||||||||||||||||||||||
Means of escape and emergency exits. | ||||||||||||||||||||||||||||||||||||||||||||||||||||||||||||||||||||
90. (1) Stairways, ladders and passageways shall be arranged to provide ready means of escape from accommodation spaces and spaces in which the crew is normally employed, to the open deck where the life saving appliances will be available for use. | ||||||||||||||||||||||||||||||||||||||||||||||||||||||||||||||||||||
(2) At least 2 means of escape, which may include the normal means of access, shall be provided from accommodation, service or working spaces or groups of such spaces, situated on any one deck level within either watertight or fire resistant boundaries, except that— | ||||||||||||||||||||||||||||||||||||||||||||||||||||||||||||||||||||
(a) only one means of escape may be provided where this is considered to be adequate by the Minister having due regard to the nature and location of the space and the number of persons who might be accommodated or employed there, and | ||||||||||||||||||||||||||||||||||||||||||||||||||||||||||||||||||||
(b) taking account of the location of the space and the number of persons who will normally be accommodated in the space and the configuration of the vessel, the Minister may approve a suitably sized opening type window as a second means of escape for spaces above the weather deck. A grab rail shall be fitted above the window. This “designated window” shall be marked as an escape and provide access onto a decked area from which the Life-Saving Appliances may be easily and safely accessed. Any necessary tools for opening or breaking the window shall be stowed, where practicable, adjacent to the window. | ||||||||||||||||||||||||||||||||||||||||||||||||||||||||||||||||||||
(3) Hatches and doors forming part of an escape route shall be readily operable from both sides by any person or by rescue teams. | ||||||||||||||||||||||||||||||||||||||||||||||||||||||||||||||||||||
(4) All escape routes shall be kept clear of obstructions and the clear access and dimensions of such routes shall allow for rapid and safe evacuation. | ||||||||||||||||||||||||||||||||||||||||||||||||||||||||||||||||||||
(5) At least 2 suitably located means of escape shall be provided from the main machinery space except that where the size of the machinery space renders this impracticable the Minister may accept a single means of escape. | ||||||||||||||||||||||||||||||||||||||||||||||||||||||||||||||||||||
(6) Where ladders are provided for escape, they shall be of steel construction. | ||||||||||||||||||||||||||||||||||||||||||||||||||||||||||||||||||||
(7) Emergency lighting shall be arranged to cover all escape routes. | ||||||||||||||||||||||||||||||||||||||||||||||||||||||||||||||||||||
(8) Signs shall indicate emergency routes and exits. | ||||||||||||||||||||||||||||||||||||||||||||||||||||||||||||||||||||
Automatic fire alarm and fire detection systems. | ||||||||||||||||||||||||||||||||||||||||||||||||||||||||||||||||||||
91. (1) An automatic fire detection and alarm system, complying with the FSS Code, shall be fitted and so arranged as to protect the machinery spaces, galley and accommodation spaces. | ||||||||||||||||||||||||||||||||||||||||||||||||||||||||||||||||||||
(2) The fire detection system shall be capable of automatically indicating, in the wheelhouse, the presence of fire. The location of the fire shall also be indicated. | ||||||||||||||||||||||||||||||||||||||||||||||||||||||||||||||||||||
(3) The indicating system for the detection system shall comprise of both an audible and visual alarm within the wheelhouse. | ||||||||||||||||||||||||||||||||||||||||||||||||||||||||||||||||||||
(4) The system shall be supplied from both the main and emergency sources of electric power. | ||||||||||||||||||||||||||||||||||||||||||||||||||||||||||||||||||||
(5) A fire alarm bell shall be situated adjacent to all sleeping accommodation and in the engine room, both of which can be manually or automatically actuated from the wheelhouse. | ||||||||||||||||||||||||||||||||||||||||||||||||||||||||||||||||||||
Fire pumps. | ||||||||||||||||||||||||||||||||||||||||||||||||||||||||||||||||||||
92. (1) All fishing vessels shall be provided with at least one mechanically driven fire pump. | ||||||||||||||||||||||||||||||||||||||||||||||||||||||||||||||||||||
(2) (a) Where internal combustion type propelling machinery is installed, if the pump required by paragraph (1) and its source of power and sea connection are not situated outside spaces containing such machinery, there shall be provided in a position outside such space an additional fire pump and its source of power and sea connection. | ||||||||||||||||||||||||||||||||||||||||||||||||||||||||||||||||||||
(b) On new vessels this pump shall be operated by power and shall comply with the requirements of paragraphs (7) and (8). | ||||||||||||||||||||||||||||||||||||||||||||||||||||||||||||||||||||
(c) On existing vessels, where already fitted and provided that such arrangement continues to remain effective in service, it may be manually operated and be provided with a hose and a 12mm diameter dual purpose nozzle through which it shall be capable of producing a jet of water having a throw of not less than 6 metres which can be directed on to any part of the vessel. | ||||||||||||||||||||||||||||||||||||||||||||||||||||||||||||||||||||
(3) Fire pumps may be sanitary, ballast, bilge, or general service pumps provided that they are not normally used for pumping oil and that if they are subject to occasional duty for the transfer or pumping of oil, suitable changeover arrangements are fitted and operating instructions are conspicuously displayed at the changeover position, stating that the pump must be flushed through and returned to fire duty immediately after the oil pumping duty is completed. | ||||||||||||||||||||||||||||||||||||||||||||||||||||||||||||||||||||
(4) Where pumps that are not dedicated fire pumps are authorised for use as a fire pump as provided for in paragraph (3), their use shall not reduce the capability to pump bilges at any time. | ||||||||||||||||||||||||||||||||||||||||||||||||||||||||||||||||||||
(5) When such pumps are used as fire pumps, they shall only be able to supply the fire main or the fire hydrant if only one is required. | ||||||||||||||||||||||||||||||||||||||||||||||||||||||||||||||||||||
(6) Where 2 or more pumps can be used as fire pumps they shall be capable of operating in parallel provided that each can deliver the capacity set out in paragraph (7). | ||||||||||||||||||||||||||||||||||||||||||||||||||||||||||||||||||||
(7) The capacity Q of each fire pump shall be at least in accordance with the calculation method below, however, in no case less than 16m3/hour. | ||||||||||||||||||||||||||||||||||||||||||||||||||||||||||||||||||||
| ||||||||||||||||||||||||||||||||||||||||||||||||||||||||||||||||||||
| ||||||||||||||||||||||||||||||||||||||||||||||||||||||||||||||||||||
where L, B and D are in metres | ||||||||||||||||||||||||||||||||||||||||||||||||||||||||||||||||||||
The total capacity for a fire-extinguishing pump need not exceed 30m3/hour. | ||||||||||||||||||||||||||||||||||||||||||||||||||||||||||||||||||||
(8) Main fire pumps shall be able to maintain a pressure of at least 0.25 N/mm2 at the fire hydrants when the 2 fire hydrants farthest away from the pump are both in operation and each fitted with a single hose length with a 12mm spraying nozzle. | ||||||||||||||||||||||||||||||||||||||||||||||||||||||||||||||||||||
(9) The engine for diesel-driven emergency pumps shall have a service tank with sufficient fuel oil for at least 3 hours operation at full load, and there shall be reserves for a further 15 hours operation outside the machinery space. | ||||||||||||||||||||||||||||||||||||||||||||||||||||||||||||||||||||
(10) Power to electrically driven emergency pumps shall be supplied from an energy source that is independent of installations in the main machinery space. | ||||||||||||||||||||||||||||||||||||||||||||||||||||||||||||||||||||
(11) Fire pumps, including emergency fire pumps, shall not be positioned or stored forward of the forepeak bulkhead or its extension. | ||||||||||||||||||||||||||||||||||||||||||||||||||||||||||||||||||||
(12) The pump’s total suction height shall not exceed 4.5m (suction height + pipe resistance) under all conditions of heel and trim, which the vessel may be assumed to meet with during navigation. | ||||||||||||||||||||||||||||||||||||||||||||||||||||||||||||||||||||
(13) All permanently installed fire pumps shall be provided with a non-return valve on the discharge side. | ||||||||||||||||||||||||||||||||||||||||||||||||||||||||||||||||||||
(14) A fire pump of a type that may develop a pressure in excess of the maximum permitted working pressure of the pipelines, fire hydrant or fire hoses or render flexible hoses uncontrollable, shall be provided with safety valves to regulate the pressure. | ||||||||||||||||||||||||||||||||||||||||||||||||||||||||||||||||||||
Fire mains. | ||||||||||||||||||||||||||||||||||||||||||||||||||||||||||||||||||||
93. (1) The vessel shall be provided with fire mains so as to ensure an effective distribution of the prescribed water quantity. | ||||||||||||||||||||||||||||||||||||||||||||||||||||||||||||||||||||
(2) The maximum pressure at a fire hydrant shall not exceed the pressure at which effective handling of a fire hose can be proved. | ||||||||||||||||||||||||||||||||||||||||||||||||||||||||||||||||||||
(3) Fire mains shall be made of steel or another material, which does not easily break down under the effect of heat. | ||||||||||||||||||||||||||||||||||||||||||||||||||||||||||||||||||||
(4) The fire mains shall be routed so as to minimise the risk of mechanical damage to the pipes. | ||||||||||||||||||||||||||||||||||||||||||||||||||||||||||||||||||||
(5) Where there is a risk of frost damage, measures shall be taken to avoid such damage. | ||||||||||||||||||||||||||||||||||||||||||||||||||||||||||||||||||||
(6) The fire main shall, at an easily accessible location outside the machinery space, be able to be closed off from the machinery space if the emergency fire pump is connected into the fire main. | ||||||||||||||||||||||||||||||||||||||||||||||||||||||||||||||||||||
Fire hydrants, fire hoses and nozzles. | ||||||||||||||||||||||||||||||||||||||||||||||||||||||||||||||||||||
94. (1) Fire hydrants shall be positioned in such a way that they allow easy and rapid connection of fire hoses and such that at least one water jet can be directed towards any part of the vessel, which is normally accessible to the crew. | ||||||||||||||||||||||||||||||||||||||||||||||||||||||||||||||||||||
(2) The water jet required in paragraph (1) shall come from a single length of fire hose. | ||||||||||||||||||||||||||||||||||||||||||||||||||||||||||||||||||||
(3) In addition to the requirement of paragraph (1), machinery spaces shall normally be equipped with at least one fire hydrant, complete with fire hose and dual-purpose nozzle (spray or jet). This fire hydrant may be positioned outside the space and close to the entrance. | ||||||||||||||||||||||||||||||||||||||||||||||||||||||||||||||||||||
(4) There shall be one fire hose for each prescribed fire hydrant. In addition at least one spare fire hose shall be available. | ||||||||||||||||||||||||||||||||||||||||||||||||||||||||||||||||||||
(5) The length of individual fire hoses shall not exceed 20m. | ||||||||||||||||||||||||||||||||||||||||||||||||||||||||||||||||||||
(6) (a) Fire hoses shall be of approved material. | ||||||||||||||||||||||||||||||||||||||||||||||||||||||||||||||||||||
(b) Fire hoses shall be lined and have a minimum diameter of 45mm. | ||||||||||||||||||||||||||||||||||||||||||||||||||||||||||||||||||||
(c) For ease of handling in confined spaces on smaller vessels fire hoses with a diameter of not less than 32mm may be accepted. | ||||||||||||||||||||||||||||||||||||||||||||||||||||||||||||||||||||
(7) Each fire hose shall be provided with couplings and a dual-purpose nozzle (spray or jet). | ||||||||||||||||||||||||||||||||||||||||||||||||||||||||||||||||||||
(8) With the exception of cases where fire hoses are permanently connected to the main fire hydrant, the couplings on fire hoses and nozzles shall be completely interchangeable. | ||||||||||||||||||||||||||||||||||||||||||||||||||||||||||||||||||||
(9) The nozzles prescribed in paragraph (7) shall match the performance standard of the fire pumps installed, but shall not in any case have a diameter of less than 12mm. | ||||||||||||||||||||||||||||||||||||||||||||||||||||||||||||||||||||
Portable fire extinguishers — general. | ||||||||||||||||||||||||||||||||||||||||||||||||||||||||||||||||||||
95. (1) Portable fire extinguishers shall be of approved types. The capacity of required portable fluid extinguishers shall not be more than 13.5 litres and not less than 9 litres. | ||||||||||||||||||||||||||||||||||||||||||||||||||||||||||||||||||||
(2) Portable fire extinguisher shall have the following capacities: | ||||||||||||||||||||||||||||||||||||||||||||||||||||||||||||||||||||
(a) portable fire extinguishers (other than carbon dioxide fire extinguishers) shall, if they are of a type discharging fluid, have a capacity of not more than 13.5 litres and not less than 9 litres; | ||||||||||||||||||||||||||||||||||||||||||||||||||||||||||||||||||||
(b) portable carbon dioxide fire extinguishers shall have a capacity of not less than 3 kilograms of carbon dioxide; | ||||||||||||||||||||||||||||||||||||||||||||||||||||||||||||||||||||
(c) portable dry powder fire extinguishers shall have a capacity of not less than 4.5 kilograms of dry powder; | ||||||||||||||||||||||||||||||||||||||||||||||||||||||||||||||||||||
(d) portable fire extinguishers of other types shall be of not less fire extinguishing capability than a 9 litres fluid fire extinguisher; | ||||||||||||||||||||||||||||||||||||||||||||||||||||||||||||||||||||
(e) portable fire extinguishers shall not exceed 25 kilograms in weight in the fully charged service condition. | ||||||||||||||||||||||||||||||||||||||||||||||||||||||||||||||||||||
(3) Portable fire extinguishers for use in accommodation or service spaces shall, so far as practicable, have a uniform method of operation. | ||||||||||||||||||||||||||||||||||||||||||||||||||||||||||||||||||||
(4) Where portable dry powder fire extinguishers are provided in accommodation and services spaces or in machinery spaces, their number shall not exceed one half of the total number of extinguishers provided in either of those spaces. | ||||||||||||||||||||||||||||||||||||||||||||||||||||||||||||||||||||
(5) The use of fire extinguishers containing an extinguishing medium that, either by itself or under expected conditions of use, gives off toxic gases in such quantities as to endanger persons is not permitted. | ||||||||||||||||||||||||||||||||||||||||||||||||||||||||||||||||||||
(6) The capacity of any fire extinguisher other than a carbon dioxide fire extinguisher shall be taken to be the greatest volume or weight of extinguishing medium which it can contain when sufficient space is left to ensure the proper operation of the extinguisher and the capacity of a carbon dioxide fire extinguisher shall be taken to be two-thirds of a kilogram of carbon dioxide for each litre of water capacity of the cylinder. | ||||||||||||||||||||||||||||||||||||||||||||||||||||||||||||||||||||
(7) Every fire extinguisher provided shall be kept fully charged at all times. | ||||||||||||||||||||||||||||||||||||||||||||||||||||||||||||||||||||
(8) A spare charge shall be provided for every portable fire extinguisher except that for each such fire extinguisher which is of a type that cannot readily be recharged while the vessel is at sea, an additional portable fire extinguisher of the same type or its equivalent shall be provided in lieu of a spare charge. | ||||||||||||||||||||||||||||||||||||||||||||||||||||||||||||||||||||
(9) Where practicable, one of the portable extinguishers intended for use in any space shall be stowed near the entrance to that space. | ||||||||||||||||||||||||||||||||||||||||||||||||||||||||||||||||||||
Portable fire extinguishers — vessel requirements. | ||||||||||||||||||||||||||||||||||||||||||||||||||||||||||||||||||||
96. (1) (a) In all machinery spaces, there shall be at least 2 portable fire extinguishers of a type suitable for extinguishing fires involving fuel oil. | ||||||||||||||||||||||||||||||||||||||||||||||||||||||||||||||||||||
(b) If such spaces contain machinery with a total power output of more than 250 kilowatts, there shall be at least 3 such fire extinguishers. | ||||||||||||||||||||||||||||||||||||||||||||||||||||||||||||||||||||
(c) One of the fire extinguishers shall be positioned close to the entrance of the space. | ||||||||||||||||||||||||||||||||||||||||||||||||||||||||||||||||||||
(2) (a) In addition to the requirements of paragraph (1) at least 3 portable fire extinguishers, so situated as to be readily available for use in control rooms, accommodation and service spaces shall be provided. | ||||||||||||||||||||||||||||||||||||||||||||||||||||||||||||||||||||
(b) The extinguishing medium provided in any extinguisher placed in an area of fire risk shall be suitable for the type of fire risk involved. | ||||||||||||||||||||||||||||||||||||||||||||||||||||||||||||||||||||
(c) At least one fire extinguisher and a fire blanket shall be provided for the galley and placed at the entrance where practicable. | ||||||||||||||||||||||||||||||||||||||||||||||||||||||||||||||||||||
(d) In vessels of length less than 21 metres the number of portable fire extinguishers may be reduced to not less than 2. | ||||||||||||||||||||||||||||||||||||||||||||||||||||||||||||||||||||
Fire-extinguishing installations in machinery spaces. | ||||||||||||||||||||||||||||||||||||||||||||||||||||||||||||||||||||
97. (1) (a) Spaces containing main propelling machinery shall be provided with one of the following fire-extinguishing systems, which fulfil the requirements of the FSS Code or the European Communities (Marine Equipment) Regulations 2003 ( S.I. No. 38 of 2003 ) as appropriate: | ||||||||||||||||||||||||||||||||||||||||||||||||||||||||||||||||||||
(i) a pressure water spray installation which may be supplied from the pump required by Regulation 92(2), | ||||||||||||||||||||||||||||||||||||||||||||||||||||||||||||||||||||
(ii) a fixed fire-smothering gas installation, or | ||||||||||||||||||||||||||||||||||||||||||||||||||||||||||||||||||||
(iii) a fire-fighting installation using high-expansion foam. | ||||||||||||||||||||||||||||||||||||||||||||||||||||||||||||||||||||
(b) Other spaces containing internal combustion engines with a total power output of 375 kW or more, oil-fired boilers, including central-heating boilers, incinerators and fuel oil units shall also be provided with such a fire-extinguishing system. | ||||||||||||||||||||||||||||||||||||||||||||||||||||||||||||||||||||
(c) Installations of systems using halogenated hydrocarbons as extinguishing media shall not be used on new or existing vessels. | ||||||||||||||||||||||||||||||||||||||||||||||||||||||||||||||||||||
(d) If the engine and boiler rooms are not completely separated, or if fuel oil can run from the boiler room into the machinery space, the engine and boiler rooms shall be regarded as one room. | ||||||||||||||||||||||||||||||||||||||||||||||||||||||||||||||||||||
(2) (a) The systems referred to in paragraph (1) shall be controlled from a readily accessible location outside the protected space and not likely to be cut off in the event of fire in the protected space. | ||||||||||||||||||||||||||||||||||||||||||||||||||||||||||||||||||||
(b) Measures shall be taken to ensure that there is an adequate supply of energy and extinguishing medium to operate the system in the event of fire in the protected space. | ||||||||||||||||||||||||||||||||||||||||||||||||||||||||||||||||||||
Ready availability of fire-extinguishing appliances. | ||||||||||||||||||||||||||||||||||||||||||||||||||||||||||||||||||||
98. Fire-extinguishing appliances should be kept in good order and continuously available for immediate use at all times when the vessel is in service. | ||||||||||||||||||||||||||||||||||||||||||||||||||||||||||||||||||||
Cleanliness of machinery spaces. | ||||||||||||||||||||||||||||||||||||||||||||||||||||||||||||||||||||
99. (1) (a) Machinery spaces shall be kept clean, free of rubbish and combustible waste. | ||||||||||||||||||||||||||||||||||||||||||||||||||||||||||||||||||||
(b) Bilge levels shall be checked regularly and oily waste and sludge shall be collected and properly disposed of ashore. | ||||||||||||||||||||||||||||||||||||||||||||||||||||||||||||||||||||
(2) Any oil leakage from machinery, fuel or lubricating oil systems shall be promptly identified and rectified. | ||||||||||||||||||||||||||||||||||||||||||||||||||||||||||||||||||||
Fire Control Plan. | ||||||||||||||||||||||||||||||||||||||||||||||||||||||||||||||||||||
100. In every decked vessel, where it is practicable to do so, there shall be permanently exhibited a fire control plan. | ||||||||||||||||||||||||||||||||||||||||||||||||||||||||||||||||||||
Equivalence. | ||||||||||||||||||||||||||||||||||||||||||||||||||||||||||||||||||||
101. Where in this part any special type of appliance, apparatus, extinguishing medium or arrangement is specified, any other type of appliance etc. may be allowed provided that the Minister is satisfied that it is not less effective. | ||||||||||||||||||||||||||||||||||||||||||||||||||||||||||||||||||||
PART 6 | ||||||||||||||||||||||||||||||||||||||||||||||||||||||||||||||||||||
PROTECTION OF THE CREW | ||||||||||||||||||||||||||||||||||||||||||||||||||||||||||||||||||||
General protective measures. | ||||||||||||||||||||||||||||||||||||||||||||||||||||||||||||||||||||
102. (1) Owners shall ensure that their vessels are operated without endangering the safety and health of the crew. | ||||||||||||||||||||||||||||||||||||||||||||||||||||||||||||||||||||
(2) The crew shall be given training and instructions on health and safety matters on board fishing vessels, and in particular, on accident prevention. | ||||||||||||||||||||||||||||||||||||||||||||||||||||||||||||||||||||
(3) The surfaces of decks and of flooring in working spaces on board, such as machinery spaces, galleys, fish handling and deck equipment operating areas, and deck areas at the foot and head of ladders, shall be non-slip or anti-slip and be provided with devices to prevent falls and kept free of obstacles as far as possible. | ||||||||||||||||||||||||||||||||||||||||||||||||||||||||||||||||||||
(4) An adequate system of lifelines shall be provided and it shall be complete with the necessary, wires, ropes, shackles, eyebolts and cleats. At least 2 safety harnesses shall be provided and additional safety harnesses as necessary for all persons who may be required to work on deck. | ||||||||||||||||||||||||||||||||||||||||||||||||||||||||||||||||||||
(5) For vessels being operated single-handed, permanently fixed means shall be provided to allow the operator to climb on board after an accidental fall overboard. | ||||||||||||||||||||||||||||||||||||||||||||||||||||||||||||||||||||
Deck openings. | ||||||||||||||||||||||||||||||||||||||||||||||||||||||||||||||||||||
103. (1) (a) Hinged covers of hatchways, manholes and other openings shall be protected against accidental closing. | ||||||||||||||||||||||||||||||||||||||||||||||||||||||||||||||||||||
(b) Heavy covers on escape hatches shall be equipped with counterweights, and so constructed as to be capable of being opened from each side of the cover. | ||||||||||||||||||||||||||||||||||||||||||||||||||||||||||||||||||||
(2) Dimensions of access hatches shall not be less than 600mm by 500mm or 500mm diameter. | ||||||||||||||||||||||||||||||||||||||||||||||||||||||||||||||||||||
(3) Where practicable, handholds shall be provided above the level of the deck over escape openings. | ||||||||||||||||||||||||||||||||||||||||||||||||||||||||||||||||||||
(4) If there is a risk that any member of the crew may fall through openings in the deck, or from one deck to another, then, so far as is reasonably practicable, adequate protection shall be provided. | ||||||||||||||||||||||||||||||||||||||||||||||||||||||||||||||||||||
(5) (a) Accesses to installations above the deck for operations or maintenance purposes shall be provided with guardrails or similar protective devices to prevent falls and to ensure the crew’s safety. | ||||||||||||||||||||||||||||||||||||||||||||||||||||||||||||||||||||
(b) Where guardrails provide such protection, they shall be of appropriate height. | ||||||||||||||||||||||||||||||||||||||||||||||||||||||||||||||||||||
(6) (a) External hatches and doors shall be closed when the vessel is at sea. | ||||||||||||||||||||||||||||||||||||||||||||||||||||||||||||||||||||
(b) All openings occasionally required to be kept open during fishing and which may lead to flooding shall be closed immediately if such danger of filling occurs with subsequent loss of buoyancy and stability. | ||||||||||||||||||||||||||||||||||||||||||||||||||||||||||||||||||||
(c) Suitable notices shall be permanently attached to such hatches and doors. | ||||||||||||||||||||||||||||||||||||||||||||||||||||||||||||||||||||
Bulwarks, rails and guards. | ||||||||||||||||||||||||||||||||||||||||||||||||||||||||||||||||||||
104. (1) (a) Efficient bulwarks or guardrails shall be fitted on all exposed parts of the working deck and on superstructure and deck erection decks. | ||||||||||||||||||||||||||||||||||||||||||||||||||||||||||||||||||||
(b) The height above deck of any fixed bulwark shall be at least 700mm. | ||||||||||||||||||||||||||||||||||||||||||||||||||||||||||||||||||||
(c) Where the fixed bulwark is less than 1.0m, guard rails supported by adequate portable stanchions or similar means shall be fitted up to a height of 1.0m, provided that where this would interfere with the fishing operations of the vessel, the Minister may accept alternative arrangements. | ||||||||||||||||||||||||||||||||||||||||||||||||||||||||||||||||||||
(2) (a) Clearance below the lowest course of guardrails shall not exceed 230mm. | ||||||||||||||||||||||||||||||||||||||||||||||||||||||||||||||||||||
(b) Other courses shall not be more than 250mm apart, and the distance between stanchions, shall not be more than 1.5m. | ||||||||||||||||||||||||||||||||||||||||||||||||||||||||||||||||||||
(c) In a vessel with rounded gunwales, guardrail supports shall be placed on the flat of the deck. | ||||||||||||||||||||||||||||||||||||||||||||||||||||||||||||||||||||
(d) Rails shall be free from sharp edges and corners and shall be of adequate strength. | ||||||||||||||||||||||||||||||||||||||||||||||||||||||||||||||||||||
(3) (a) Satisfactory means in the form of guard rails, lifelines, gangways or underdeck passages, etc. shall be provided for the protection of the crew in getting to and from their quarters, machinery spaces and other working spaces. | ||||||||||||||||||||||||||||||||||||||||||||||||||||||||||||||||||||
(b) Storm rails shall be fitted on the outside of all deckhouses and casings. | ||||||||||||||||||||||||||||||||||||||||||||||||||||||||||||||||||||
(4) Where practical, having due regard to the need to prevent the retention of water on deck, bulwark heights may be reduced below the minimum prescribed in paragraph (1), to the satisfaction of the Minister. | ||||||||||||||||||||||||||||||||||||||||||||||||||||||||||||||||||||
(5) Where, for the purpose of the fishing operation, the height of a bulwark or guard rail is less than 1.0m as provided for in paragraph (1) or where the effective height has been reduced through the fitting of a net or gear platform at deck level, additional provisions for the safety of the crew working in the area shall be to the satisfaction of the Minister. | ||||||||||||||||||||||||||||||||||||||||||||||||||||||||||||||||||||
(6) Where a net roller is normally incorporated in the structure of a bulwark within the minimum height prescribed for the bulwark, or mounted between stanchions of a guardrail, provision shall be made to protect the area when the roller is not in place. | ||||||||||||||||||||||||||||||||||||||||||||||||||||||||||||||||||||
(7) Where part of a bulwark or guardrail has to be removed for the purpose of the fishing operation, protection for the crew shall be provided at the opening. | ||||||||||||||||||||||||||||||||||||||||||||||||||||||||||||||||||||
(8) (a) On stern trawlers with ramps, the upper part of the ramp shall be fitted with a gate or similar protective guard, of the same height as the bulwarks or adjacent structure, to protect the crew from the risks of falling into the ramp. | ||||||||||||||||||||||||||||||||||||||||||||||||||||||||||||||||||||
(b) This gate or other device shall be capable of being readily opened and closed, preferably by remote means, and shall be open only for shooting or hauling the nets. | ||||||||||||||||||||||||||||||||||||||||||||||||||||||||||||||||||||
(c) Safety harnesses and lines shall be worn when the gate is open. | ||||||||||||||||||||||||||||||||||||||||||||||||||||||||||||||||||||
Stairways and ladders. | ||||||||||||||||||||||||||||||||||||||||||||||||||||||||||||||||||||
105. (1) (a) Stairways and ladders shall be provided for safe working at sea and in port. | ||||||||||||||||||||||||||||||||||||||||||||||||||||||||||||||||||||
(b) They shall be of adequate size and strength. | ||||||||||||||||||||||||||||||||||||||||||||||||||||||||||||||||||||
(c) Means of access to holds, between decks, bunkers and similar parts of a vessel shall consist of fixed ladders or stairs. | ||||||||||||||||||||||||||||||||||||||||||||||||||||||||||||||||||||
(d) Treads of stairways shall be flat and specially prepared to minimise slipping. | ||||||||||||||||||||||||||||||||||||||||||||||||||||||||||||||||||||
(2) (a) Fixed vertical ladders shall be so situated as to be protected from damage and shall be so fitted as to provide clearance of 150mm behind. | ||||||||||||||||||||||||||||||||||||||||||||||||||||||||||||||||||||
(b) The rungs of steel vertical ladders shall be made of square section steel bars with the sharp edge upwards. | ||||||||||||||||||||||||||||||||||||||||||||||||||||||||||||||||||||
(c) Where ladders are constructed with stringers, the rungs shall pass through the stringers. | ||||||||||||||||||||||||||||||||||||||||||||||||||||||||||||||||||||
(d) Handholds shall be provided where rungs or stringers are not suitable for this purpose. | ||||||||||||||||||||||||||||||||||||||||||||||||||||||||||||||||||||
(3) Stairways of more than 1.0m in height shall have handrails or handgrips on both sides. | ||||||||||||||||||||||||||||||||||||||||||||||||||||||||||||||||||||
(4) Emergency escape ladders shall normally be fixed, but if they are portable, they shall be stowed adjacent to the escape area and when required, they shall be secured in place without the use of tools or mechanical aids. | ||||||||||||||||||||||||||||||||||||||||||||||||||||||||||||||||||||
(5) Ladders in machinery spaces shall be at least 450mm wide. | ||||||||||||||||||||||||||||||||||||||||||||||||||||||||||||||||||||
Accommodation ladders and gangways. | ||||||||||||||||||||||||||||||||||||||||||||||||||||||||||||||||||||
106. (1) A gangway or other suitable means, providing an appropriate and safe means of boarding the vessel shall be available. | ||||||||||||||||||||||||||||||||||||||||||||||||||||||||||||||||||||
(2) Accommodation ladders, where fitted, shall be provided with hooks or other suitable fastenings for adequate support and securing against displacement or slipping and be able to be adjusted to the height of the landing place. | ||||||||||||||||||||||||||||||||||||||||||||||||||||||||||||||||||||
Galleys. | ||||||||||||||||||||||||||||||||||||||||||||||||||||||||||||||||||||
107. (1) Galleys shall be provided with guardrails and handrails. | ||||||||||||||||||||||||||||||||||||||||||||||||||||||||||||||||||||
(2) Cooking stoves shall be fitted with guards to retain cooking utensils. | ||||||||||||||||||||||||||||||||||||||||||||||||||||||||||||||||||||
(3) Where food-processing equipment is installed, dangerous parts shall be fitted with permanent safety guards. | ||||||||||||||||||||||||||||||||||||||||||||||||||||||||||||||||||||
Lighting in working spaces and areas. | ||||||||||||||||||||||||||||||||||||||||||||||||||||||||||||||||||||
108. (1) All companionways, doors or other means of access shall be illuminated on both sides of the opening to facilitate safe passage. | ||||||||||||||||||||||||||||||||||||||||||||||||||||||||||||||||||||
(2) All passageways and working spaces and areas shall be provided with adequate artificial lighting. | ||||||||||||||||||||||||||||||||||||||||||||||||||||||||||||||||||||
(3) Glare, dazzle or sudden contrasts of illumination shall be eliminated to the greatest extent possible taking into consideration the need for effective lighting for the safety of the crew on the working deck. | ||||||||||||||||||||||||||||||||||||||||||||||||||||||||||||||||||||
(4) Workplaces in which the crew are especially exposed to risks in the event of failure of artificial lighting shall be provided with emergency lighting of adequate intensity. | ||||||||||||||||||||||||||||||||||||||||||||||||||||||||||||||||||||
(5) Where necessary to prevent danger, electric lamps should be protected by guards. | ||||||||||||||||||||||||||||||||||||||||||||||||||||||||||||||||||||
(6) In order to avoid the stroboscopic effect of fluorescent lighting, double tube lamps or incandescent lighting should be used to illuminate working spaces with revolving machinery. | ||||||||||||||||||||||||||||||||||||||||||||||||||||||||||||||||||||
Ventilation in working and storage spaces. | ||||||||||||||||||||||||||||||||||||||||||||||||||||||||||||||||||||
109. (1) Steps shall be taken to ensure there is sufficient fresh air in enclosed workplaces, having regard to the work methods used and the physical demands that are placed on the crew. | ||||||||||||||||||||||||||||||||||||||||||||||||||||||||||||||||||||
(2) If a mechanical ventilation system is used, it shall be maintained in good condition. | ||||||||||||||||||||||||||||||||||||||||||||||||||||||||||||||||||||
(3) Effective means of ventilation shall be provided to all enclosed spaces that may be entered by persons on board. | ||||||||||||||||||||||||||||||||||||||||||||||||||||||||||||||||||||
(4) Where necessary to safeguard personnel, work places and storage spaces shall be provided with an adequate system of either heating or cooling or both. | ||||||||||||||||||||||||||||||||||||||||||||||||||||||||||||||||||||
Dangerous areas. | ||||||||||||||||||||||||||||||||||||||||||||||||||||||||||||||||||||
110. (1) (a) Dangerous spaces or entrances to such spaces shall be properly illuminated and marked and have warning signs prominently posted. | ||||||||||||||||||||||||||||||||||||||||||||||||||||||||||||||||||||
(b) Retro-reflective and fluorescent materials may be used to increase the conspicuousness. | ||||||||||||||||||||||||||||||||||||||||||||||||||||||||||||||||||||
(c) A notice shall also be posted if a first aid procedure is appropriate. | ||||||||||||||||||||||||||||||||||||||||||||||||||||||||||||||||||||
(2) (a) A notice shall be posted below radar and radio aerials warning that no work shall be undertaken in the vicinity without authorization. | ||||||||||||||||||||||||||||||||||||||||||||||||||||||||||||||||||||
(b) A notice shall also be posted at the operating controls of radar and radio equipment warning the operator that the equipment shall not be started unless it is clear that no one is working near the aerials. | ||||||||||||||||||||||||||||||||||||||||||||||||||||||||||||||||||||
(3) Any working area, designated by the skipper as dangerous or requiring extra care, shall be brought to the attention of the crew at regular briefing sessions on safety and to each new crew member on joining a vessel. | ||||||||||||||||||||||||||||||||||||||||||||||||||||||||||||||||||||
Miscellaneous. | ||||||||||||||||||||||||||||||||||||||||||||||||||||||||||||||||||||
111. (1) Working areas shall be kept clear and, so far as is reasonably practicable, be protected from the sea and provide adequate protection for the crew against falling on the vessel or falling overboard. | ||||||||||||||||||||||||||||||||||||||||||||||||||||||||||||||||||||
(2) Handling areas shall be sufficiently spacious, in terms of both height and surface area. | ||||||||||||||||||||||||||||||||||||||||||||||||||||||||||||||||||||
(3) (a) A portable gas detector shall be carried on board all fishing vessels that carry fish in bulk in their holds to enable the crew to ascertain whether it is safe to enter the fish-holds. | ||||||||||||||||||||||||||||||||||||||||||||||||||||||||||||||||||||
(b) A portable gas detector to test for leakage of refrigerant shall also be carried in a fishing vessel fitted with refrigeration machinery. | ||||||||||||||||||||||||||||||||||||||||||||||||||||||||||||||||||||
(4) (a) All members of the crew shall be informed of all measures to be taken regarding health and safety on board the vessel. | ||||||||||||||||||||||||||||||||||||||||||||||||||||||||||||||||||||
(b) The persons concerned should easily understand such information. | ||||||||||||||||||||||||||||||||||||||||||||||||||||||||||||||||||||
(5) Vessels that carry either or both cargo and fishing equipment either on deck or atop deckhouses shall carry on board clear instructions in relation to— | ||||||||||||||||||||||||||||||||||||||||||||||||||||||||||||||||||||
(a) the provisions in the stability booklet covering conditions of loading at various freeboards, | ||||||||||||||||||||||||||||||||||||||||||||||||||||||||||||||||||||
(b) permitted loading conditions relative to weather conditions, | ||||||||||||||||||||||||||||||||||||||||||||||||||||||||||||||||||||
(c) ensuring that cargo or fishing gear is not stowed in a manner that would obscure view from the bridge or obscure navigation lights and signals, and | ||||||||||||||||||||||||||||||||||||||||||||||||||||||||||||||||||||
(d) ensuring that access to and the operation of essential equipment and machinery is not impeded. | ||||||||||||||||||||||||||||||||||||||||||||||||||||||||||||||||||||
PART 7 | ||||||||||||||||||||||||||||||||||||||||||||||||||||||||||||||||||||
LIFE-SAVING APPLIANCES AND ARRANGEMENTS | ||||||||||||||||||||||||||||||||||||||||||||||||||||||||||||||||||||
Definitions. | ||||||||||||||||||||||||||||||||||||||||||||||||||||||||||||||||||||
112. In this Part— | ||||||||||||||||||||||||||||||||||||||||||||||||||||||||||||||||||||
“float-free launching” means that method of launching a survival craft whereby the craft is automatically released from a sinking vessel and is ready for use; | ||||||||||||||||||||||||||||||||||||||||||||||||||||||||||||||||||||
“free-fall launching” means that method of launching a survival craft whereby the craft with its complement of persons and equipment on board is released and allowed to fall into the sea without any restraining apparatus; | ||||||||||||||||||||||||||||||||||||||||||||||||||||||||||||||||||||
“inflatable appliance” means an appliance which depends upon non-rigid, gas-filled chambers for buoyancy and which is normally kept uninflated until ready for use; | ||||||||||||||||||||||||||||||||||||||||||||||||||||||||||||||||||||
“inflated appliance” means an appliance which depends upon non-rigid, gas-filled chamber for buoyancy and which is kept inflated and ready for use at all times; | ||||||||||||||||||||||||||||||||||||||||||||||||||||||||||||||||||||
“launching appliance or arrangements” means a means of transferring a survival craft or rescue boat from its stowed position safely to the water; | ||||||||||||||||||||||||||||||||||||||||||||||||||||||||||||||||||||
“novel life-saving appliance or arrangement” is a life-saving appliance or arrangement which embodies new features not fully covered by the provisions of this chapter but which provides an equal or higher standard of safety; | ||||||||||||||||||||||||||||||||||||||||||||||||||||||||||||||||||||
“rescue boat” means a boat designed to rescue persons in distress and to marshal survival craft; | ||||||||||||||||||||||||||||||||||||||||||||||||||||||||||||||||||||
“retro-reflective material” means a material which reflects in the opposite direction a beam of light directed on it; | ||||||||||||||||||||||||||||||||||||||||||||||||||||||||||||||||||||
“survival craft” means a craft capable of sustaining the lives of persons in distress from the time of abandoning the vessel. | ||||||||||||||||||||||||||||||||||||||||||||||||||||||||||||||||||||
Evaluation, testing and approval of life-saving appliances and arrangements. | ||||||||||||||||||||||||||||||||||||||||||||||||||||||||||||||||||||
113. (1) Except as provided in paragraph (2) life-saving appliances and arrangements required by this Part shall comply with the Protocol or the Standards of the International Life-Saving Appliance Code of the International Maritime Organisation (Resolution MSC.48/66) and be tested in accordance with the requirements of the European Communities (Marine Equipment) Regulations 2003 ( S.I. No. 38 of 2003 ), which includes the IMO Recommendations on Testing of Life-Saving Appliances. | ||||||||||||||||||||||||||||||||||||||||||||||||||||||||||||||||||||
(2) The Minister may give approval to novel life-saving appliances or arrangements, provided that such appliances or arrangements- | ||||||||||||||||||||||||||||||||||||||||||||||||||||||||||||||||||||
(a) provide safety standards at least equivalent to the requirements of this chapter and the applicable provisions of the Protocol and have been evaluated and tested in accordance with the recommendations of the IMO, or | ||||||||||||||||||||||||||||||||||||||||||||||||||||||||||||||||||||
(b) have successfully undergone, to the satisfaction of the Minister, evaluation and tests which are substantially equivalent to those recommendations. | ||||||||||||||||||||||||||||||||||||||||||||||||||||||||||||||||||||
Number and types of survival craft. | ||||||||||||||||||||||||||||||||||||||||||||||||||||||||||||||||||||
114. (1) (a) Every vessel of 17 metres in length and over but less than 24 metres in length shall carry at least 2 liferafts of sufficient aggregate capacity to accommodate twice the number of persons on board. | ||||||||||||||||||||||||||||||||||||||||||||||||||||||||||||||||||||
(b) The liferafts shall be so stowed that they can be readily transferred to the water on either side of the vessel. | ||||||||||||||||||||||||||||||||||||||||||||||||||||||||||||||||||||
(2) (a) Every vessel of 15 metres in length overall (Loa) and over but less than 17 metres in length shall carry one or more liferafts of sufficient aggregate capacity to accommodate the total number of persons on board. | ||||||||||||||||||||||||||||||||||||||||||||||||||||||||||||||||||||
(b) The liferafts shall be so stowed that they can be readily transferred to the water on either side of the vessel. | ||||||||||||||||||||||||||||||||||||||||||||||||||||||||||||||||||||
(3) Every vessel shall carry adequate means of recovering persons from the water. | ||||||||||||||||||||||||||||||||||||||||||||||||||||||||||||||||||||
Availability and stowage of survival craft. | ||||||||||||||||||||||||||||||||||||||||||||||||||||||||||||||||||||
115. (1) Survival craft shall be— | ||||||||||||||||||||||||||||||||||||||||||||||||||||||||||||||||||||
(a) (i) readily available in case of emergency, and | ||||||||||||||||||||||||||||||||||||||||||||||||||||||||||||||||||||
(ii) capable of being launched safely and rapidly, and | ||||||||||||||||||||||||||||||||||||||||||||||||||||||||||||||||||||
(b) so stowed that— | ||||||||||||||||||||||||||||||||||||||||||||||||||||||||||||||||||||
(i) the marshalling of persons at the embarkation deck is not impeded, | ||||||||||||||||||||||||||||||||||||||||||||||||||||||||||||||||||||
(ii) their prompt handling is not impeded, | ||||||||||||||||||||||||||||||||||||||||||||||||||||||||||||||||||||
(iii) embarkation can be effected rapidly and in good order, and | ||||||||||||||||||||||||||||||||||||||||||||||||||||||||||||||||||||
(iv) the operation of any other survival craft is not interfered with. | ||||||||||||||||||||||||||||||||||||||||||||||||||||||||||||||||||||
(2) Survival craft and launching appliances shall be in working order and available for immediate use before the vessel leaves port and kept so at all times when at sea. | ||||||||||||||||||||||||||||||||||||||||||||||||||||||||||||||||||||
(3) Every lifeboat, inflated boat or rescue boat, where carried, shall be attached to a separate set of davits or approved launching appliance. | ||||||||||||||||||||||||||||||||||||||||||||||||||||||||||||||||||||
(4) (a) Survival craft shall be positioned as close to accommodation and service spaces as possible, stowed in suitable positions to ensure safe launching, with particular regard to clearance from the propeller. | ||||||||||||||||||||||||||||||||||||||||||||||||||||||||||||||||||||
(b) Lifeboats for lowering down the vessel’s side shall be stowed with regard to steeply overhanging portions of the hull, so ensuring, as far as practicable, that they can be launched down the straight side of the vessel. | ||||||||||||||||||||||||||||||||||||||||||||||||||||||||||||||||||||
(c) If positioned forward, they shall be stowed abaft the collision bulkhead in a sheltered position and in this respect the Minister shall give special consideration to the strength of the davits. | ||||||||||||||||||||||||||||||||||||||||||||||||||||||||||||||||||||
(5) Liferafts shall be so stowed as to be readily available in case of emergency in such a manner as to permit them to float free from their stowage, inflate and break free from the vessel in the event of its sinking. | ||||||||||||||||||||||||||||||||||||||||||||||||||||||||||||||||||||
(6) All inflatable liferafts shall be fitted with Hydrostatic Release Units of an approved type. | ||||||||||||||||||||||||||||||||||||||||||||||||||||||||||||||||||||
(7) The Minister, if satisfied that the constructional features of the vessel and the method of fishing operation may render it unreasonable and impractical to apply particular provisions of this Regulation, may accept relaxations from such provisions, provided that the vessel is fitted with alternative launching and recovering arrangements adequate for the service for which it is intended. | ||||||||||||||||||||||||||||||||||||||||||||||||||||||||||||||||||||
Embarkation into survival craft. | ||||||||||||||||||||||||||||||||||||||||||||||||||||||||||||||||||||
116. Suitable arrangements shall be made for embarkation into the survival craft, which shall include: | ||||||||||||||||||||||||||||||||||||||||||||||||||||||||||||||||||||
(a) at least one ladder, or other approved means, on each side of the vessel to afford access to the survival craft when waterborne except where the Minister is satisfied that the distance from the point of embarkation to the waterborne survival craft is such that a ladder is unnecessary, | ||||||||||||||||||||||||||||||||||||||||||||||||||||||||||||||||||||
(b) means for illuminating the stowage position of survival craft and their launching appliances during preparation for and the process of launching, and also for illuminating the water into which the survival craft are launched until the process of launching is completed, the power for which to be supplied from the emergency source required by Regulation 66, | ||||||||||||||||||||||||||||||||||||||||||||||||||||||||||||||||||||
(c) arrangements for warning all persons on board that the vessel is about to be abandoned, and | ||||||||||||||||||||||||||||||||||||||||||||||||||||||||||||||||||||
(d) means for preventing any discharge of water into the survival craft. | ||||||||||||||||||||||||||||||||||||||||||||||||||||||||||||||||||||
Lifejackets. | ||||||||||||||||||||||||||||||||||||||||||||||||||||||||||||||||||||
117. (1) A lifejacket of an approved type shall be carried for every person on board plus an additional 2 lifejackets. | ||||||||||||||||||||||||||||||||||||||||||||||||||||||||||||||||||||
(2) Each lifejacket shall be fitted with a lifejacket light of an approved type. | ||||||||||||||||||||||||||||||||||||||||||||||||||||||||||||||||||||
(3) Lifejackets shall be so placed as to be readily accessible and their position shall be plainly indicated. | ||||||||||||||||||||||||||||||||||||||||||||||||||||||||||||||||||||
Immersion suits. | ||||||||||||||||||||||||||||||||||||||||||||||||||||||||||||||||||||
118. (1) An approved type immersion suit, of an appropriate size, shall be provided for every person on board. | ||||||||||||||||||||||||||||||||||||||||||||||||||||||||||||||||||||
(2) Immersion suits shall be placed as to be readily accessible and their position shall be clearly indicated. | ||||||||||||||||||||||||||||||||||||||||||||||||||||||||||||||||||||
Lifebuoys. | ||||||||||||||||||||||||||||||||||||||||||||||||||||||||||||||||||||
119. (1) Every vessel of 17 metres in length and over but less than 24 metres in length shall carry at least 4 lifebuoys of an approved type which shall comply with the following provisions: | ||||||||||||||||||||||||||||||||||||||||||||||||||||||||||||||||||||
(a) half the lifebuoys carried shall have self-igniting lights attached. Two of the lifebuoys having such lights attached shall be provided with self-activating smoke signals capable of producing smoke of a highly visible colour for at least 15 minutes, | ||||||||||||||||||||||||||||||||||||||||||||||||||||||||||||||||||||
(b) one lifebuoy on each side of the vessel shall have attached to it a buoyant line of at least 30 metres in length but any such lifebuoy having a line attached shall not have a self-igniting light, and | ||||||||||||||||||||||||||||||||||||||||||||||||||||||||||||||||||||
(c) the 2 lifebuoys equipped with self-igniting lights and self-activating smoke signals shall be carried one on each side of the navigating bridge and, if reasonably practicable, so fitted as to be capable of quick release. | ||||||||||||||||||||||||||||||||||||||||||||||||||||||||||||||||||||
(2) Every vessel of 15 metres in length overall (Loa) and over but less than 17 metres in length shall carry at least 2 lifebuoys of an approved type which shall comply with the following provisions: | ||||||||||||||||||||||||||||||||||||||||||||||||||||||||||||||||||||
(a) one of the lifebuoys carried shall have a self-igniting light attached, which shall be provided with a self-activating smoke signal capable of producing smoke of a highly visible colour for at least 15 minutes; and | ||||||||||||||||||||||||||||||||||||||||||||||||||||||||||||||||||||
(b) one lifebuoy shall have attached to it a buoyant line of at least 15 metres in length but any such lifebuoy having a line attached shall not have a self-igniting light; | ||||||||||||||||||||||||||||||||||||||||||||||||||||||||||||||||||||
(3) Every lifebuoy shall be clearly marked with the vessels name and port of registry. | ||||||||||||||||||||||||||||||||||||||||||||||||||||||||||||||||||||
(4) All lifebuoys shall be so placed as to be readily accessible to the persons on board and shall always be capable of being rapidly cast loose and shall not be permanently secured in any way. | ||||||||||||||||||||||||||||||||||||||||||||||||||||||||||||||||||||
Line throwing appliances. | ||||||||||||||||||||||||||||||||||||||||||||||||||||||||||||||||||||
120. Every vessel shall carry a line-throwing appliance of an approved type. | ||||||||||||||||||||||||||||||||||||||||||||||||||||||||||||||||||||
Distress signals. | ||||||||||||||||||||||||||||||||||||||||||||||||||||||||||||||||||||
121. (1) Every vessel shall be provided with means of making effective distress signals by day and by night, including at least 12 rocket parachute flares. | ||||||||||||||||||||||||||||||||||||||||||||||||||||||||||||||||||||
(2) (a) Distress signals shall be of an approved type. | ||||||||||||||||||||||||||||||||||||||||||||||||||||||||||||||||||||
(b) They shall be packed in a watertight container so placed as to be readily accessible and their position shall be plainly indicated. | ||||||||||||||||||||||||||||||||||||||||||||||||||||||||||||||||||||
Radio life-saving appliances. | ||||||||||||||||||||||||||||||||||||||||||||||||||||||||||||||||||||
122. (1) Every vessel of 17 metres in length and over but less than 24 metres in length shall carry at least 2 portable two-way VHF radiotelephone apparatus, of an approved type. | ||||||||||||||||||||||||||||||||||||||||||||||||||||||||||||||||||||
(2) Every vessel of 15 metres in length overall (Loa) and over but less than 17 metres in length shall carry at least one portable two-way VHF radiotelephone apparatus, of an approved type. | ||||||||||||||||||||||||||||||||||||||||||||||||||||||||||||||||||||
(3) The portable VHF radiotelephones, required by paragraphs (1) or (2), shall: | ||||||||||||||||||||||||||||||||||||||||||||||||||||||||||||||||||||
(a) be waterproof, and capable of transmitting and receiving radiotelephony on the frequencies 156.300 MHz (Channel 6), 156.650 MHz (Channel 13) and 156.800 MHz (Channel 16); | ||||||||||||||||||||||||||||||||||||||||||||||||||||||||||||||||||||
(b) be located in a readily accessible position in the wheelhouse, and | ||||||||||||||||||||||||||||||||||||||||||||||||||||||||||||||||||||
(c) have a fully charged power pack available at all times while the vessel is at sea. | ||||||||||||||||||||||||||||||||||||||||||||||||||||||||||||||||||||
Radar transponders. | ||||||||||||||||||||||||||||||||||||||||||||||||||||||||||||||||||||
123. At least one approved type radar transponder shall be carried on every vessel. It shall be stowed in a location such that it can be rapidly placed in any survival craft. | ||||||||||||||||||||||||||||||||||||||||||||||||||||||||||||||||||||
Retro-reflective materials on life-saving appliances. | ||||||||||||||||||||||||||||||||||||||||||||||||||||||||||||||||||||
124. All survival craft, rescue boats, lifejackets, immersion suits and lifebuoys shall be fitted with retro-reflective material in accordance with the recommendations of IMO. | ||||||||||||||||||||||||||||||||||||||||||||||||||||||||||||||||||||
Marking of lifeboats, rescue boats and liferafts. | ||||||||||||||||||||||||||||||||||||||||||||||||||||||||||||||||||||
125. Every lifeboat, rescue boat and liferaft shall be clearly marked in permanent characters with the markings prescribed by the International Life-Saving Appliance Code. | ||||||||||||||||||||||||||||||||||||||||||||||||||||||||||||||||||||
Operational readiness, maintenance and inspections. | ||||||||||||||||||||||||||||||||||||||||||||||||||||||||||||||||||||
126. (1) Operational readiness | ||||||||||||||||||||||||||||||||||||||||||||||||||||||||||||||||||||
Before the vessel leaves port and at all times during the voyage, all life-saving appliances shall be in working order and ready for immediate use. | ||||||||||||||||||||||||||||||||||||||||||||||||||||||||||||||||||||
(2) Maintenance | ||||||||||||||||||||||||||||||||||||||||||||||||||||||||||||||||||||
(a) Instructions for on-board maintenance of life-saving appliances shall be provided and maintenance shall be carried out accordingly. | ||||||||||||||||||||||||||||||||||||||||||||||||||||||||||||||||||||
(b) The Minister may accept, in lieu of the instructions required by subparagraph (a), a shipboard planned maintenance programme. | ||||||||||||||||||||||||||||||||||||||||||||||||||||||||||||||||||||
(3) Maintenance of falls | ||||||||||||||||||||||||||||||||||||||||||||||||||||||||||||||||||||
Falls used in launching shall be turned end for end at intervals of not more than 30 months and be renewed when necessary due to deterioration of the falls or at intervals of not more than 5 years, whichever is the earlier. | ||||||||||||||||||||||||||||||||||||||||||||||||||||||||||||||||||||
(4) Spares and repair equipment | ||||||||||||||||||||||||||||||||||||||||||||||||||||||||||||||||||||
Spares and repair equipment shall be provided for life-saving appliances and their components which are subject to excessive wear or consumption and need to be replaced regularly. | ||||||||||||||||||||||||||||||||||||||||||||||||||||||||||||||||||||
(5) Weekly inspection | ||||||||||||||||||||||||||||||||||||||||||||||||||||||||||||||||||||
The following tests and inspections shall be carried out weekly— | ||||||||||||||||||||||||||||||||||||||||||||||||||||||||||||||||||||
(a) all survival craft and launching appliances shall be visually inspected to ensure that they are ready for use, | ||||||||||||||||||||||||||||||||||||||||||||||||||||||||||||||||||||
(b) all engines in lifeboats shall be run ahead and astern for a total period of not less than 3 minutes provided the ambient temperature is above the minimum temperature required for starting the engine, and | ||||||||||||||||||||||||||||||||||||||||||||||||||||||||||||||||||||
(c) the general emergency alarm system shall be tested. | ||||||||||||||||||||||||||||||||||||||||||||||||||||||||||||||||||||
(6) Monthly inspections | ||||||||||||||||||||||||||||||||||||||||||||||||||||||||||||||||||||
(a) Inspection of the life-saving appliances, including lifeboat equipment, is to be carried out monthly, using a checklist to ensure that they are complete and in good order. | ||||||||||||||||||||||||||||||||||||||||||||||||||||||||||||||||||||
(b) A report of the inspection is to be entered in the logbook. | ||||||||||||||||||||||||||||||||||||||||||||||||||||||||||||||||||||
(7) Servicing of inflatable liferafts, inflatable lifejackets. | ||||||||||||||||||||||||||||||||||||||||||||||||||||||||||||||||||||
Every inflatable liferaft and inflatable lifejacket shall be serviced as follows: | ||||||||||||||||||||||||||||||||||||||||||||||||||||||||||||||||||||
(a) at intervals not exceeding 12 months. In cases where it appears proper and reasonable, the Minister may extend this period to 17 months; | ||||||||||||||||||||||||||||||||||||||||||||||||||||||||||||||||||||
(b) at an approved servicing station which is competent to service them, maintains proper servicing facilities and uses only properly trained personnel. | ||||||||||||||||||||||||||||||||||||||||||||||||||||||||||||||||||||
(8) Periodic servicing of hydrostatic release units. | ||||||||||||||||||||||||||||||||||||||||||||||||||||||||||||||||||||
Hydrostatic release units, other than disposable hydrostatic release units, shall be serviced as follows: | ||||||||||||||||||||||||||||||||||||||||||||||||||||||||||||||||||||
(a) at intervals not exceeding l2 months. In cases where it appears proper and reasonable, the Minister may extend this period to 17 months; | ||||||||||||||||||||||||||||||||||||||||||||||||||||||||||||||||||||
(b) at a servicing station which is competent to service them, maintains proper servicing facilities and uses only properly trained personnel. | ||||||||||||||||||||||||||||||||||||||||||||||||||||||||||||||||||||
Miscellaneous. | ||||||||||||||||||||||||||||||||||||||||||||||||||||||||||||||||||||
127. To facilitate aerial rescue operations, the wheelhouse top or other prominent horizontal surface shall be painted in a highly visible colour and shall bear the vessel’s registration or other identification marks in letters and numerals in contrasting colours. | ||||||||||||||||||||||||||||||||||||||||||||||||||||||||||||||||||||
PART 8 | ||||||||||||||||||||||||||||||||||||||||||||||||||||||||||||||||||||
EMERGENCY PROCEDURES, MUSTERS AND DRILLS | ||||||||||||||||||||||||||||||||||||||||||||||||||||||||||||||||||||
General emergency alarm system, muster list and emergency instructions. | ||||||||||||||||||||||||||||||||||||||||||||||||||||||||||||||||||||
128. (1) (a) The general emergency alarm system shall be capable of sounding the general alarm signal consisting of 7 or more short blasts followed by one long blast on the vessel’s whistle or siren and additionally on an electrically operated bell or klaxon or other equivalent warning system which shall be powered from the vessel’s main supply and the emergency source of electrical power required by Regulation 66. | ||||||||||||||||||||||||||||||||||||||||||||||||||||||||||||||||||||
(b) As an alternative, an appropriate manual system may be used on vessels of a length less than 17m. | ||||||||||||||||||||||||||||||||||||||||||||||||||||||||||||||||||||
(2) All vessels shall be provided with clear instructions, for each crew member, which shall be followed in case of emergency. | ||||||||||||||||||||||||||||||||||||||||||||||||||||||||||||||||||||
(3) A muster list shall be posted up in several parts of the vessel and, in particular, in the wheelhouse, the engine room and in the crew accommodation and shall include the information specified in paragraphs (4), (5), (6), (7) and (8). | ||||||||||||||||||||||||||||||||||||||||||||||||||||||||||||||||||||
(4) (a) The muster list shall specify details of the general alarm signal prescribed by paragraph (1) and also the action to be taken by the crew when this alarm is sounded. | ||||||||||||||||||||||||||||||||||||||||||||||||||||||||||||||||||||
(b) The muster list shall also specify how the order to abandon ship will be given. | ||||||||||||||||||||||||||||||||||||||||||||||||||||||||||||||||||||
(5) The muster list shall show the duties assigned to the different members of the crew including- | ||||||||||||||||||||||||||||||||||||||||||||||||||||||||||||||||||||
(a) closing of watertight doors, fire doors, valves, scuppers, overboard chutes, sidescuttles, skylights, portholes and other similar openings in the vessel, | ||||||||||||||||||||||||||||||||||||||||||||||||||||||||||||||||||||
(b) equipping the survival craft and other life-saving appliances, | ||||||||||||||||||||||||||||||||||||||||||||||||||||||||||||||||||||
(c) preparation and launching of survival craft, | ||||||||||||||||||||||||||||||||||||||||||||||||||||||||||||||||||||
(d) general preparation of other life-saving appliances, | ||||||||||||||||||||||||||||||||||||||||||||||||||||||||||||||||||||
(e) use of communication equipment, and | ||||||||||||||||||||||||||||||||||||||||||||||||||||||||||||||||||||
(f) manning of fire parties assigned to deal with fires. | ||||||||||||||||||||||||||||||||||||||||||||||||||||||||||||||||||||
(6) The Minister may permit relaxation of the requirements of paragraph (5) if satisfied that, due to the small number of crew members, no muster list is necessary. | ||||||||||||||||||||||||||||||||||||||||||||||||||||||||||||||||||||
(7) The muster list shall specify which of the crew members are assigned to ensure that the life-saving and fire appliances are maintained in good condition and are ready for immediate use. | ||||||||||||||||||||||||||||||||||||||||||||||||||||||||||||||||||||
(8) (a) The muster list shall be prepared before the vessel proceeds to sea. | ||||||||||||||||||||||||||||||||||||||||||||||||||||||||||||||||||||
(b) After the muster list has been prepared, if any change takes place in the crew which necessitates an alteration in the muster list, the skipper shall either revise the list or prepare a new list. | ||||||||||||||||||||||||||||||||||||||||||||||||||||||||||||||||||||
Abandon ship training and drills. | ||||||||||||||||||||||||||||||||||||||||||||||||||||||||||||||||||||
129. Practice musters and drills | ||||||||||||||||||||||||||||||||||||||||||||||||||||||||||||||||||||
(1) (a) Each member of the crew shall participate in at least one abandon ship drill and one fire drill every month. | ||||||||||||||||||||||||||||||||||||||||||||||||||||||||||||||||||||
(b) Each abandon ship drill shall include- | ||||||||||||||||||||||||||||||||||||||||||||||||||||||||||||||||||||
(i) summoning of crew to muster stations with the general emergency alarm and ensuring that they are made aware of the order to abandon ship specified in the muster list, | ||||||||||||||||||||||||||||||||||||||||||||||||||||||||||||||||||||
(ii) reporting to stations and preparing for the duties described in the muster list, | ||||||||||||||||||||||||||||||||||||||||||||||||||||||||||||||||||||
(iii) checking that crew are suitably dressed, and | ||||||||||||||||||||||||||||||||||||||||||||||||||||||||||||||||||||
(iv) checking that lifejackets are correctly donned. | ||||||||||||||||||||||||||||||||||||||||||||||||||||||||||||||||||||
(c) Each fire drill shall include- | ||||||||||||||||||||||||||||||||||||||||||||||||||||||||||||||||||||
(i) reporting to stations and preparing for the duties described in the fire muster list, | ||||||||||||||||||||||||||||||||||||||||||||||||||||||||||||||||||||
(ii) starting of a fire pump, using at least the required jets of water to show that the system is in proper working order, | ||||||||||||||||||||||||||||||||||||||||||||||||||||||||||||||||||||
(iii) checking of fireman’s axe and other personal rescue equipment, | ||||||||||||||||||||||||||||||||||||||||||||||||||||||||||||||||||||
(iv) checking of relevant communication equipment, | ||||||||||||||||||||||||||||||||||||||||||||||||||||||||||||||||||||
(v) checking the operation of watertight doors, fire doors, fire dampers and means of escape, and | ||||||||||||||||||||||||||||||||||||||||||||||||||||||||||||||||||||
(vi) checking the necessary arrangements for subsequent abandoning of the vessel. | ||||||||||||||||||||||||||||||||||||||||||||||||||||||||||||||||||||
(d) Drills shall, as far as practicable, be conducted as if there were an actual emergency. | ||||||||||||||||||||||||||||||||||||||||||||||||||||||||||||||||||||
(e) Emergency lighting for mustering and abandonment shall be tested at each abandon ship drill. | ||||||||||||||||||||||||||||||||||||||||||||||||||||||||||||||||||||
(f) (i) The drills may be adjusted according to the relevant equipment required by these Regulations. | ||||||||||||||||||||||||||||||||||||||||||||||||||||||||||||||||||||
(ii) If equipment is carried on a voluntary basis, it shall be used in the drills and the drills shall be adjusted accordingly. | ||||||||||||||||||||||||||||||||||||||||||||||||||||||||||||||||||||
(g) The drills of the crew shall take place within 24 hours of the vessel leaving a port if more than 25% of the crew have not participated in abandon ship and fire drills on board that particular vessel in the previous muster. | ||||||||||||||||||||||||||||||||||||||||||||||||||||||||||||||||||||
(h) The Minister may accept other arrangements that are at least equivalent for those classes of vessel for which this is impracticable. | ||||||||||||||||||||||||||||||||||||||||||||||||||||||||||||||||||||
On-board training and instructions | ||||||||||||||||||||||||||||||||||||||||||||||||||||||||||||||||||||
(2) (a) On-board training in the use of the vessel’s life-saving appliances, including survival craft equipment, shall be given as soon as possible but not later than 2 weeks after a crew member joins the vessel. If the crew member is on a regularly scheduled rotating assignment to the vessel, such training shall be given not later than 2 weeks after the time of first joining the vessel. | ||||||||||||||||||||||||||||||||||||||||||||||||||||||||||||||||||||
(b) Instructions in the use of the vessel’s life-saving appliances and in survival at sea shall be given at the same intervals as the drills. Individual instruction may cover different parts of the vessel’s life-saving system, but all the vessel’s life-saving equipment and appliances shall be covered within any period of 2 months. Each member of the crew shall be given instructions which shall include but not necessarily be limited to— | ||||||||||||||||||||||||||||||||||||||||||||||||||||||||||||||||||||
(i) operation and use of the vessel’s inflatable liferafts, including precautions concerning nailed shoes and other sharp objects, | ||||||||||||||||||||||||||||||||||||||||||||||||||||||||||||||||||||
(ii) problems of hypothermia, first-aid treatment for hypothermia and other appropriate first-aid procedures, and | ||||||||||||||||||||||||||||||||||||||||||||||||||||||||||||||||||||
(iii) special instructions necessary for use of the vessel’s life-saving appliances in severe weather and severe sea conditions. | ||||||||||||||||||||||||||||||||||||||||||||||||||||||||||||||||||||
Records | ||||||||||||||||||||||||||||||||||||||||||||||||||||||||||||||||||||
(3) The date when musters are held, details of abandon ship drills and fire drills, drills of other life-saving appliances and on-board training shall be recorded in the logbook. | ||||||||||||||||||||||||||||||||||||||||||||||||||||||||||||||||||||
Training manual | ||||||||||||||||||||||||||||||||||||||||||||||||||||||||||||||||||||
(4) (a) A training manual shall be provided. | ||||||||||||||||||||||||||||||||||||||||||||||||||||||||||||||||||||
(b) The training manual, which may comprise several volumes, shall contain instructions and information, in easily understood terms illustrated wherever possible, on the life-saving appliances provided in the vessel and on the best methods of survival. | ||||||||||||||||||||||||||||||||||||||||||||||||||||||||||||||||||||
(c) Any part of such information may be provided in the form of audio-visual aids in lieu of the manual. | ||||||||||||||||||||||||||||||||||||||||||||||||||||||||||||||||||||
(d) The provisions of Regulation VIII/3(4) of the Protocol may be used as guidance when determining the content of the training manual. | ||||||||||||||||||||||||||||||||||||||||||||||||||||||||||||||||||||
Training in emergency procedures. | ||||||||||||||||||||||||||||||||||||||||||||||||||||||||||||||||||||
130. The skipper shall ensure that the crew are trained in the use of all life-saving and fire appliances and equipment with which the vessel is provided and shall ensure that all members of the crew know where the equipment is stowed and such training shall be carried out at intervals of not more than one month. | ||||||||||||||||||||||||||||||||||||||||||||||||||||||||||||||||||||
Inspections. | ||||||||||||||||||||||||||||||||||||||||||||||||||||||||||||||||||||
131. (a) Inspections of the life-saving equipment and fire appliances shall be made at intervals of not more than one month. | ||||||||||||||||||||||||||||||||||||||||||||||||||||||||||||||||||||
(b) A report of the inspection shall be entered in the logbook. | ||||||||||||||||||||||||||||||||||||||||||||||||||||||||||||||||||||
PART 9 | ||||||||||||||||||||||||||||||||||||||||||||||||||||||||||||||||||||
RADIOCOMMUNICATIONS | ||||||||||||||||||||||||||||||||||||||||||||||||||||||||||||||||||||
Definitions. | ||||||||||||||||||||||||||||||||||||||||||||||||||||||||||||||||||||
132. In this Part— | ||||||||||||||||||||||||||||||||||||||||||||||||||||||||||||||||||||
“assigned frequency” means the centre of a frequency band assigned in accordance with the Radio Regulations; | ||||||||||||||||||||||||||||||||||||||||||||||||||||||||||||||||||||
“bridge-to-bridge communications” means communications between vessels from the positions from which the vessels are normally navigated; | ||||||||||||||||||||||||||||||||||||||||||||||||||||||||||||||||||||
“continuous watch” means a radio watch that is not interrupted or is interrupted only for brief intervals when the vessels receiving capability is impaired or blocked by its own communications or when the facilities are under periodical maintenance or checks; | ||||||||||||||||||||||||||||||||||||||||||||||||||||||||||||||||||||
“digital selective calling” and “DSC” mean a technique using digital codes which enables a radio station to establish contact with, and transfer information to, another station or group of stations, and complying with the relevant recommendations as specified by the Minister; | ||||||||||||||||||||||||||||||||||||||||||||||||||||||||||||||||||||
“direct-printing telegraphy” means automated telegraphy techniques which comply with the relevant recommendations as specified by the Minister; | ||||||||||||||||||||||||||||||||||||||||||||||||||||||||||||||||||||
“general radio communications” means operational and public correspondence traffic, other than distress, urgency and safety messages, conducted by radio; | ||||||||||||||||||||||||||||||||||||||||||||||||||||||||||||||||||||
“High Frequency” and “HF” mean the frequency spectrum between 3000 kHz and 30 MHz; | ||||||||||||||||||||||||||||||||||||||||||||||||||||||||||||||||||||
“INMARSAT” means the Organization established by the Convention on the International Maritime Satellite Organization (INMARSAT) done in London on the 3rd day of September, 1976; | ||||||||||||||||||||||||||||||||||||||||||||||||||||||||||||||||||||
“International NAVTEX Service” means the co-ordinated broadcast and automatic reception on 518 kHz of maritime safety information by means of narrow-band direct-printing telegraphy using the English language; | ||||||||||||||||||||||||||||||||||||||||||||||||||||||||||||||||||||
“locating” means the finding of ships, aircraft, units or persons in distress; | ||||||||||||||||||||||||||||||||||||||||||||||||||||||||||||||||||||
“maritime safety information” means navigational and meteorological warnings, meteorological forecasts and other urgent safety related messages broadcast to ships; | ||||||||||||||||||||||||||||||||||||||||||||||||||||||||||||||||||||
“Medium Frequency” and “MF” mean the frequency spectrum between 300 kHz and 3000 kHz; | ||||||||||||||||||||||||||||||||||||||||||||||||||||||||||||||||||||
“Marine Notice” means a Notice described as such, issued by the Department of Transport; | ||||||||||||||||||||||||||||||||||||||||||||||||||||||||||||||||||||
“polar orbiting satellite service” means a service which is based on polar orbiting satellites which receive and relay distress alerts from satellite emergency position-indicating radio beacons (satellite EPIRBs) and which provides their position; | ||||||||||||||||||||||||||||||||||||||||||||||||||||||||||||||||||||
“radar transponder” means a survival craft radar transponder for search and rescue between ships or aircraft and survival craft; | ||||||||||||||||||||||||||||||||||||||||||||||||||||||||||||||||||||
“radio communication” means telecommunication by means of radio waves; | ||||||||||||||||||||||||||||||||||||||||||||||||||||||||||||||||||||
“radio communication service” means a service as defined in the Radio Regulations involving the transmission, emission or reception of radio waves for specific telecommunication purposes; | ||||||||||||||||||||||||||||||||||||||||||||||||||||||||||||||||||||
“radio log” has the meaning assigned to it by the Fishing Vessel (Radio Installations) Regulations 1998 ( S.I. No. 554 of 1998 ); | ||||||||||||||||||||||||||||||||||||||||||||||||||||||||||||||||||||
“Radio Regulations” means the Radio Regulations annexed to, or regarded as being annexed to, the most recent International Telecommunication Convention for the time being in force; | ||||||||||||||||||||||||||||||||||||||||||||||||||||||||||||||||||||
“satellite emergency position-indicating radio beacon” and “satellite EPIRB” mean an earth station in the mobile-satellite service the emissions of which are intended to facilitate search and rescue operations; | ||||||||||||||||||||||||||||||||||||||||||||||||||||||||||||||||||||
“sea area A1” means an area within the radiotelephone coverage of at least one VHF coast station in which continuous DSC alerting is available; | ||||||||||||||||||||||||||||||||||||||||||||||||||||||||||||||||||||
“sea area A2” means an area, excluding sea area A1, within the radiotelephone coverage of at least one MF coast station in which continuous DSC alerting is available, as may be defined in a Marine Notice; | ||||||||||||||||||||||||||||||||||||||||||||||||||||||||||||||||||||
“sea area A3” means an area, excluding sea areas A1 and A2, within the coverage of an INMARSAT geostationary satellite in which continuous alerting is available; | ||||||||||||||||||||||||||||||||||||||||||||||||||||||||||||||||||||
“sea area A4” means an area outside sea areas A1, A2 and A3; | ||||||||||||||||||||||||||||||||||||||||||||||||||||||||||||||||||||
“ship earth station” means a mobile earth station in the maritime mobile-satellite service located on board a ship; | ||||||||||||||||||||||||||||||||||||||||||||||||||||||||||||||||||||
“Very High Frequency” and “VHF” mean the frequency spectrum between 30 MHz and 300 MHz. | ||||||||||||||||||||||||||||||||||||||||||||||||||||||||||||||||||||
Exclusions from Part 9. | ||||||||||||||||||||||||||||||||||||||||||||||||||||||||||||||||||||
133. This Part does not prevent the use, by any vessel, survival craft or person in distress, of any means at their disposal to attract attention, make known their position and obtain help. | ||||||||||||||||||||||||||||||||||||||||||||||||||||||||||||||||||||
Equivalents and exemptions. | ||||||||||||||||||||||||||||||||||||||||||||||||||||||||||||||||||||
134. (1) Where these Regulations require that a particular fitting, material, appliance or apparatus, or type thereof, shall be fitted or carried in a vessel, or that any particular provision shall be made, the Minister may permit any other fitting, material, appliance or apparatus or type thereof to be fitted or carried, or any other provision to be made in that vessel if he is satisfied by trial thereof or otherwise that such other fitting, material, appliance or apparatus, or type thereof, or provision, is at least as effective as that required by these Regulations. | ||||||||||||||||||||||||||||||||||||||||||||||||||||||||||||||||||||
(2) The Minister may exempt any individual vessel which complies with certain criteria specified by him or any class or description of vessels from any of the provisions of Regulations 136 to 146, subject to such conditions as he may think fit. | ||||||||||||||||||||||||||||||||||||||||||||||||||||||||||||||||||||
Functional requirements. | ||||||||||||||||||||||||||||||||||||||||||||||||||||||||||||||||||||
135. Every fishing vessel, while at sea, shall be capable of— | ||||||||||||||||||||||||||||||||||||||||||||||||||||||||||||||||||||
(a) transmitting ship-to-shore distress alerts; | ||||||||||||||||||||||||||||||||||||||||||||||||||||||||||||||||||||
(b) receiving shore-to-ship distress alerts; | ||||||||||||||||||||||||||||||||||||||||||||||||||||||||||||||||||||
(c) transmitting and receiving ship-to-ship distress alerts; | ||||||||||||||||||||||||||||||||||||||||||||||||||||||||||||||||||||
(d) transmitting and receiving search and rescue co-ordinating communications; | ||||||||||||||||||||||||||||||||||||||||||||||||||||||||||||||||||||
(e) transmitting and receiving on-scene communications; | ||||||||||||||||||||||||||||||||||||||||||||||||||||||||||||||||||||
(f) transmitting and receiving signals for locating; | ||||||||||||||||||||||||||||||||||||||||||||||||||||||||||||||||||||
(g) transmitting and receiving maritime safety information; | ||||||||||||||||||||||||||||||||||||||||||||||||||||||||||||||||||||
(h) transmitting and receiving bridge to bridge communications. | ||||||||||||||||||||||||||||||||||||||||||||||||||||||||||||||||||||
Installation, location and control of radio equipment. | ||||||||||||||||||||||||||||||||||||||||||||||||||||||||||||||||||||
136. (1) Every vessel shall be provided with radio installations capable of complying with the functional requirements of Regulation 135 throughout its intended voyage, unless exempted under Regulation 134. | ||||||||||||||||||||||||||||||||||||||||||||||||||||||||||||||||||||
(2) Every radio installation shall- | ||||||||||||||||||||||||||||||||||||||||||||||||||||||||||||||||||||
(a) be so located that no harmful interference of mechanical, electrical or other origin affects its proper use, and so as to ensure electromagnetic compatibility and avoidance of harmful interaction with other equipment and systems, | ||||||||||||||||||||||||||||||||||||||||||||||||||||||||||||||||||||
(b) be so located as to ensure the greatest possible degree of safety and operational availability, | ||||||||||||||||||||||||||||||||||||||||||||||||||||||||||||||||||||
(c) be protected against harmful effects of water, extremes of temperature and other adverse environmental conditions, | ||||||||||||||||||||||||||||||||||||||||||||||||||||||||||||||||||||
(d) be provided with reliable, permanently arranged electrical lighting, independent of the main and emergency sources of electrical power, for the adequate illumination of the radio controls and for operating the radio installation, and | ||||||||||||||||||||||||||||||||||||||||||||||||||||||||||||||||||||
(e) be clearly marked with the call sign, the MMSI number, the ship station identity and other codes as applicable for the use of the radio installation. | ||||||||||||||||||||||||||||||||||||||||||||||||||||||||||||||||||||
(3) (a) Control of the VHF radiotelephone channels, required for navigational safety, shall be immediately available on the navigating bridge convenient to the conning position. | ||||||||||||||||||||||||||||||||||||||||||||||||||||||||||||||||||||
(b) Where necessary, facilities shall be available to permit radiocommunications from the wings of the navigating bridge. | ||||||||||||||||||||||||||||||||||||||||||||||||||||||||||||||||||||
(c) Portable VHF equipment may be used to meet the requirements of subparagraph (b). | ||||||||||||||||||||||||||||||||||||||||||||||||||||||||||||||||||||
(4) (a) Each radio transmitter and receiver fitted in accordance with these Regulations shall be provided with a suitable antenna or antennas. | ||||||||||||||||||||||||||||||||||||||||||||||||||||||||||||||||||||
(b) The antennas shall be so constructed and sited to enable each radio installation to perform effectively its intended communication function. | ||||||||||||||||||||||||||||||||||||||||||||||||||||||||||||||||||||
(5) (a) Where wire antennas are provided as part of a radio installation they shall be fitted with suitable insulators and, if suspended between supports liable to whipping, be protected against breakage. | ||||||||||||||||||||||||||||||||||||||||||||||||||||||||||||||||||||
(b) In addition, a spare wire antenna completely assembled for rapid replacement shall be carried. | ||||||||||||||||||||||||||||||||||||||||||||||||||||||||||||||||||||
(c) Where MF and MF/HF radio installations are provided with an antenna which is not a supported wire antenna, a spare antenna of similar electrical characteristics shall be carried. | ||||||||||||||||||||||||||||||||||||||||||||||||||||||||||||||||||||
Radio equipment to be provided for all sea areas. | ||||||||||||||||||||||||||||||||||||||||||||||||||||||||||||||||||||
137. (1) Every fishing vessel shall be provided with a VHF radio installation capable of transmitting and receiving— | ||||||||||||||||||||||||||||||||||||||||||||||||||||||||||||||||||||
(a) DSC on the frequency 156.525 MHz (channel 70). It shall be possible to initiate the transmission of distress alerts on channel 70 from the position from which the vessel is normally navigated, and | ||||||||||||||||||||||||||||||||||||||||||||||||||||||||||||||||||||
(b) radiotelephony on the frequencies 156.300 MHz (channel 6), 156.650 MHz (channel 13) and 156.800 MHz (channel 16). | ||||||||||||||||||||||||||||||||||||||||||||||||||||||||||||||||||||
(2) A radio installation capable of maintaining a continuous DSC watch on VHF channel 70, which may be separate from, or combined with, that required by paragraph (1). | ||||||||||||||||||||||||||||||||||||||||||||||||||||||||||||||||||||
(3) A radar transponder capable of operating in the 9GHz band, which shall be stowed so that it can be easily utilised and may be the one which is required by regulation 123 for survival craft. | ||||||||||||||||||||||||||||||||||||||||||||||||||||||||||||||||||||
(4) A satellite emergency position-indicating radio beacon (satellite EPIRB) which shall be— | ||||||||||||||||||||||||||||||||||||||||||||||||||||||||||||||||||||
(i) capable of transmitting a distress alert through the polar orbiting satellite service operating in the 406 MHz band, | ||||||||||||||||||||||||||||||||||||||||||||||||||||||||||||||||||||
(ii) installed in a readily accessible position, | ||||||||||||||||||||||||||||||||||||||||||||||||||||||||||||||||||||
(iii) ready to be manually released and capable of being carried by one person into a survival craft, | ||||||||||||||||||||||||||||||||||||||||||||||||||||||||||||||||||||
(iv) capable of floating free if the vessel sinks and of being automatically activated when afloat, and | ||||||||||||||||||||||||||||||||||||||||||||||||||||||||||||||||||||
(v) capable of being activated manually. | ||||||||||||||||||||||||||||||||||||||||||||||||||||||||||||||||||||
(5) A receiver capable of receiving International NAVTEX service broadcasts if the vessel is engaged on voyages in any area in which an International NAVTEX service is provided. | ||||||||||||||||||||||||||||||||||||||||||||||||||||||||||||||||||||
(6) A radio facility for the reception of maritime safety information by the INMARSAT enhanced group calling system if the vessel is engaged on voyages in any area of INMARSAT coverage in which an International NAVTEX service is not provided. | ||||||||||||||||||||||||||||||||||||||||||||||||||||||||||||||||||||
Additional radio equipment to be provided for sea areas A1 and A2. | ||||||||||||||||||||||||||||||||||||||||||||||||||||||||||||||||||||
138. In addition to meeting the requirements of Regulation 137, every vessel engaged on voyages beyond Sea Areas A1, but remaining within Sea Area A2, shall be provided with— | ||||||||||||||||||||||||||||||||||||||||||||||||||||||||||||||||||||
(1) an MF radio installation capable of transmitting and receiving, for distress and safety purposes, on the frequencies: | ||||||||||||||||||||||||||||||||||||||||||||||||||||||||||||||||||||
(i) 2187.5 KHz (assigned frequency) using DSC, and | ||||||||||||||||||||||||||||||||||||||||||||||||||||||||||||||||||||
(ii) 2182 KHz using radiotelephony, and | ||||||||||||||||||||||||||||||||||||||||||||||||||||||||||||||||||||
(2) a radio installation capable of maintaining a continuous DSC watch on the frequency 2187.5 KHz (assigned frequency) which may be separate from, or combined with, that required by subparagraph (1). | ||||||||||||||||||||||||||||||||||||||||||||||||||||||||||||||||||||
Additional radio equipment to be provided for sea areas A1, A2 and A3. | ||||||||||||||||||||||||||||||||||||||||||||||||||||||||||||||||||||
139. (1) In addition to meeting the requirements of Regulations 137 and 138 every fishing vessel engaged on occasional voyages beyond Sea Areas A1 and A2, but remaining within Sea Area A3, shall be provided with: | ||||||||||||||||||||||||||||||||||||||||||||||||||||||||||||||||||||
(a) an INMARSAT ship earth station capable of— | ||||||||||||||||||||||||||||||||||||||||||||||||||||||||||||||||||||
(i) transmitting and receiving distress and safety communications using either radiotelephony or direct-printing telegraphy, | ||||||||||||||||||||||||||||||||||||||||||||||||||||||||||||||||||||
(ii) initiating and receiving distress priority calls, | ||||||||||||||||||||||||||||||||||||||||||||||||||||||||||||||||||||
(iii) maintaining watch for shore-to-ship distress alerts, including those directed to specifically defined geographical areas, and | ||||||||||||||||||||||||||||||||||||||||||||||||||||||||||||||||||||
(iv) transmitting and receiving general radiocommunications, using either radiotelephony or direct-printing telegraphy; | ||||||||||||||||||||||||||||||||||||||||||||||||||||||||||||||||||||
or | ||||||||||||||||||||||||||||||||||||||||||||||||||||||||||||||||||||
(b) an MF/HF radio installation capable of transmitting and receiving, for distress and safety purposes, on all distress and safety frequencies in the bands between 1605 KHz and 4000 KHz and between 4000 KHz and 27500 KHz— | ||||||||||||||||||||||||||||||||||||||||||||||||||||||||||||||||||||
(i) using DSC, and | ||||||||||||||||||||||||||||||||||||||||||||||||||||||||||||||||||||
(ii) using radiotelephony, | ||||||||||||||||||||||||||||||||||||||||||||||||||||||||||||||||||||
and | ||||||||||||||||||||||||||||||||||||||||||||||||||||||||||||||||||||
(c) equipment capable of maintaining DSC watch on 2187.5 KHz, 8414.5 KHz (assigned frequencies) and on at least one of the distress and safety DSC frequencies 4207.5 KHz, 6312 KHz, 12577 KHz or 16804.5 KHz (assigned frequencies) which— | ||||||||||||||||||||||||||||||||||||||||||||||||||||||||||||||||||||
(i) at any time, it shall be possible to select any of these DSC distress and safety frequencies, and | ||||||||||||||||||||||||||||||||||||||||||||||||||||||||||||||||||||
(ii) may be separate from, or combined with, the equipment required by subparagraphs (a) and (b). | ||||||||||||||||||||||||||||||||||||||||||||||||||||||||||||||||||||
(2) On every fishing vessel it shall be possible to initiate transmission of distress alerts by the radio installations specified in Regulations 137(1), 138(1)(i), 139(1)(a) and 139(1)(b)(i) from the position from which the vessel is normally navigated. | ||||||||||||||||||||||||||||||||||||||||||||||||||||||||||||||||||||
Radio watches. | ||||||||||||||||||||||||||||||||||||||||||||||||||||||||||||||||||||
140. (1) Every vessel while at sea shall maintain a continuous watch: | ||||||||||||||||||||||||||||||||||||||||||||||||||||||||||||||||||||
(a) on VHF DSC channel 70, if the vessel, in accordance with the requirements of Regulation 137(2) is fitted with a VHF radio installation; | ||||||||||||||||||||||||||||||||||||||||||||||||||||||||||||||||||||
(b) on the distress and safety DSC frequency 2187.5 kHz, if the vessel, in accordance with the requirements of Regulation 139(1)(a)(iii), is fitted with an MF radio installation; | ||||||||||||||||||||||||||||||||||||||||||||||||||||||||||||||||||||
(c) on the distress and safety DSC frequencies 2187.5 KHz and 8414.5 KHz and also on at least one of the distress and safety DSC frequencies 4207.5 KHz, 6312 KHz, 12577 KHz or 16804.5 KHz, appropriate to the time of day and geographical position of the vessel, if the vessel, in accordance with Regulation 139(1)(c) is fitted with an MF/HF radio installation. This watch may be kept by means of a scanning receiver; and | ||||||||||||||||||||||||||||||||||||||||||||||||||||||||||||||||||||
(d) for satellite shore-to-ship distress alerts, if the vessel, in accordance with the requirements of Regulation 139(1)(a)(iii) is fitted with an INMARSAT ship earth station. | ||||||||||||||||||||||||||||||||||||||||||||||||||||||||||||||||||||
(2) Every vessel, while at sea, shall maintain a radio watch for broadcasts of maritime safety information on the appropriate frequency or frequencies on which such information is broadcast for the area in which the vessel is navigating. | ||||||||||||||||||||||||||||||||||||||||||||||||||||||||||||||||||||
(3) Every vessel while at sea shall, when practicable, maintain a continuous listening watch on VHF channel 16. This watch shall be kept at the position from which the vessel is normally navigated. | ||||||||||||||||||||||||||||||||||||||||||||||||||||||||||||||||||||
Sources of energy. | ||||||||||||||||||||||||||||||||||||||||||||||||||||||||||||||||||||
141. (1) There shall be available at all times, while the vessel is at sea, a supply of electrical energy sufficient to operate the radio installations and to charge any batteries used as part of a reserve source or sources of energy for the radio installations. | ||||||||||||||||||||||||||||||||||||||||||||||||||||||||||||||||||||
(2) (a) A reserve source or sources of energy shall be provided on every vessel, to supply radio installations, for the purpose of conducting distress and safety radiocommunications, in the event of failure of the vessel’s main source of electrical power. | ||||||||||||||||||||||||||||||||||||||||||||||||||||||||||||||||||||
(b) The reserve source or sources of energy shall be capable of simultaneously operating the VHF radio installation required by Regulation 137 and any of the additional loads mentioned in Regulations 138 and 139 for a period of at least 6 hours. | ||||||||||||||||||||||||||||||||||||||||||||||||||||||||||||||||||||
(3) The reserve source or sources of energy shall be independent of the propelling power of the vessel and the vessel’s electrical system. | ||||||||||||||||||||||||||||||||||||||||||||||||||||||||||||||||||||
(4) The reserve source or sources of energy may be used to supply the electrical lighting required by Regulation 136(2)(d). | ||||||||||||||||||||||||||||||||||||||||||||||||||||||||||||||||||||
(5) Where a reserve source of energy consists of a rechargeable accumulator battery or batteries— | ||||||||||||||||||||||||||||||||||||||||||||||||||||||||||||||||||||
(a) a means of automatically charging such batteries shall be provided which shall be capable of recharging them to minimum capacity requirements within 10 hours, and | ||||||||||||||||||||||||||||||||||||||||||||||||||||||||||||||||||||
(b) the capacity of the battery or batteries shall be checked, using an appropriate method, at intervals not exceeding 12 months, when the vessel is not at sea. | ||||||||||||||||||||||||||||||||||||||||||||||||||||||||||||||||||||
(6) The siting and installation of accumulator batteries which provide a reserve source of energy shall be such as to ensure— | ||||||||||||||||||||||||||||||||||||||||||||||||||||||||||||||||||||
(a) the highest degree of service, | ||||||||||||||||||||||||||||||||||||||||||||||||||||||||||||||||||||
(b) a reasonable lifetime, | ||||||||||||||||||||||||||||||||||||||||||||||||||||||||||||||||||||
(c) reasonable safety, | ||||||||||||||||||||||||||||||||||||||||||||||||||||||||||||||||||||
(d) that battery temperatures remain within the manufacturer’s specifications whether under charge or idle, | ||||||||||||||||||||||||||||||||||||||||||||||||||||||||||||||||||||
(e) that when fully charged, the batteries will provide at least the minimum required hours of operation under all weather conditions, and | ||||||||||||||||||||||||||||||||||||||||||||||||||||||||||||||||||||
(f) that the batteries are situated in the upper part of the vessel. | ||||||||||||||||||||||||||||||||||||||||||||||||||||||||||||||||||||
(7) If an uninterrupted input of information from the ship’s navigational or other equipment to a radio installation required by these Regulations is needed to ensure its proper performance, means shall be provided to ensure the continuous supply of such information in the event of failure of the ship’s main or emergency source of electrical power. | ||||||||||||||||||||||||||||||||||||||||||||||||||||||||||||||||||||
(8) For the purpose of calculating the required capacity of the reserve source or sources of energy, the following formula is recommended for determining the electrical load to be supplied by the reserve source or sources of energy for each radio installation required for distress conditions: | ||||||||||||||||||||||||||||||||||||||||||||||||||||||||||||||||||||
“½ of the current consumption necessary for transmission + the current consumption necessary for reception + the current consumption of any additional loads.” | ||||||||||||||||||||||||||||||||||||||||||||||||||||||||||||||||||||
Performance standards. | ||||||||||||||||||||||||||||||||||||||||||||||||||||||||||||||||||||
142. Equipment required to be provided under these Regulations shall conform to appropriate performance specifications in the European Communities (Marine Equipment) Regulations 2003 ( S.I. No. 38 of 2003 ) or the European Communities (Radio Equipment and Telecommunications Terminal Equipment) Regulations 2001 ( S.I. No. 240 of 2001 ) and references to those specifications are deemed to include references to any specifications set out in any document amending the same which is considered by the Minister to be relevant from time to time | ||||||||||||||||||||||||||||||||||||||||||||||||||||||||||||||||||||
Serviceability and maintenance requirements. | ||||||||||||||||||||||||||||||||||||||||||||||||||||||||||||||||||||
143. (1) Equipment shall be so designed that the main units can be replaced readily, without elaborate recalibration or readjustment. | ||||||||||||||||||||||||||||||||||||||||||||||||||||||||||||||||||||
(2) Where applicable, equipment shall be so constructed and installed that it is readily accessible for inspection and on-board maintenance purposes. | ||||||||||||||||||||||||||||||||||||||||||||||||||||||||||||||||||||
(3) Adequate information shall be provided to enable the equipment to be properly operated and maintained. | ||||||||||||||||||||||||||||||||||||||||||||||||||||||||||||||||||||
(4) In all vessels, a person nominated by the skipper shall, while the vessel is at sea, carry out the appropriate tests and checks specified in Schedule 5. If any of the radio installations required by these Regulations is not in working order, the master shall be informed and the details recorded in the vessel’s radio log. | ||||||||||||||||||||||||||||||||||||||||||||||||||||||||||||||||||||
Radio personnel. | ||||||||||||||||||||||||||||||||||||||||||||||||||||||||||||||||||||
144. (1) Every vessel shall carry personnel qualified for distress and safety radio communication purposes as specified in paragraphs (2) and (3). | ||||||||||||||||||||||||||||||||||||||||||||||||||||||||||||||||||||
(2) The personnel of stations on board vessels which operate in sea area A1 shall hold at least the Radio Operator’s Short Range Certificate granted by the Commission, or an equivalent certificate recognised by the Commission as being equivalent, and be the holder of an authorisation granted by the Commission to operate a radio station established in a vessel under a licence granted by the Commission. | ||||||||||||||||||||||||||||||||||||||||||||||||||||||||||||||||||||
(3) The personnel of stations on board vessels which operate in sea areas A2 and A3 shall hold at least the Radio Operator’s Long Range Certificate granted by the Commission, or an equivalent certificate recognised by the Commission as being equivalent, and be the holders of an authorisation granted by the Commission to operate a radio station established in a vessel under a licence granted by the Commission. | ||||||||||||||||||||||||||||||||||||||||||||||||||||||||||||||||||||
(4) In this Regulation “Commission” means Commission for Communications Regulation. | ||||||||||||||||||||||||||||||||||||||||||||||||||||||||||||||||||||
Radio records. | ||||||||||||||||||||||||||||||||||||||||||||||||||||||||||||||||||||
145. A record shall be kept in the radio log on board the vessel by the skipper, as specified in Schedule 6 and as required by the Radio Regulations, of all incidents connected with the radiocommunication service which appear to be of importance to safety of life at sea. | ||||||||||||||||||||||||||||||||||||||||||||||||||||||||||||||||||||
PART 10 | ||||||||||||||||||||||||||||||||||||||||||||||||||||||||||||||||||||
SHIPBORNE NAVIGATIONAL EQUIPMENT AND ARRANGEMENTS | ||||||||||||||||||||||||||||||||||||||||||||||||||||||||||||||||||||
Shipborne navigational equipment. | ||||||||||||||||||||||||||||||||||||||||||||||||||||||||||||||||||||
146. (1) (a) All vessels shall be fitted with a standard magnetic compass, except as provided in paragraph (2). | ||||||||||||||||||||||||||||||||||||||||||||||||||||||||||||||||||||
(b) The magnetic compass shall be properly adjusted and its table or curve of residual deviations shall be available at all times. | ||||||||||||||||||||||||||||||||||||||||||||||||||||||||||||||||||||
(2) If it is considered unreasonable or unnecessary to require a standard magnetic compass, the Minister may exempt individual vessels or classes of vessels from these requirements if the nature of the voyage, the vessel’s proximity to land or the type of vessel does not warrant a standard compass, provided that a suitable steering compass is in all cases carried. | ||||||||||||||||||||||||||||||||||||||||||||||||||||||||||||||||||||
(3) (a) It shall be possible to read the compass by day and by night from the steering position. | ||||||||||||||||||||||||||||||||||||||||||||||||||||||||||||||||||||
(b) Magnetic compasses shall be provided with means for adjustment, securing devices for compasses and compensators shall be made on non-magnetic materials. | ||||||||||||||||||||||||||||||||||||||||||||||||||||||||||||||||||||
(c) A pelorus or compass bearing device, or other means, independent of any power supply, to take bearings over an arc of the horizon of 360° shall be provided. | ||||||||||||||||||||||||||||||||||||||||||||||||||||||||||||||||||||
(d) Means of correcting heading and bearings to true at all times shall be provided. | ||||||||||||||||||||||||||||||||||||||||||||||||||||||||||||||||||||
(e) Compasses shall be sited as near the fore-and-aft line of the vessels as practicable, with the lubber line, as accurately as possible, parallel with the fore-and-aft line. | ||||||||||||||||||||||||||||||||||||||||||||||||||||||||||||||||||||
(4) In vessels equipped with an auto-pilot system actuated by a magnetic sensor, which does not indicate the vessel’s heading, means shall be provided to show this information. | ||||||||||||||||||||||||||||||||||||||||||||||||||||||||||||||||||||
(5) All vessels shall be fitted with a radar installation capable of operating in the 9 GHz frequency band. | ||||||||||||||||||||||||||||||||||||||||||||||||||||||||||||||||||||
(6) All vessels of length 18m and over shall be fitted with an automatic identification system (AIS), which shall meet the performance standards drawn up by the IMO, not later than 1 January 2009. | ||||||||||||||||||||||||||||||||||||||||||||||||||||||||||||||||||||
(7) All vessels over 15 metres in length overall (Loa) but less than 18 metres in length (L) shall be fitted with an automatic identification system (AIS), which shall meet the performance standards drawn up by the IMO, not later than 1 January 2010. | ||||||||||||||||||||||||||||||||||||||||||||||||||||||||||||||||||||
(8) All vessels shall be provided with suitable means for determining the depth of water under the vessel. Where fish-finding devices are fitted they may be used for that purpose. | ||||||||||||||||||||||||||||||||||||||||||||||||||||||||||||||||||||
(9) All vessels shall be equipped with radar reflector meeting the internationally accepted performance standards for such devices, unless the vessel is built of steel. | ||||||||||||||||||||||||||||||||||||||||||||||||||||||||||||||||||||
(10) All equipment fitted in compliance with this section shall be of a type approved by the Minister. | ||||||||||||||||||||||||||||||||||||||||||||||||||||||||||||||||||||
Nautical instruments and publications. | ||||||||||||||||||||||||||||||||||||||||||||||||||||||||||||||||||||
147. (1) Suitable nautical instruments, adequate and up-to-date charts, sailing directions, lists of lights, notices to mariners, tide tables and all other nautical publications specified in Schedule 7 necessary for the intended voyage shall be carried on board. | ||||||||||||||||||||||||||||||||||||||||||||||||||||||||||||||||||||
(2) The Minister may accept an electronic chart display and information system (ECDIS) as meeting the chart carriage requirements of paragraph (1). | ||||||||||||||||||||||||||||||||||||||||||||||||||||||||||||||||||||
(3) Back-up arrangements should be provided to meet the functional requirements of paragraph (2) if this function is partly or fully fulfilled by electronic means. | ||||||||||||||||||||||||||||||||||||||||||||||||||||||||||||||||||||
Signalling equipment. | ||||||||||||||||||||||||||||||||||||||||||||||||||||||||||||||||||||
148. (1) All vessels shall be provided with the equipment to comply in every respect with the Collision Regulations (Ships and Water Craft on the Water) Order 1984 ( S.I. No. 29 of 1984 ). | ||||||||||||||||||||||||||||||||||||||||||||||||||||||||||||||||||||
(2) Lights, shapes and flags shall be provided to indicate that the vessel is engaged in any specific operation for which such signals are used. | ||||||||||||||||||||||||||||||||||||||||||||||||||||||||||||||||||||
(3) All vessels shall carry the table of life-saving signals contained in the International Code of Signals. | ||||||||||||||||||||||||||||||||||||||||||||||||||||||||||||||||||||
Navigating bridge visibility. | ||||||||||||||||||||||||||||||||||||||||||||||||||||||||||||||||||||
149. (1) The wheelhouse shall be so arranged that the person steering the vessel has a clear view ahead. | ||||||||||||||||||||||||||||||||||||||||||||||||||||||||||||||||||||
(2) In the case of new fishing vessels the following apply— | ||||||||||||||||||||||||||||||||||||||||||||||||||||||||||||||||||||
(a) the view of the sea surface from the conning position shall not be obscured by more than 90 metres forward of the bow to 10 degrees on either side irrespective of the vessel’s draught and trim, | ||||||||||||||||||||||||||||||||||||||||||||||||||||||||||||||||||||
(b) the horizontal field of vision from the conning position shall extend from right ahead to 22.5° abaft the beam on either side of the vessel, | ||||||||||||||||||||||||||||||||||||||||||||||||||||||||||||||||||||
(c) blind sectors caused by any obstruction outside the wheelhouse shall be kept as small as possible, and | ||||||||||||||||||||||||||||||||||||||||||||||||||||||||||||||||||||
(d) from each side of the wheelhouse, the horizontal field of vision shall extend over an arc of at least 225°, that is from at least 45° on the opposite bow through right ahead and then from right ahead to right astern through 180° on the same side of the vessel. | ||||||||||||||||||||||||||||||||||||||||||||||||||||||||||||||||||||
PART 11 | ||||||||||||||||||||||||||||||||||||||||||||||||||||||||||||||||||||
CREW ACCOMMODATION | ||||||||||||||||||||||||||||||||||||||||||||||||||||||||||||||||||||
General. | ||||||||||||||||||||||||||||||||||||||||||||||||||||||||||||||||||||
150. (1) This Part applies to the crew accommodation spaces in new vessels and in existing vessels where the crew accommodation is substantially altered or reconstructed. | ||||||||||||||||||||||||||||||||||||||||||||||||||||||||||||||||||||
(2) Notwithstanding paragraph (1) the crew accommodation on existing vessels should, where reasonable and practicable, meet the requirements of this Part. | ||||||||||||||||||||||||||||||||||||||||||||||||||||||||||||||||||||
(3) Before the construction of a fishing vessel commences, and before the crew accommodation of an existing fishing vessel is substantially altered or reconstructed, detailed plans of, and information concerning the accommodation shall be submitted to the Marine Survey Office for approval. | ||||||||||||||||||||||||||||||||||||||||||||||||||||||||||||||||||||
(4) (a) Location, structure and arrangement of crew accommodation spaces and means of access thereto, shall be such as to ensure adequate security, protection against weather and sea and insulate from heat and cold, condensation, undue noise, vibration or effluvia from other spaces. | ||||||||||||||||||||||||||||||||||||||||||||||||||||||||||||||||||||
(b) In particular, the insulation material to be applied to bulkheads and deckheads of machinery spaces adjacent to crew accommodation shall be of a type approved by the Minister. | ||||||||||||||||||||||||||||||||||||||||||||||||||||||||||||||||||||
(c) Sleeping rooms shall be placed aft of the collision bulkhead, and to the extent possible, not below the working deck. | ||||||||||||||||||||||||||||||||||||||||||||||||||||||||||||||||||||
(5) (a) Bulkheads and decks between accommodation spaces and fish-holds, machinery spaces, fuel tanks, galleys, engine, deck and other store rooms, drying rooms, communal wash-places or water closets, shall be so constructed as to prevent the infiltration of fumes and odours. | ||||||||||||||||||||||||||||||||||||||||||||||||||||||||||||||||||||
(b) Direct openings into sleeping rooms from such places shall be avoided whenever reasonable or practicable. | ||||||||||||||||||||||||||||||||||||||||||||||||||||||||||||||||||||
(6) (a) Where passageways are provided in crew accommodation these shall be as wide as possible but the clear width shall not be less than 700mm. | ||||||||||||||||||||||||||||||||||||||||||||||||||||||||||||||||||||
(b) Where doors open outwards into a passageway, there shall be sufficient space to pass the door when it is open at a right angle to the passageway. | ||||||||||||||||||||||||||||||||||||||||||||||||||||||||||||||||||||
(7) Accommodation spaces shall be adequately insulated to prevent loss of heat, condensation or overheating. | ||||||||||||||||||||||||||||||||||||||||||||||||||||||||||||||||||||
(8) (a) In the choice of materials used for construction of accommodation spaces, account shall be taken of properties potentially harmful to the health of personnel, or likely to harbour vermin and mould. | ||||||||||||||||||||||||||||||||||||||||||||||||||||||||||||||||||||
(b) Surfaces, including decks, of accommodation and furnishings shall be of a kind easily kept clean and hygienic, as well as impervious to damp. | ||||||||||||||||||||||||||||||||||||||||||||||||||||||||||||||||||||
(c) Bulkhead and deckhead surfaces, if painted, shall be light in colour and the paint specification shall be in accordance with Regulation 80(7). | ||||||||||||||||||||||||||||||||||||||||||||||||||||||||||||||||||||
(d) Other surface coverings, such as lime wash, shall not be used. | ||||||||||||||||||||||||||||||||||||||||||||||||||||||||||||||||||||
(9) (a) Where appropriate, access to ordinary exits and emergency exits shall be marked with direction indicators. | ||||||||||||||||||||||||||||||||||||||||||||||||||||||||||||||||||||
(b) Exits shall be marked in a conspicuous manner above or beside the door. | ||||||||||||||||||||||||||||||||||||||||||||||||||||||||||||||||||||
(10) Where the deck covering is of composition material, the connection to the side of the vessel, bulkheads and partitions shall be rounded to avoid crevices. | ||||||||||||||||||||||||||||||||||||||||||||||||||||||||||||||||||||
(11) All practical measures shall be taken to protect crew accommodation and furnishings against the admission of insects and other pests. | ||||||||||||||||||||||||||||||||||||||||||||||||||||||||||||||||||||
(12) Overhead exposed decks over crew accommodation shall be sheathed with wood or be suitably insulated on the underside with equivalent insulation. | ||||||||||||||||||||||||||||||||||||||||||||||||||||||||||||||||||||
(13) The electrical switchboard shall be so arranged that when a shore power connection is made, power is available for crew accommodation lighting, ventilation systems and where applicable, heating and cooking facilities. | ||||||||||||||||||||||||||||||||||||||||||||||||||||||||||||||||||||
Lighting, heating and ventilation. | ||||||||||||||||||||||||||||||||||||||||||||||||||||||||||||||||||||
151. (1) (a) All crew accommodation spaces shall be adequately lighted, as far as possible, by natural lighting. | ||||||||||||||||||||||||||||||||||||||||||||||||||||||||||||||||||||
(b) Such spaces shall also be equipped with adequate artificial light. | ||||||||||||||||||||||||||||||||||||||||||||||||||||||||||||||||||||
(c) Artificial light shall be in accordance with accepted standards of visual comfort in living spaces. | ||||||||||||||||||||||||||||||||||||||||||||||||||||||||||||||||||||
(d) The minimum standards for natural lighting in crew accommodation shall be such as to permit a person with normal vision to read an ordinary newspaper on a clear day. | ||||||||||||||||||||||||||||||||||||||||||||||||||||||||||||||||||||
(2) (a) Adequate heating facilities in crew accommodation spaces shall be provided as required by climatic conditions. | ||||||||||||||||||||||||||||||||||||||||||||||||||||||||||||||||||||
(b) Heating facilities shall be capable of maintaining a satisfactory air temperature in crew accommodation under normal conditions of service of a fishing vessel. | ||||||||||||||||||||||||||||||||||||||||||||||||||||||||||||||||||||
(c) The accommodation shall be capable of being heated sufficiently to maintain a minimum temperature of +22°C in all day rooms at an outside temperature of —15°C. | ||||||||||||||||||||||||||||||||||||||||||||||||||||||||||||||||||||
(3) Facilities for heating shall be designed so as not to endanger health or safety of the crew or safety of the vessel. | ||||||||||||||||||||||||||||||||||||||||||||||||||||||||||||||||||||
(4) Heating by means of open fires is prohibited. | ||||||||||||||||||||||||||||||||||||||||||||||||||||||||||||||||||||
(5) (a) Accommodation spaces shall be adequately ventilated at all times when the crew is expected to remain on board. | ||||||||||||||||||||||||||||||||||||||||||||||||||||||||||||||||||||
(b) Ventilation systems shall be capable of control so as to maintain the air in a satisfactory condition and to ensure a sufficiency of air movement in all conditions of weather and climate. | ||||||||||||||||||||||||||||||||||||||||||||||||||||||||||||||||||||
(c) The ventilation of galleys and sanitary spaces shall be to the open air and, unless fitted with a mechanical ventilation system, be independent of that for other crew accommodation. | ||||||||||||||||||||||||||||||||||||||||||||||||||||||||||||||||||||
(6) (a) Drying rooms or lockers for working clothes and oilskin lockers shall have adequate ventilation that is separate from other spaces. | ||||||||||||||||||||||||||||||||||||||||||||||||||||||||||||||||||||
(b) The exhaust from such spaces shall be well clear of the air intakes of the ventilation systems for other spaces. | ||||||||||||||||||||||||||||||||||||||||||||||||||||||||||||||||||||
Sleeping rooms. | ||||||||||||||||||||||||||||||||||||||||||||||||||||||||||||||||||||
152. (1) (a) Sleeping rooms shall be so planned and equipped as to ensure reasonable comfort for the occupants and to facilitate tidiness. | ||||||||||||||||||||||||||||||||||||||||||||||||||||||||||||||||||||
(b) The clear headroom shall, whenever possible, be not less than 2.0m. | ||||||||||||||||||||||||||||||||||||||||||||||||||||||||||||||||||||
(c) There shall be no access to the accommodation from the fish room. | ||||||||||||||||||||||||||||||||||||||||||||||||||||||||||||||||||||
(2) Wherever reasonable and practicable, the floor area of sleeping rooms per person accommodated therein, excluding space occupied by berths and lockers, shall not be less than 0.75m2. | ||||||||||||||||||||||||||||||||||||||||||||||||||||||||||||||||||||
(3) Each member of the crew shall be provided with an individual berth, the inside dimensions of which shall, wherever practicable, be 2.0m by 680mm. | ||||||||||||||||||||||||||||||||||||||||||||||||||||||||||||||||||||
(4) (a) Berths shall, wherever possible, not be placed side by side in such a way that access to one berth can be obtained only over another. | ||||||||||||||||||||||||||||||||||||||||||||||||||||||||||||||||||||
(b) The lower berth in a double tier shall be not less than 300mm above the deck; the upper berth shall be spaced approximately midway between the bottom of the lower berth and the lower side of the deck head beams. | ||||||||||||||||||||||||||||||||||||||||||||||||||||||||||||||||||||
(5) Where the upper berth in a tier overlaps a lower berth, the underside of the upper berth shall be fitted with a dust proof bottom of wood, canvas or other material. | ||||||||||||||||||||||||||||||||||||||||||||||||||||||||||||||||||||
(6) If tubular frames are used for the construction of berths, they shall be completely sealed and without perforations that would give access to vermin. | ||||||||||||||||||||||||||||||||||||||||||||||||||||||||||||||||||||
(7) (a) Suitable bedding shall be provided for the crew. | ||||||||||||||||||||||||||||||||||||||||||||||||||||||||||||||||||||
(b) Mattresses shall not be of a type that is liable to develop toxic fumes in cases of fire nor of a type that will attract pests or insects. | ||||||||||||||||||||||||||||||||||||||||||||||||||||||||||||||||||||
(c) Mattresses shall be provided with a cover of fire retardant material. | ||||||||||||||||||||||||||||||||||||||||||||||||||||||||||||||||||||
(8) (a) Whenever reasonable and practicable, having regard to the size, type or intended service of the vessel, the furnishings of sleeping rooms shall include both a fitted cupboard preferably with an integral lock and a drawer for each occupant. | ||||||||||||||||||||||||||||||||||||||||||||||||||||||||||||||||||||
(b) A table or desk, adequate seating, a mirror, cabinet for toilet requisites, a bookrack and coat hooks shall also be provided. | ||||||||||||||||||||||||||||||||||||||||||||||||||||||||||||||||||||
(c) Where fitted, tables or desks of the pull out type shall be approved by the Minister. | ||||||||||||||||||||||||||||||||||||||||||||||||||||||||||||||||||||
(9) The maximum number of persons to be accommodated in any sleeping room shall be clearly and indelibly marked in the room where it can be conveniently seen. | ||||||||||||||||||||||||||||||||||||||||||||||||||||||||||||||||||||
Mess rooms. | ||||||||||||||||||||||||||||||||||||||||||||||||||||||||||||||||||||
153. (1) Wherever reasonable and practicable, mess room accommodation separate from sleeping quarters shall be provided. | ||||||||||||||||||||||||||||||||||||||||||||||||||||||||||||||||||||
(2) The mess room shall be as close as practicable to the galley. | ||||||||||||||||||||||||||||||||||||||||||||||||||||||||||||||||||||
(3) The dimensions and equipment of each mess room shall be sufficient for the numbers of persons likely to use it at any one time. | ||||||||||||||||||||||||||||||||||||||||||||||||||||||||||||||||||||
(4) (a) The furnishings of mess rooms shall include tables and seating sufficient for the numbers of persons likely to use them at any one time. | ||||||||||||||||||||||||||||||||||||||||||||||||||||||||||||||||||||
(b) The tops of tables and seats shall be free of sharp edges and be of damp resisting material without cracks and easily kept clean. | ||||||||||||||||||||||||||||||||||||||||||||||||||||||||||||||||||||
(5) Where pantries are not accessible to mess rooms, adequate lockers for mess utensils and proper facilities for washing shall be provided. | ||||||||||||||||||||||||||||||||||||||||||||||||||||||||||||||||||||
(6) Mess rooms shall be planned, furnished and equipped to provide appropriate facilities for recreation. | ||||||||||||||||||||||||||||||||||||||||||||||||||||||||||||||||||||
Sanitary facilities. | ||||||||||||||||||||||||||||||||||||||||||||||||||||||||||||||||||||
154. (1) Sufficient sanitary facilities including washbasins, shower baths and water-closets shall be provided having due regard to the intended service of the vessel. Wherever practicable, such facilities shall be provided as follows: | ||||||||||||||||||||||||||||||||||||||||||||||||||||||||||||||||||||
(a) one shower-bath for every 8 persons or less, | ||||||||||||||||||||||||||||||||||||||||||||||||||||||||||||||||||||
(b) one water closet or suitable alternative for every 8 persons or less, | ||||||||||||||||||||||||||||||||||||||||||||||||||||||||||||||||||||
(c) one wash basin for every 6 persons or less, and | ||||||||||||||||||||||||||||||||||||||||||||||||||||||||||||||||||||
(d) cold fresh water, and hot fresh water or means of heating fresh water shall be available in all wash spaces. | ||||||||||||||||||||||||||||||||||||||||||||||||||||||||||||||||||||
(2) (a) Soil and waste discharge pipes shall not pass through fresh water or drinking water tanks or, where practicable, provision stores. | ||||||||||||||||||||||||||||||||||||||||||||||||||||||||||||||||||||
(b) Neither shall they, where practicable, pass overhead in mess rooms or sleeping accommodation. | ||||||||||||||||||||||||||||||||||||||||||||||||||||||||||||||||||||
(c) Such pipes shall be fitted with anti-siphon closures. | ||||||||||||||||||||||||||||||||||||||||||||||||||||||||||||||||||||
(3) Water closets shall be situated convenient to, but separate from sleeping rooms, mess rooms and wash rooms. | ||||||||||||||||||||||||||||||||||||||||||||||||||||||||||||||||||||
(4) (a) The deck area of wash places shall have a covering of durable material, easily cleaned and impervious to damp and properly drained. | ||||||||||||||||||||||||||||||||||||||||||||||||||||||||||||||||||||
(b) The deck covering shall be carried up the sides of the compartment to a height of not less than 0.20m and adequately sealed at all joints to prevent the ingress of water and damp. | ||||||||||||||||||||||||||||||||||||||||||||||||||||||||||||||||||||
(5) The bulkheads shall be of steel or other approved material and shall be watertight to a height of at least 0.25m above the deck to allow for effective sealing of the deck covering where it meets the bulkheads. | ||||||||||||||||||||||||||||||||||||||||||||||||||||||||||||||||||||
(6) Facilities for washing and drying clothes shall be provided on a scale appropriate to the number of the crew and the duration of intended voyages. | ||||||||||||||||||||||||||||||||||||||||||||||||||||||||||||||||||||
Potable water facilities. | ||||||||||||||||||||||||||||||||||||||||||||||||||||||||||||||||||||
155. (1) Filling, storage and distribution arrangements for potable water shall be designed to preclude any possibility of water contamination or overheating. | ||||||||||||||||||||||||||||||||||||||||||||||||||||||||||||||||||||
(2) Tanks shall be designed to allow internal cleaning. | ||||||||||||||||||||||||||||||||||||||||||||||||||||||||||||||||||||
Provision stores. | ||||||||||||||||||||||||||||||||||||||||||||||||||||||||||||||||||||
156. (1) Having regard to the intended service of the vessel, storerooms of adequate capacity shall be provided which can be kept cool, dry and well ventilated in order to avoid deterioration of the stores. | ||||||||||||||||||||||||||||||||||||||||||||||||||||||||||||||||||||
(2) Where possible, refrigerators or other low-temperature storage shall be provided. | ||||||||||||||||||||||||||||||||||||||||||||||||||||||||||||||||||||
(3) Where refrigerating or freezing rooms are fitted, the access doors shall be capable of being opened from either side. | ||||||||||||||||||||||||||||||||||||||||||||||||||||||||||||||||||||
(4) An alarm system shall be arranged from the refrigerating and freezing room to the galley or other appropriate location if such rooms are large enough for personnel to enter them. | ||||||||||||||||||||||||||||||||||||||||||||||||||||||||||||||||||||
Cooking facilities. | ||||||||||||||||||||||||||||||||||||||||||||||||||||||||||||||||||||
157. (1) Having regard to the intended service of the vessel, satisfactory cooking appliances and equipment shall be provided and shall, wherever practicable, be fitted in a separate galley. | ||||||||||||||||||||||||||||||||||||||||||||||||||||||||||||||||||||
(2) Galleys shall be of adequate dimensions for the purpose and have sufficient storage space and satisfactory drainage. | ||||||||||||||||||||||||||||||||||||||||||||||||||||||||||||||||||||
(3) (a) The galley shall be provided with cooking utensils, the necessary number of cupboards and shelves and sinks and dish racks of rust proof material and with satisfactory drainage. | ||||||||||||||||||||||||||||||||||||||||||||||||||||||||||||||||||||
(b) Drinking water shall be supplied to the galley by means of pipes. | ||||||||||||||||||||||||||||||||||||||||||||||||||||||||||||||||||||
(c) Where it is supplied under pressure, the system shall be protected against backflow. | ||||||||||||||||||||||||||||||||||||||||||||||||||||||||||||||||||||
(d) Where hot water is not supplied to the galley, a water heater shall be fitted. | ||||||||||||||||||||||||||||||||||||||||||||||||||||||||||||||||||||
(4) The galley shall be fitted with suitable facilities for the preparation of hot drinks for the crew at all times. | ||||||||||||||||||||||||||||||||||||||||||||||||||||||||||||||||||||
(5) Cooking appliances shall be fitted with fail-safe devices in the event of failure of the power source or fuel. Supplies of fuel in the form of gas or oil shall not be stored in the galley. | ||||||||||||||||||||||||||||||||||||||||||||||||||||||||||||||||||||
Regulation 9. | ||||||||||||||||||||||||||||||||||||||||||||||||||||||||||||||||||||
SCHEDULE 1 | ||||||||||||||||||||||||||||||||||||||||||||||||||||||||||||||||||||
CERTIFICATES AND RECORD OF EQUIPMENT | ||||||||||||||||||||||||||||||||||||||||||||||||||||||||||||||||||||
1. Form of Safety Certificate for Fishing Vessels | ||||||||||||||||||||||||||||||||||||||||||||||||||||||||||||||||||||
DEPARTMENT OF TRANSPORT | ||||||||||||||||||||||||||||||||||||||||||||||||||||||||||||||||||||
FISHING VESSEL SAFETY CERTIFICATE | ||||||||||||||||||||||||||||||||||||||||||||||||||||||||||||||||||||
| ||||||||||||||||||||||||||||||||||||||||||||||||||||||||||||||||||||
| ||||||||||||||||||||||||||||||||||||||||||||||||||||||||||||||||||||
1 As defined in Regulation 3(1) | ||||||||||||||||||||||||||||||||||||||||||||||||||||||||||||||||||||
2 As defined in Regulation 3(1) | ||||||||||||||||||||||||||||||||||||||||||||||||||||||||||||||||||||
Date on which the keel was laid or ship was at a similar stage of construction.......................................................................................... | ||||||||||||||||||||||||||||||||||||||||||||||||||||||||||||||||||||
THIS IS TO CERTIFY: | ||||||||||||||||||||||||||||||||||||||||||||||||||||||||||||||||||||
1. that the ship has been surveyed in accordance with Regulation 7 of the Merchant Shipping (Safety of Fishing Vessels) Regulations 2007 | ||||||||||||||||||||||||||||||||||||||||||||||||||||||||||||||||||||
2. that the survey showed that: | ||||||||||||||||||||||||||||||||||||||||||||||||||||||||||||||||||||
(1) the condition of the hull, machinery and equipment, as defined in the above Regulations was in all respects satisfactory and that the vessel complied with the applicable requirements; | ||||||||||||||||||||||||||||||||||||||||||||||||||||||||||||||||||||
(2) the maximum permissible operating draught associated with each operating condition for the vessel is contained in the approved stability booklet dated ..................................... | ||||||||||||||||||||||||||||||||||||||||||||||||||||||||||||||||||||
3 Delete as appropriate | ||||||||||||||||||||||||||||||||||||||||||||||||||||||||||||||||||||
This Certificate is valid until ................................ subject to surveys in accordance with Regulations 7(1)(b)(ii), (b)(iii) and (c). | ||||||||||||||||||||||||||||||||||||||||||||||||||||||||||||||||||||
Issued at ............................................. . ................................................ | ||||||||||||||||||||||||||||||||||||||||||||||||||||||||||||||||||||
(place of issue of Certificate(date of issue) | ||||||||||||||||||||||||||||||||||||||||||||||||||||||||||||||||||||
(signed )................................................................................................. | ||||||||||||||||||||||||||||||||||||||||||||||||||||||||||||||||||||
(Authorised officer) | ||||||||||||||||||||||||||||||||||||||||||||||||||||||||||||||||||||
.......................................................... | ||||||||||||||||||||||||||||||||||||||||||||||||||||||||||||||||||||
(seal or stamp of Department) | ||||||||||||||||||||||||||||||||||||||||||||||||||||||||||||||||||||
Endorsement to extend the validity of the certificate for a period of grace where Regulation 11 applies | ||||||||||||||||||||||||||||||||||||||||||||||||||||||||||||||||||||
This certificate shall, in accordance with Regulation 11, be accepted as valid until .................................... | ||||||||||||||||||||||||||||||||||||||||||||||||||||||||||||||||||||
Signed: | ||||||||||||||||||||||||||||||||||||||||||||||||||||||||||||||||||||
(Authorised officer) | ||||||||||||||||||||||||||||||||||||||||||||||||||||||||||||||||||||
Place: | ||||||||||||||||||||||||||||||||||||||||||||||||||||||||||||||||||||
Date: | ||||||||||||||||||||||||||||||||||||||||||||||||||||||||||||||||||||
| ||||||||||||||||||||||||||||||||||||||||||||||||||||||||||||||||||||
(seal or stamp) | ||||||||||||||||||||||||||||||||||||||||||||||||||||||||||||||||||||
| ||||||||||||||||||||||||||||||||||||||||||||||||||||||||||||||||||||
Endorsement to extend the validity of the certificate until reaching the port of survey or for a period of grace where Regulation 11(2) or Regulation 11(4) applies | ||||||||||||||||||||||||||||||||||||||||||||||||||||||||||||||||||||
This certificate shall, in accordance with Regulation 11(2)/Reglation 11(4) 1 , be accepted as valid until .......................................................... | ||||||||||||||||||||||||||||||||||||||||||||||||||||||||||||||||||||
Signed: | ||||||||||||||||||||||||||||||||||||||||||||||||||||||||||||||||||||
(Authorised officer) | ||||||||||||||||||||||||||||||||||||||||||||||||||||||||||||||||||||
Place: | ||||||||||||||||||||||||||||||||||||||||||||||||||||||||||||||||||||
Date: | ||||||||||||||||||||||||||||||||||||||||||||||||||||||||||||||||||||
| ||||||||||||||||||||||||||||||||||||||||||||||||||||||||||||||||||||
| ||||||||||||||||||||||||||||||||||||||||||||||||||||||||||||||||||||
(seal or stamp) | ||||||||||||||||||||||||||||||||||||||||||||||||||||||||||||||||||||
| ||||||||||||||||||||||||||||||||||||||||||||||||||||||||||||||||||||
Endorsement for periodical surveys | ||||||||||||||||||||||||||||||||||||||||||||||||||||||||||||||||||||
Equipment survey | ||||||||||||||||||||||||||||||||||||||||||||||||||||||||||||||||||||
THIS IS TO CERTIFY that, at a survey as required by Regulation 7(1)(b)(ii), the vessel was found to comply with the relevant requirements. | ||||||||||||||||||||||||||||||||||||||||||||||||||||||||||||||||||||
Signed: | ||||||||||||||||||||||||||||||||||||||||||||||||||||||||||||||||||||
(Authorised officer) | ||||||||||||||||||||||||||||||||||||||||||||||||||||||||||||||||||||
Place: | ||||||||||||||||||||||||||||||||||||||||||||||||||||||||||||||||||||
Date: | ||||||||||||||||||||||||||||||||||||||||||||||||||||||||||||||||||||
| ||||||||||||||||||||||||||||||||||||||||||||||||||||||||||||||||||||
(seal or stamp)1 Delete as appropriate | ||||||||||||||||||||||||||||||||||||||||||||||||||||||||||||||||||||
Radio survey | ||||||||||||||||||||||||||||||||||||||||||||||||||||||||||||||||||||
THIS IS TO CERTIFY that, at a survey as required by Regulation 7(1)(b)(iii), the vessel was found to comply with the relevant requirements. | ||||||||||||||||||||||||||||||||||||||||||||||||||||||||||||||||||||
Signed: | ||||||||||||||||||||||||||||||||||||||||||||||||||||||||||||||||||||
(Authorised officer) | ||||||||||||||||||||||||||||||||||||||||||||||||||||||||||||||||||||
Place: | ||||||||||||||||||||||||||||||||||||||||||||||||||||||||||||||||||||
Date: | ||||||||||||||||||||||||||||||||||||||||||||||||||||||||||||||||||||
| ||||||||||||||||||||||||||||||||||||||||||||||||||||||||||||||||||||
(seal or stamp) | ||||||||||||||||||||||||||||||||||||||||||||||||||||||||||||||||||||
| ||||||||||||||||||||||||||||||||||||||||||||||||||||||||||||||||||||
Endorsement for intermediate survey | ||||||||||||||||||||||||||||||||||||||||||||||||||||||||||||||||||||
THIS IS TO CERTIFY that, at a survey as required by Regulation 7(3), the vessel was found to comply with the relevant requirements. | ||||||||||||||||||||||||||||||||||||||||||||||||||||||||||||||||||||
Signed: | ||||||||||||||||||||||||||||||||||||||||||||||||||||||||||||||||||||
(Authorised officer) | ||||||||||||||||||||||||||||||||||||||||||||||||||||||||||||||||||||
Place: | ||||||||||||||||||||||||||||||||||||||||||||||||||||||||||||||||||||
Date: | ||||||||||||||||||||||||||||||||||||||||||||||||||||||||||||||||||||
| ||||||||||||||||||||||||||||||||||||||||||||||||||||||||||||||||||||
(seal or stamp) | ||||||||||||||||||||||||||||||||||||||||||||||||||||||||||||||||||||
2. Form of Exemption Certificate for Fishing Vessels | ||||||||||||||||||||||||||||||||||||||||||||||||||||||||||||||||||||
DEPARTMENT OF TRANSPORT | ||||||||||||||||||||||||||||||||||||||||||||||||||||||||||||||||||||
FISHING VESSEL EXEMPTION CERTIFICATE | ||||||||||||||||||||||||||||||||||||||||||||||||||||||||||||||||||||
| ||||||||||||||||||||||||||||||||||||||||||||||||||||||||||||||||||||
| ||||||||||||||||||||||||||||||||||||||||||||||||||||||||||||||||||||
1 As defined in Regulation 3(1) | ||||||||||||||||||||||||||||||||||||||||||||||||||||||||||||||||||||
2 As defined in Regulation 3(1) | ||||||||||||||||||||||||||||||||||||||||||||||||||||||||||||||||||||
Date on which the keel was laid or ship was at a similar stage of construction............................................................................................................ | ||||||||||||||||||||||||||||||||||||||||||||||||||||||||||||||||||||
THIS IS TO CERTIFY: | ||||||||||||||||||||||||||||||||||||||||||||||||||||||||||||||||||||
that the vessel is, under the authority conferred by Regulation 4 exempted from the requirements of | ||||||||||||||||||||||||||||||||||||||||||||||||||||||||||||||||||||
| ||||||||||||||||||||||||||||||||||||||||||||||||||||||||||||||||||||
| ||||||||||||||||||||||||||||||||||||||||||||||||||||||||||||||||||||
This Certificate is valid until ............................, subject to the Fishing Vessel Safety Certificate, to which this certificate is attached, remaining valid. | ||||||||||||||||||||||||||||||||||||||||||||||||||||||||||||||||||||
| ||||||||||||||||||||||||||||||||||||||||||||||||||||||||||||||||||||
| ||||||||||||||||||||||||||||||||||||||||||||||||||||||||||||||||||||
| ||||||||||||||||||||||||||||||||||||||||||||||||||||||||||||||||||||
Endorsement to extend the validity of the certificate for a period of grace where Regulation 11(1) applies | ||||||||||||||||||||||||||||||||||||||||||||||||||||||||||||||||||||
| ||||||||||||||||||||||||||||||||||||||||||||||||||||||||||||||||||||
Signed: | ||||||||||||||||||||||||||||||||||||||||||||||||||||||||||||||||||||
(Authorised officer) | ||||||||||||||||||||||||||||||||||||||||||||||||||||||||||||||||||||
Place: | ||||||||||||||||||||||||||||||||||||||||||||||||||||||||||||||||||||
Date: | ||||||||||||||||||||||||||||||||||||||||||||||||||||||||||||||||||||
| ||||||||||||||||||||||||||||||||||||||||||||||||||||||||||||||||||||
(seal or stamp) | ||||||||||||||||||||||||||||||||||||||||||||||||||||||||||||||||||||
| ||||||||||||||||||||||||||||||||||||||||||||||||||||||||||||||||||||
Endorsement to extend the validity of the certificate until reaching the port of survey or for a period of grace where Regulation 11(2) or Regulation 11(4) applies | ||||||||||||||||||||||||||||||||||||||||||||||||||||||||||||||||||||
| ||||||||||||||||||||||||||||||||||||||||||||||||||||||||||||||||||||
Signed: | ||||||||||||||||||||||||||||||||||||||||||||||||||||||||||||||||||||
(Authorised officer) | ||||||||||||||||||||||||||||||||||||||||||||||||||||||||||||||||||||
Place: | ||||||||||||||||||||||||||||||||||||||||||||||||||||||||||||||||||||
Date: | ||||||||||||||||||||||||||||||||||||||||||||||||||||||||||||||||||||
| ||||||||||||||||||||||||||||||||||||||||||||||||||||||||||||||||||||
(seal or stamp) | ||||||||||||||||||||||||||||||||||||||||||||||||||||||||||||||||||||
*Delete as appropriate | ||||||||||||||||||||||||||||||||||||||||||||||||||||||||||||||||||||
| ||||||||||||||||||||||||||||||||||||||||||||||||||||||||||||||||||||
| ||||||||||||||||||||||||||||||||||||||||||||||||||||||||||||||||||||
RECORD OF EQUIPMENT | ||||||||||||||||||||||||||||||||||||||||||||||||||||||||||||||||||||
for the | ||||||||||||||||||||||||||||||||||||||||||||||||||||||||||||||||||||
FISHING VESSEL SAFETY CERTIFICATE | ||||||||||||||||||||||||||||||||||||||||||||||||||||||||||||||||||||
This record shall be permanently attached to the certificate of compliance | ||||||||||||||||||||||||||||||||||||||||||||||||||||||||||||||||||||
Record of equipment for compliance with the | ||||||||||||||||||||||||||||||||||||||||||||||||||||||||||||||||||||
Merchant Shipping (Safety of Fishing Vessels) (15-24 Metres) Regulations 2007 (S.I. No 640 of 2007) | ||||||||||||||||||||||||||||||||||||||||||||||||||||||||||||||||||||
1. Particulars of the vessel: | ||||||||||||||||||||||||||||||||||||||||||||||||||||||||||||||||||||
| ||||||||||||||||||||||||||||||||||||||||||||||||||||||||||||||||||||
1 As defined in Regulation 3(1) | ||||||||||||||||||||||||||||||||||||||||||||||||||||||||||||||||||||
2 As defined in Regulation 3(1) | ||||||||||||||||||||||||||||||||||||||||||||||||||||||||||||||||||||
2. Details of life-saving appliances: | ||||||||||||||||||||||||||||||||||||||||||||||||||||||||||||||||||||
| ||||||||||||||||||||||||||||||||||||||||||||||||||||||||||||||||||||
3. Details of radio facilities: | ||||||||||||||||||||||||||||||||||||||||||||||||||||||||||||||||||||
| ||||||||||||||||||||||||||||||||||||||||||||||||||||||||||||||||||||
4. Details of navigational equipment: | ||||||||||||||||||||||||||||||||||||||||||||||||||||||||||||||||||||
| ||||||||||||||||||||||||||||||||||||||||||||||||||||||||||||||||||||
THIS IS TO CERTIFY that this Record is correct in all respects | ||||||||||||||||||||||||||||||||||||||||||||||||||||||||||||||||||||
| ||||||||||||||||||||||||||||||||||||||||||||||||||||||||||||||||||||
| ||||||||||||||||||||||||||||||||||||||||||||||||||||||||||||||||||||
Regulation 27(2). | ||||||||||||||||||||||||||||||||||||||||||||||||||||||||||||||||||||
SCHEDULE 2 | ||||||||||||||||||||||||||||||||||||||||||||||||||||||||||||||||||||
RECOMMENDED PRACTICE FOR ANCHOR AND MOORING EQUIPMENT | ||||||||||||||||||||||||||||||||||||||||||||||||||||||||||||||||||||
1. The characteristics of anchors, chain, wires, towlines and mooring lines should be determined in accordance with the attached table, based on an equipment number “EN” as follows. | ||||||||||||||||||||||||||||||||||||||||||||||||||||||||||||||||||||
| ||||||||||||||||||||||||||||||||||||||||||||||||||||||||||||||||||||
| ||||||||||||||||||||||||||||||||||||||||||||||||||||||||||||||||||||
where: | ||||||||||||||||||||||||||||||||||||||||||||||||||||||||||||||||||||
△ moulded displacement, in tonnes, to the maximum design waterline; | ||||||||||||||||||||||||||||||||||||||||||||||||||||||||||||||||||||
B breadth, in m, as defined in Regulation 3; | ||||||||||||||||||||||||||||||||||||||||||||||||||||||||||||||||||||
a distance, in m, from the maximum design waterline to the upper edge of the uppermost complete deck at side amidships; | ||||||||||||||||||||||||||||||||||||||||||||||||||||||||||||||||||||
hj height, in m, on the centreline of each tier of deckhouses having a breadth greater than B/4. For the lowest tier hj is to be measured at centreline from the upper deck or from a notional deck line where there is a local discontinuity in the upper deck. When calculating h>j sheer and trim should be ignored; | ||||||||||||||||||||||||||||||||||||||||||||||||||||||||||||||||||||
A area, in m2, in profile view of the hull, within L as defined in Regulation 3 and of superstructures and deckhouses above the maximum design waterline having a width greater than B/4. Screens and bulwarks more than 1.5m in height should be regarded as parts of deckhouses when determining hj and A. | ||||||||||||||||||||||||||||||||||||||||||||||||||||||||||||||||||||
Anchors and chains. | ||||||||||||||||||||||||||||||||||||||||||||||||||||||||||||||||||||
2. Vessels should be fitted with at least 2 anchors which should be located at the bow. Vessels of less than 17m in length may be fitted with only one anchor, provided that the weight of the anchor is at least twice the weight of an anchor as specified in the table to this annex. | ||||||||||||||||||||||||||||||||||||||||||||||||||||||||||||||||||||
3. The weight of each anchor should be in accordance with the table given in this annex. | ||||||||||||||||||||||||||||||||||||||||||||||||||||||||||||||||||||
4. High holding power anchors of a design approved by the competent authority may be used as bower anchors. The weight of each such anchor may be 75% of the table weight given in this annex. | ||||||||||||||||||||||||||||||||||||||||||||||||||||||||||||||||||||
5. The Minister may require increased anchor equipment for vessels fishing in very rough waters or may permit reduction in the equipment for vessels operating in sheltered waters. | ||||||||||||||||||||||||||||||||||||||||||||||||||||||||||||||||||||
6. Anchors with a weight of and above 150 kg should be fitted in hawse pipes, skids or a similar arrangement that is suitable for the quick and safe operation in dropping and hoisting the anchors. If the weight of each of the anchors is below 300 kg, but greater than 150 kg, it may be accepted that only one of the anchors need be fitted in a hawse pipe or skid. Anchors should also be secured in the stowed position by means of a locking or lashing device. | ||||||||||||||||||||||||||||||||||||||||||||||||||||||||||||||||||||
7. Anchors should be fitted with anchor chains. The length and dimension of each anchor chain should be in accordance with the table given in this annex. | ||||||||||||||||||||||||||||||||||||||||||||||||||||||||||||||||||||
8. For vessels of 17m in length and over, the chain of one anchor may be replaced with anchor wire of equal strength, provided a chain meeting the requirements given in the table to this annex is maintained for the second one. | ||||||||||||||||||||||||||||||||||||||||||||||||||||||||||||||||||||
9. For vessels less than 17m in length, the chain of both anchors may be replaced with anchor wire of equal strength to the chain. | ||||||||||||||||||||||||||||||||||||||||||||||||||||||||||||||||||||
10. Where anchor wires are used as a substitute for anchor chains, their length should be equal to 1.5 times the corresponding tabular length of chain. In addition, a chain of not less than 12.5m in length and of the same specifications, as set out in the table to this annex, should be provided between anchor and anchor wire. | ||||||||||||||||||||||||||||||||||||||||||||||||||||||||||||||||||||
11. Where the Minister has authorised the use of trawl warp as anchor wire, he or she should be satisfied that the arrangement does not reduce the efficiency required for the quick and safe operation in dropping and hoisting the anchors and for holding the vessel at anchor in all foreseeable service conditions. The requirements for a trawl warp should not be less than that required for anchor wire. | ||||||||||||||||||||||||||||||||||||||||||||||||||||||||||||||||||||
Anchor handling. | ||||||||||||||||||||||||||||||||||||||||||||||||||||||||||||||||||||
12. Fishing vessels provided with anchors of or above 150 kg should be fitted with a windlass. The windlass should be fitted with a messenger wheel and/or drum for each anchor and means for the release of each messenger wheel or drum. | ||||||||||||||||||||||||||||||||||||||||||||||||||||||||||||||||||||
13. It should not be possible to carry the chains forward to the hawse pipe, skid or similar arrangement without the chain passing over the messenger wheels. When anchor wire is used, it should pass over a roller adjacent to the hawse pipe to avoid chafing. | ||||||||||||||||||||||||||||||||||||||||||||||||||||||||||||||||||||
14. The windlass, its support and its brakes should be capable of absorbing a static tension of at least 45% of the breaking strength of the anchor chain or anchor wire without the occurrence of any lasting deformations and without the brake losing its hold. Furthermore, a chain stopper or wire nipper should be fitted between the windlass and the hawse pipe or similar for each anchor chain or anchor wire capable of holding the vessel while at anchor. If chain stoppers or wire nippers are not fitted, the windlass, its support and its brake should be capable of absorbing a static tension of at least 80% of the breaking strength of the anchor chain or anchor wire. The chain stopper or wire nipper and their supports should be capable of absorbing a static tension of at least 80% of the breaking strength of the anchor chain/wire without the occurrence of any lasting deformations and without the chain stopper or wire nipper losing its hold. | ||||||||||||||||||||||||||||||||||||||||||||||||||||||||||||||||||||
15. If the trawl winch is fitted with messenger wheels, etc. and meets the requirements set out in paragraphs 12, 13 and 14, such a winch may be used as a windlass. | ||||||||||||||||||||||||||||||||||||||||||||||||||||||||||||||||||||
16. Fishing vessels which have been authorised to use trawl warp as anchor wire may use their trawl winch as a windlass, provided the trawl warp can be wound on a drum with a braking device that is independent of the actual trawl warps in use for fishing. Lead blocks and guide rollers should be suitably fitted and arranged to prevent the warps from chafing at the deckhouses, superstructures, deck plating and equipment on deck. | ||||||||||||||||||||||||||||||||||||||||||||||||||||||||||||||||||||
17. If a vessel has lost its anchors and it is not immediately possible to re-acquire them, the Minister, after having assessed the conditions applying to the vessel, as given in paragraph 5, may permit otter boards/trawl doors with a least the same weight for anchors given in the table to this annex to be used for a limited period of time. | ||||||||||||||||||||||||||||||||||||||||||||||||||||||||||||||||||||
Towing lines | ||||||||||||||||||||||||||||||||||||||||||||||||||||||||||||||||||||
18. Vessels of 17m of length and over should be provided with at least one tow line with a length and breaking strength in accordance with the table given in this annex. It should be appropriately located so that it is possible to make it ready for use at sea. The tow line may be replaced by one of the fishing vessel’s trawl warps if this has at least a similar length and breaking strength. If warp is used, a length of rope of at least 12.5m, with a minimum breaking strength as given in the table for the tow line, should also be provided and attached to the warp. | ||||||||||||||||||||||||||||||||||||||||||||||||||||||||||||||||||||
Mooring equipment | ||||||||||||||||||||||||||||||||||||||||||||||||||||||||||||||||||||
19. Vessels should be provided with suitable cleats and bollards as well as hawseholes in order to moor the vessel securely. The number of bollards, etc. should be determined in each individual case, dependent on the size and deck arrangement of the vessel. At least one bollard should be fitted forward and at least two abaft of amidships. Cleats and bollards should be of such a size that it is possible to accommodate at least four turns of the mooring lines or tow line below the horns of the cleat or the upper protruding edge of the bollard. The area where cleats and bollards are to be fastened should be securely reinforced. | ||||||||||||||||||||||||||||||||||||||||||||||||||||||||||||||||||||
20. The vessel should be provided with at least three mooring lines, each of a length and breaking strength in accordance with the table given in this annex. | ||||||||||||||||||||||||||||||||||||||||||||||||||||||||||||||||||||
TABLE | ||||||||||||||||||||||||||||||||||||||||||||||||||||||||||||||||||||
| ||||||||||||||||||||||||||||||||||||||||||||||||||||||||||||||||||||
Regulations 30, 36, 37 & 39. | ||||||||||||||||||||||||||||||||||||||||||||||||||||||||||||||||||||
SCHEDULE 3 | ||||||||||||||||||||||||||||||||||||||||||||||||||||||||||||||||||||
INFORMATION AS TO STABILITY OF FISHING VESSELS | ||||||||||||||||||||||||||||||||||||||||||||||||||||||||||||||||||||
The stability information book to be kept on board the vessel, under Regulation 39, shall contain the following information: | ||||||||||||||||||||||||||||||||||||||||||||||||||||||||||||||||||||
1. A statement of the vessel’s name, port of registry, official number, registration letters, principal dimensions, date and place of build, gross and net tonnage, displacement and minimum freeboard in the deepest foreseeable operating condition. | ||||||||||||||||||||||||||||||||||||||||||||||||||||||||||||||||||||
2. A profile plan of the vessel drawn to scale showing the names of all compartments, tanks, storerooms, crew accommodation spaces and the position of the mid-point of the length (L). | ||||||||||||||||||||||||||||||||||||||||||||||||||||||||||||||||||||
3. A tabular statement of the capacities and position of the centres of gravity, longitudinally and vertically, for every compartment available for the carriage of cargo, fuel, stores, feed water, domestic water, water ballast, crew and effects. | ||||||||||||||||||||||||||||||||||||||||||||||||||||||||||||||||||||
The free surface function defined in paragraph 11 below shall also be included for each tank designed to carry liquid. | ||||||||||||||||||||||||||||||||||||||||||||||||||||||||||||||||||||
Details of the centroid of the total internal volume of the fish-hold shall be included in such information. The calculation may take into account the effect of assuming a void space between the top of the catch and the underside of the deckhead provided that under normal operating conditions, control of loading in the hold is such that the actual void space above the catch will always be equal to or greater than that assumed in such a calculation. | ||||||||||||||||||||||||||||||||||||||||||||||||||||||||||||||||||||
4. Where deck cargo is carried by a vessel the estimated maximum weight and disposition of such deck cargo shall be included in the information in the appropriate operating conditions, and show compliance with the stability criteria set out in these Regulations. | ||||||||||||||||||||||||||||||||||||||||||||||||||||||||||||||||||||
5. A diagram or tabular statement shall be provided showing for a suitable range of mean draughts and at the trim stated, the following hydrostatic particulars of the vessel: | ||||||||||||||||||||||||||||||||||||||||||||||||||||||||||||||||||||
(a) full displacement in tonnes; | ||||||||||||||||||||||||||||||||||||||||||||||||||||||||||||||||||||
(b) the heights of the transverse metacentres; | ||||||||||||||||||||||||||||||||||||||||||||||||||||||||||||||||||||
(c) moments to change trim one centimetre; | ||||||||||||||||||||||||||||||||||||||||||||||||||||||||||||||||||||
(d) tonnes per centimetre immersion; | ||||||||||||||||||||||||||||||||||||||||||||||||||||||||||||||||||||
(e) longitudinal position of the centre of flotation; | ||||||||||||||||||||||||||||||||||||||||||||||||||||||||||||||||||||
(f) vertical position of the centre of buoyancy; | ||||||||||||||||||||||||||||||||||||||||||||||||||||||||||||||||||||
(g) longitudinal position of the centre of buoyancy. | ||||||||||||||||||||||||||||||||||||||||||||||||||||||||||||||||||||
Where a vessel has a raked keel, the same datum (a horizontal line through the intersection of the hull moulded line with the vessel centreline, amidships) shall be used for the hydrostatics as employed in determining the information required in paragraph 3 above. In such cases full information shall be included in respect of the rake and dimensions of the keel and may be given in the form of a diagram. The positioning of the draft marks relative to this datum shall be included on such a diagram. | ||||||||||||||||||||||||||||||||||||||||||||||||||||||||||||||||||||
6. A diagram or table shall be provided showing maximum permissible values of vertical centre of gravity (KG) to ensure compliance with the stability criteria of Regulation 31. The permissible allowable KG values shall also take account of Regulations 32 to 35, where applicable. Where a vessel has a raked keel a horizontal datum through the intersection of the hull moulded line with the vessel centreline, amidships, shall be used. | ||||||||||||||||||||||||||||||||||||||||||||||||||||||||||||||||||||
7. The information provided under paragraphs 5 and 6 above shall be at such a nominal trim that represents accurately the vessel in all normal operating trims. Where calculations show that there are significant numerical variations in these operating trims the information provided under paragraphs 5 and 6 above shall be repeated over such a range of trims to allow an accurate interpolation of such information at any normal operating trim. | ||||||||||||||||||||||||||||||||||||||||||||||||||||||||||||||||||||
8. Superstructure deckhouses, companionways located on the freeboard deck, including hatchway structures may be taken into account in deriving maximum permissible KGs provided that their location, integrity and means of closure will effectively contribute to the buoyancy. Details of such structures shall be included. | ||||||||||||||||||||||||||||||||||||||||||||||||||||||||||||||||||||
9. A statement listing the stability criteria upon which the maximum permissible KG values provided under paragraph 6 are based. The requirements of Regulations 32 to 35 are to be incorporated, where applicable. | ||||||||||||||||||||||||||||||||||||||||||||||||||||||||||||||||||||
10. A statement listing the maximum allowable draughts for compliance with Regulations 41 and 42. | ||||||||||||||||||||||||||||||||||||||||||||||||||||||||||||||||||||
11. An example shall be included to show the corrections applied to the KG for the effects of the free surfaces of liquids in tanks and shall be calculated and taken into account as follows: | ||||||||||||||||||||||||||||||||||||||||||||||||||||||||||||||||||||
The vertical centre of gravity (KG) in metres shall be increased by an amount equal to the total of the free surface functions for each tank divided by the vessel’s displacement in tonnes. For each tank the free surface function is given by: | ||||||||||||||||||||||||||||||||||||||||||||||||||||||||||||||||||||
1. 025 x ρi where ρ = specific gravity of the liquid; | ||||||||||||||||||||||||||||||||||||||||||||||||||||||||||||||||||||
| ||||||||||||||||||||||||||||||||||||||||||||||||||||||||||||||||||||
i = transverse moment of inertia of the surface | ||||||||||||||||||||||||||||||||||||||||||||||||||||||||||||||||||||
( | ||||||||||||||||||||||||||||||||||||||||||||||||||||||||||||||||||||
i.e. correction = | ||||||||||||||||||||||||||||||||||||||||||||||||||||||||||||||||||||
Displacement | ||||||||||||||||||||||||||||||||||||||||||||||||||||||||||||||||||||
12. A stability statement and diagram shall be provided for the usual condition of the vessel: | ||||||||||||||||||||||||||||||||||||||||||||||||||||||||||||||||||||
(a) in the lightship condition: | ||||||||||||||||||||||||||||||||||||||||||||||||||||||||||||||||||||
the vessel shall be assumed to be empty except for liquids in machinery and in piping systems including header tanks. The weight and position of the centre of gravity of any permanent ballast or fishing gear shall be indicated; | ||||||||||||||||||||||||||||||||||||||||||||||||||||||||||||||||||||
(b) in each of the following circumstances so far as they may be applicable to the vessel in its foreseeable operating conditions: | ||||||||||||||||||||||||||||||||||||||||||||||||||||||||||||||||||||
(i) on departure from port: | ||||||||||||||||||||||||||||||||||||||||||||||||||||||||||||||||||||
the vessel shall be assumed to be loaded with the necessary equipment, materials and supplies including ice, fuel, stores and water; | ||||||||||||||||||||||||||||||||||||||||||||||||||||||||||||||||||||
(ii) on arrival at fishing grounds: | ||||||||||||||||||||||||||||||||||||||||||||||||||||||||||||||||||||
as subparagraph (i) but account taken of the consumption of fuel and stores; | ||||||||||||||||||||||||||||||||||||||||||||||||||||||||||||||||||||
(iii) on arrival at fishing grounds: | ||||||||||||||||||||||||||||||||||||||||||||||||||||||||||||||||||||
as subparagraph (ii) but the appropriate icing-up allowance as set out in paragraph 17 below shall be taken into account; | ||||||||||||||||||||||||||||||||||||||||||||||||||||||||||||||||||||
(iv) on departure from fishing grounds: | ||||||||||||||||||||||||||||||||||||||||||||||||||||||||||||||||||||
the vessel shall be assumed to be loaded with its maximum catch but account taken of the consumption of fuel and stores; | ||||||||||||||||||||||||||||||||||||||||||||||||||||||||||||||||||||
(v) on departure from fishing grounds: | ||||||||||||||||||||||||||||||||||||||||||||||||||||||||||||||||||||
as subparagraph (iv) but the appropriate icing-up allowance as set out in paragraph 17 below shall be taken into account; | ||||||||||||||||||||||||||||||||||||||||||||||||||||||||||||||||||||
(vi) on departure from fishing grounds: | ||||||||||||||||||||||||||||||||||||||||||||||||||||||||||||||||||||
the vessel shall be assumed to be loaded with 20% of its maximum catch but account taken of the consumption of fuel and stores; | ||||||||||||||||||||||||||||||||||||||||||||||||||||||||||||||||||||
(vii) on departure from fishing grounds: | ||||||||||||||||||||||||||||||||||||||||||||||||||||||||||||||||||||
as subparagraph (vi) but the appropriate icing-up allowance as set out in paragraph 17 below shall be taken into account; | ||||||||||||||||||||||||||||||||||||||||||||||||||||||||||||||||||||
(viii) on arrival at port with maximum catch: | ||||||||||||||||||||||||||||||||||||||||||||||||||||||||||||||||||||
account shall be taken of the consumption of fuel and stores; | ||||||||||||||||||||||||||||||||||||||||||||||||||||||||||||||||||||
(ix) on arrival at port with 20% maximum catch: | ||||||||||||||||||||||||||||||||||||||||||||||||||||||||||||||||||||
account shall be taken of the consumption of fuel and stores; | ||||||||||||||||||||||||||||||||||||||||||||||||||||||||||||||||||||
(x) if any part of the catch normally remains on deck, further statements and diagrams appertaining to that condition in all the appropriate circumstances set out in subparagraphs (iv) to (ix) inclusive shall be provided. | ||||||||||||||||||||||||||||||||||||||||||||||||||||||||||||||||||||
The total free surface correction for the effect of liquid in tanks shall be applied to each loading condition set out in the foregoing provisions of this paragraph. The free surface correction shall take into account the amounts of fuel, lubricating oil, feed and fresh water in the vessel in each such loading condition. | ||||||||||||||||||||||||||||||||||||||||||||||||||||||||||||||||||||
(c) Working instructions, written in a language and manner easily understood by the Master and specifying in detail the manner in which the vessel is to be loaded and ballasted, shall be included within the Trim and Stability Manual. The instructions shall generally be based upon the conditions that are specified in paragraph (b). For vessels in which no provision has been made for the carriage of deck cargo, the working instructions shall also contain the following statement: | ||||||||||||||||||||||||||||||||||||||||||||||||||||||||||||||||||||
“Provision has not been made within the vessel’s stability for deck stowage of catch. Catch landed on deck shall be stowed below as soon as is possible and prior to landing further catch” | ||||||||||||||||||||||||||||||||||||||||||||||||||||||||||||||||||||
13. Where provision is made in a particular area of the vessel for the washing and cleaning of the catch which could lead to an accumulation of loose water a further statement and diagram shall be provided appropriate to that condition which takes into account the adverse effects of such loose water, it being assumed that: | ||||||||||||||||||||||||||||||||||||||||||||||||||||||||||||||||||||
(i) the amount of loose water on deck is determined by the size and disposition of the retaining devices; and | ||||||||||||||||||||||||||||||||||||||||||||||||||||||||||||||||||||
(ii) in all other respects the vessel is loaded in accordance with (iv) or (vi) of paragraph 12, whichever is the less favourable with regard to the vessels stability. | ||||||||||||||||||||||||||||||||||||||||||||||||||||||||||||||||||||
14. Each stability statement shall consist of: | ||||||||||||||||||||||||||||||||||||||||||||||||||||||||||||||||||||
(i) a profile drawn to a suitable scale showing the disposition of the deadweight components; | ||||||||||||||||||||||||||||||||||||||||||||||||||||||||||||||||||||
(ii) a tabular statement of all the components of the displacement including weights, positions of centres of gravity, transverse metacentric height corrected for free surface effects, trim and draughts; | ||||||||||||||||||||||||||||||||||||||||||||||||||||||||||||||||||||
(iii) a diagram showing a curve of righting levers (GZ), corrected for free surface effects, showing, if appropriate, the angle at which the lower edges of any opening which cannot be closed watertight will be immersed. The diagram shall also show the corresponding numerical values of the stability parameters defined in section 31 of these Regulations. | ||||||||||||||||||||||||||||||||||||||||||||||||||||||||||||||||||||
15. The information provided under subparagraph (iii) of paragraph 14 shall be supplemented by a comparison of the actual KG, corrected for free surface effects, to the maximum permissible KG appropriate for each condition. | ||||||||||||||||||||||||||||||||||||||||||||||||||||||||||||||||||||
16. A worked example demonstrating the method for making a simplified check on freeboard and stability using the maximum permissible KG method. | ||||||||||||||||||||||||||||||||||||||||||||||||||||||||||||||||||||
17. The icing-up allowance which represents the added weight due to ice accretion on the exposed surfaces of the hull, superstructure, deck, deckhouses and companionways shall be calculated as follows: | ||||||||||||||||||||||||||||||||||||||||||||||||||||||||||||||||||||
(i) full icing allowance: | ||||||||||||||||||||||||||||||||||||||||||||||||||||||||||||||||||||
all exposed horizontal surfaces (decks, house tops, etc.) shall be assumed to carry an ice weight of 30 kilograms per square metre. | ||||||||||||||||||||||||||||||||||||||||||||||||||||||||||||||||||||
The projected lateral area of the vessel above the waterline (a silhouette) shall be assumed to carry an ice weight of 15 kilograms per square metre. The height of the centre of gravity shall be calculated according to the heights of the respective areas and in the case of the projected lateral area the effect of sundry booms, rails, wires, etc., which will not have been included in the area calculated shall be taken into account by increasing by 5% the weight due to the lateral area and the moment of this weight by 10%. | ||||||||||||||||||||||||||||||||||||||||||||||||||||||||||||||||||||
This allowance shall apply in winter (1st November to 30th April inclusive in the northern hemisphere) to vessels which operate in the following areas: | ||||||||||||||||||||||||||||||||||||||||||||||||||||||||||||||||||||
(a) the area north of latitude 66°30N. between longitude 10°W. and the Norwegian Coast; | ||||||||||||||||||||||||||||||||||||||||||||||||||||||||||||||||||||
(b) the area north of latitude 63°N. between longitude 28°W. and 10°W.; | ||||||||||||||||||||||||||||||||||||||||||||||||||||||||||||||||||||
(c) the area north of latitude 45°N. between the North American continent and longitude 28°W.; | ||||||||||||||||||||||||||||||||||||||||||||||||||||||||||||||||||||
(d) all sea areas north of the European, Asian and North American continents east and west of the areas defined in (a), (b) and (c); | ||||||||||||||||||||||||||||||||||||||||||||||||||||||||||||||||||||
(e) Bering and Okhotsk seas and Tatar Strait; | ||||||||||||||||||||||||||||||||||||||||||||||||||||||||||||||||||||
(f) South of latitude 60°S. | ||||||||||||||||||||||||||||||||||||||||||||||||||||||||||||||||||||
(ii) Half of the full icing allowance: | ||||||||||||||||||||||||||||||||||||||||||||||||||||||||||||||||||||
this shall be taken as one half of that calculated under subparagraph (i) and shall apply in winter to vessels which operate in all areas north of latitude 61°N. between longitude 28°W. and the Norwegian Coast and south of the areas defined as the lower limit for the full icing allowance between longitude 28°W. and the Norwegian Coast. | ||||||||||||||||||||||||||||||||||||||||||||||||||||||||||||||||||||
18. Information shall be provided in respect of the assumptions made in calculating the condition of the vessel in each of the circumstances set out in paragraph 12 for the following: | ||||||||||||||||||||||||||||||||||||||||||||||||||||||||||||||||||||
(i) duration of the voyage in terms of days spent in reaching the fishing grounds, on the grounds and returning to port; | ||||||||||||||||||||||||||||||||||||||||||||||||||||||||||||||||||||
(ii) the weight and disposition of the ice in the hold at departure from port including the heights of stowage; | ||||||||||||||||||||||||||||||||||||||||||||||||||||||||||||||||||||
(iii) consumption rates during the voyage for fuel, water, stores and other consumables; | ||||||||||||||||||||||||||||||||||||||||||||||||||||||||||||||||||||
(iv) ratio by weight of the ice packed with the catch in the fish hold. | ||||||||||||||||||||||||||||||||||||||||||||||||||||||||||||||||||||
(v) melting rates for each part of the voyage of the ice packed with the catch and the ice remaining unused in the hold. | ||||||||||||||||||||||||||||||||||||||||||||||||||||||||||||||||||||
19. A copy of a report of an inclining test of the vessel and the derivation therefrom of the lightship particulars shall be provided. | ||||||||||||||||||||||||||||||||||||||||||||||||||||||||||||||||||||
20. A statement shall be given by or on behalf of the owner of the vessel that the statements and diagrams supplied with respect to the operating conditions set out in paragraph 12 based on the worst foreseeable service conditions in respect of the weights and disposition of fish carried in the hold or on deck, ice in the hold, fuel, water and other consumables. | ||||||||||||||||||||||||||||||||||||||||||||||||||||||||||||||||||||
Regulation 62(1)(d). | ||||||||||||||||||||||||||||||||||||||||||||||||||||||||||||||||||||
SCHEDULE 4 | ||||||||||||||||||||||||||||||||||||||||||||||||||||||||||||||||||||
AMMONIA REFRIGERATION SYSTEMS IN MANNED SPACES | ||||||||||||||||||||||||||||||||||||||||||||||||||||||||||||||||||||
1. All electrical equipment on, or adjacent to, the ammonia machinery flat shall be explosion proof or of an intrinsically safe type. | ||||||||||||||||||||||||||||||||||||||||||||||||||||||||||||||||||||
2. Flame producing devices and hot surfaces above 427°C in the machinery space shall be located as remotely as practicable from the ammonia machinery flat. | ||||||||||||||||||||||||||||||||||||||||||||||||||||||||||||||||||||
3. Ammonia equipment shall be surrounded by an efficient water curtain and, in addition, water sprays shall be directed at all potential leak sources, e.g. pipe connections and flanges, compressors, etc. The water curtain and sprays shall be provided with an adequate supply of water which shall be maintained under constant pressure. | ||||||||||||||||||||||||||||||||||||||||||||||||||||||||||||||||||||
4. A large capacity ventilation system including mechanical exhaust shall be provided for the ammonia machinery flat. The system shall not exhaust to another space and shall be well clear of ventilator intakes to other spaces. The mechanical exhaust ventilation fan motor shall be either fitted exterior to the ammonia flat or shall be of an intrinsically safe type. | ||||||||||||||||||||||||||||||||||||||||||||||||||||||||||||||||||||
5. Coamings shall be provided around the ammonia machinery flat. | ||||||||||||||||||||||||||||||||||||||||||||||||||||||||||||||||||||
6. Personal safety equipment, including suitable gas masks and protective clothing, shall be provided inside and outside the machinery space. | ||||||||||||||||||||||||||||||||||||||||||||||||||||||||||||||||||||
7. Remote controls located in the wheelhouse or another suitable place shall be provided for the following services: | ||||||||||||||||||||||||||||||||||||||||||||||||||||||||||||||||||||
(i) the water curtain and spray systems; | ||||||||||||||||||||||||||||||||||||||||||||||||||||||||||||||||||||
(ii) the ammonia machinery flat ventilation system; and | ||||||||||||||||||||||||||||||||||||||||||||||||||||||||||||||||||||
(iii) the main engine. | ||||||||||||||||||||||||||||||||||||||||||||||||||||||||||||||||||||
8. Means shall be provided for stopping the ammonia compressor prime movers from the wheelhouse or another suitable place. | ||||||||||||||||||||||||||||||||||||||||||||||||||||||||||||||||||||
9. Means of escape direct to deck from the ammonia machinery flat shall be provided in addition to any other escape which may be required. | ||||||||||||||||||||||||||||||||||||||||||||||||||||||||||||||||||||
10. Drainage shall be provided from machinery spaces and/or flats leading to a place where water which could be contaminated with refrigerant presents no danger to the vessel or to persons on board. | ||||||||||||||||||||||||||||||||||||||||||||||||||||||||||||||||||||
11. Information concerning hazards, precautions and first aid shall be clearly displayed at the access to the ammonia machinery space. | ||||||||||||||||||||||||||||||||||||||||||||||||||||||||||||||||||||
Piping systems | ||||||||||||||||||||||||||||||||||||||||||||||||||||||||||||||||||||
12. Joints in steel piping systems shall be butt welded wherever practical to reduce the possibility of leaks. Flanged joints shall be limited to connections with compressors, vessels, valves, branches for future extensions or where required for maintenance. The number of joints, whether flanged or welded, shall be kept to a minimum. | ||||||||||||||||||||||||||||||||||||||||||||||||||||||||||||||||||||
13. If for operational reasons flexible hoses are required, the Minister shall be satisfied that that they are suitable for ammonia service. They shall be adequately protected against mechanical damage, torsion and stress. | ||||||||||||||||||||||||||||||||||||||||||||||||||||||||||||||||||||
14. To the extent possible, flexible bellows shall be avoided. Where flexible bellows are proposed, the Minister shall be satisfied that they are only used within the recommendations of the manufacturer and adequate precautions are taken to avoid excessive vibration, mechanical damage, torsion and stress. | ||||||||||||||||||||||||||||||||||||||||||||||||||||||||||||||||||||
15. All refrigerant piping shall be adequately supported and the supports or hangers shall be designed to carry the weight of the pipe including contents and, where required, insulation. | ||||||||||||||||||||||||||||||||||||||||||||||||||||||||||||||||||||
16. There shall be sufficient clearance around pipelines to allow for any necessary attention to flanges, screwed joints and fittings. | ||||||||||||||||||||||||||||||||||||||||||||||||||||||||||||||||||||
17. Ammonia piping shall not be located in lift wells, accommodation spaces, in stairways or at entrances/exits. Pipework shall also be arranged so as not to obstruct access ways and inhibit access to the machinery. | ||||||||||||||||||||||||||||||||||||||||||||||||||||||||||||||||||||
18. Special attention shall be paid to the clearance around pipes passing through fire resistant bulkheads and deckheads, which shall be adequately sealed to maintain the integrity of the bulkhead or deckhead. Pipe ducts and shafts shall be isolated from other spaces to resist the spread of fire. | ||||||||||||||||||||||||||||||||||||||||||||||||||||||||||||||||||||
Decommissioning | ||||||||||||||||||||||||||||||||||||||||||||||||||||||||||||||||||||
19. When a refrigeration system is to be decommissioned or taken out of service and dismantled, the procedure shall ensure that: | ||||||||||||||||||||||||||||||||||||||||||||||||||||||||||||||||||||
(i) hazards to the personnel carrying out the process are minimised; | ||||||||||||||||||||||||||||||||||||||||||||||||||||||||||||||||||||
(ii) refrigerant and oil are correctly removed for reclamation or disposal; and | ||||||||||||||||||||||||||||||||||||||||||||||||||||||||||||||||||||
(iii) the system as left does not present any future hazard to personnel or to the environment due to residual content. | ||||||||||||||||||||||||||||||||||||||||||||||||||||||||||||||||||||
Regulation 143(4). | ||||||||||||||||||||||||||||||||||||||||||||||||||||||||||||||||||||
SCHEDULE 5 | ||||||||||||||||||||||||||||||||||||||||||||||||||||||||||||||||||||
RADIO EQUIPMENT TESTS AND RESERVE POWER CHECKS | ||||||||||||||||||||||||||||||||||||||||||||||||||||||||||||||||||||
1. Daily | ||||||||||||||||||||||||||||||||||||||||||||||||||||||||||||||||||||
(i) The proper functioning of the DSC facilities shall be tested at least once daily without radiation of signals, by use of the means provided by the equipment. | ||||||||||||||||||||||||||||||||||||||||||||||||||||||||||||||||||||
(ii) Batteries providing a source of energy for any part of the radio installations shall be tested daily and, where necessary, brought up to the fully charged condition. | ||||||||||||||||||||||||||||||||||||||||||||||||||||||||||||||||||||
(iii) Where the reserve source of energy is not a battery (for example, a motor generator), the reserve source of energy shall be tested daily. | ||||||||||||||||||||||||||||||||||||||||||||||||||||||||||||||||||||
2. Weekly | ||||||||||||||||||||||||||||||||||||||||||||||||||||||||||||||||||||
The proper operation of the DSC facilities shall be tested at least once each week by means of a test call, when within communication range of a coast radio station fitted with DSC equipment. Where a ship has been out of communication range of a coast radio station fitted with DSC equipment for a period of longer than one week, a test call shall be made on the first occasion that the ship is within communication range of such a coast radio station. | ||||||||||||||||||||||||||||||||||||||||||||||||||||||||||||||||||||
3. Monthly | ||||||||||||||||||||||||||||||||||||||||||||||||||||||||||||||||||||
(a) Each EPIRB and satellite EPIRB shall be tested at least once each month to determine its capability to operate properly using the means provided on the device and without using the satellite system. | ||||||||||||||||||||||||||||||||||||||||||||||||||||||||||||||||||||
(b) At least once each month each search and rescue radar transponder shall be tested and checked for security and signs of damage. | ||||||||||||||||||||||||||||||||||||||||||||||||||||||||||||||||||||
(c) Each survival craft two-way VHF equipment shall be tested at least once each month on a frequency other than 156.800 MHz (VHF channel 16). | ||||||||||||||||||||||||||||||||||||||||||||||||||||||||||||||||||||
(d) A check shall be made at least once each month on the security and condition of all batteries providing a source of energy for any part of a radio installation. The battery connections and compartment shall also be checked. | ||||||||||||||||||||||||||||||||||||||||||||||||||||||||||||||||||||
Regulation 145. | ||||||||||||||||||||||||||||||||||||||||||||||||||||||||||||||||||||
SCHEDULE 6 | ||||||||||||||||||||||||||||||||||||||||||||||||||||||||||||||||||||
RADIO LOG | ||||||||||||||||||||||||||||||||||||||||||||||||||||||||||||||||||||
The following shall be recorded in the Radio Log: | ||||||||||||||||||||||||||||||||||||||||||||||||||||||||||||||||||||
(a) the time and source of each communication relating to distress, urgency and safety traffic and a summary of its contents, | ||||||||||||||||||||||||||||||||||||||||||||||||||||||||||||||||||||
(b) the occurrence and time of important service incidents, | ||||||||||||||||||||||||||||||||||||||||||||||||||||||||||||||||||||
(c) the position of the ship at, at least, one given time each day, and the recording shall be made as soon as may be after the event concerned. | ||||||||||||||||||||||||||||||||||||||||||||||||||||||||||||||||||||
Regulation 147. | ||||||||||||||||||||||||||||||||||||||||||||||||||||||||||||||||||||
SCHEDULE 7 | ||||||||||||||||||||||||||||||||||||||||||||||||||||||||||||||||||||
1 Charts and Publications are required to be kept up to date. | ||||||||||||||||||||||||||||||||||||||||||||||||||||||||||||||||||||
| ||||||||||||||||||||||||||||||||||||||||||||||||||||||||||||||||||||
2 Marine Notices relevant to the operation of the vessel are to be kept in a file on board | ||||||||||||||||||||||||||||||||||||||||||||||||||||||||||||||||||||
3 Notices to Mariners are to be retained on board for at least two years. Digital Notices to Mariners are acceptable (refer marine Notice No. 9 of 2005) | ||||||||||||||||||||||||||||||||||||||||||||||||||||||||||||||||||||
4 Reeds Nautical Almanac may be carried | ||||||||||||||||||||||||||||||||||||||||||||||||||||||||||||||||||||
5 The relevant Admiralty List of Lights for the area is to be carried; a digital list of lights is also available. | ||||||||||||||||||||||||||||||||||||||||||||||||||||||||||||||||||||
6 Sailing Directions for the Area that the vessel is operating in are to be carried. | ||||||||||||||||||||||||||||||||||||||||||||||||||||||||||||||||||||
7 Admiralty Tide Tables should be carried. Digital (“Total Tide”) Tide Data is available. | ||||||||||||||||||||||||||||||||||||||||||||||||||||||||||||||||||||
8 Charts for the area of operation are to be carried (approved electronic charts systems are acceptable) | ||||||||||||||||||||||||||||||||||||||||||||||||||||||||||||||||||||
| ||||||||||||||||||||||||||||||||||||||||||||||||||||||||||||||||||||
GIVEN under my Official Seal, | ||||||||||||||||||||||||||||||||||||||||||||||||||||||||||||||||||||
17 September 2007 | ||||||||||||||||||||||||||||||||||||||||||||||||||||||||||||||||||||
NOEL DEMPSEY. | ||||||||||||||||||||||||||||||||||||||||||||||||||||||||||||||||||||
Minister for Transport. | ||||||||||||||||||||||||||||||||||||||||||||||||||||||||||||||||||||
EXPLANATORY NOTE | ||||||||||||||||||||||||||||||||||||||||||||||||||||||||||||||||||||
(This note is not part of the instrument and does not purport to be a legal interpretation) | ||||||||||||||||||||||||||||||||||||||||||||||||||||||||||||||||||||
These regulations apply to every mechanically propelled fishing vessel of 15 metres in length overall and over but less than 24 metres in length, registered in the State. | ||||||||||||||||||||||||||||||||||||||||||||||||||||||||||||||||||||
The regulations set out the standards for the safe construction and equipment of fishing vessels and also the survey and certification requirements for new and existing vessels. The regulations will apply initially to new vessels and then to existing vessels on a phased basis. The licensing authority may not issue a licence until a vessel complies with the safety requirements and the owner submits a copy of a safety certificate confirming this. | ||||||||||||||||||||||||||||||||||||||||||||||||||||||||||||||||||||
1 As defined in Regulation 3(1) 2 As defined in Regulation 3(1) 1 As defined in Regulation 3(1) 2 As defined in Regulation 3(1) 1 As defined in Regulation 3(1) 2 As defined in Regulation 3(1) 1 Charts and Publications are required to be kept up to date. 2 Marine Notices relevant to the operation of the vessel are to be kept in a file on board 3 Notices to Mariners are to be retained on board for at least two years. Digital Notices to Mariners are acceptable (refer marine Notice No. 9 of 2005) 4 Reeds Nautical Almanac may be carried 5 The relevant Admiralty List of Lights for the area is to be carried; a digital list of lights is also available. 6 Sailing Directions for the Area that the vessel is operating in are to be carried. 7 Admiralty Tide Tables should be carried. Digital (“Total Tide”) Tide Data is available. 8 Charts for the area of operation are to be carried (approved electronic charts systems are acceptable) | ||||||||||||||||||||||||||||||||||||||||||||||||||||||||||||||||||||


.
or 50mm (whichever is the greater)
or 38mm (whichever is the greater)
Issued under the Merchant Shipping (Safety of Fishing Vessels)(15-24 Metres) Regulations 2007 (S.I. No 640 of 2007)
where L = length and B = breadth of the free surface in metres)